Рецензенти: доц. Московського станкоинструментального інституту, канд техн наук Г. И. Гранітів; викладач Московського технікуму електронних приладів А. В. Закревская Гаркуша Ж. М
| Вид материала | Документы |
- Україна харківська міська рада харківської області виконавчий комітет управління освіти, 181.85kb.
- Гост 17623-87, 138.94kb.
- М. А. Ляшко доц., канд физ мат наук; Т. Н. Смотрова доц., канд, 2299.13kb.
- Надійності та безпеки в будівництві, 692.13kb.
- Гост 5382-91, 1729.88kb.
- Д. М. Лаковский (руководитель темы); И. В. Колечицкая; С. А. Резник, канд техн наук;, 203.82kb.
- Гост 14637-89: Прокат толстолистовой из углеродистой стали обыкновенного качества Технические, 310.23kb.
- Государственный стандарт союза сср здания и сооружения Методы измерения яркости, 278.78kb.
- Гост 26824-86, 248.28kb.
- Строительные нормы и правила отопление, вентиляция и кондиционирование, 2477.63kb.
У гл. 3 був розглянутий розподіл твердих тіл по їхніх електричних властивостях з погляду зонної теорії па три класи: метали, діелектрики і напівпровідники.
Кількісною мірою електропровідності твердих тіл служить величина їхнього питомого опору. У металів вона складає від 10~6 до 104 Ом-см, у діелектриків - більш 1010 Ом-см, а в напівпровідників може змінюватися в дуже широких межах - від
10-3 до 1010 Ом-см.
Електричний струм, що виникає у твердому тілі під дією

собою спрямований потік часток -носіїв заряду, що накладається на хаотичний рух, чинений носія-
мі заряду під час відсутності електричного полючи. Носіями заряду служать електрони, іони, а в напівпровідників - електрони і дірки. Хаотичний рух носіїв заряду у твердому тілі аналогічно руху молекул газу. Розходження полягає в тім, що довжина вільного пробігу молекул газу визначається їхніми взаємними
зіткненнями, а у твердому тілі
ле електрони розсіюються наелектричного полючи, представляючитеплових коливань ґрат, примесных атомах і дефектах.На довжині вільного пробігу електрони рухаються прямолінійно і рівномірно (равноускоренно). Швидкості електронів можуть мати різні числові значення, але сумарний вектор усіх швидкостей руху електронів дорівнює нулю. У металах швидкості електронів майже не залежать від температури, а в напівпровідниках, як і в газі, швидкості носіїв ростуть зі збільшенням температури. До напівпровідників тому можна застосувати статистику Максвелла- Больцмана, а для металів варто використовувати статистику Ферми - Дирака.При додатку зовнішнього електричного полючи електрони здобувають деяку спрямовану проти полючи швидкість. Величина
66
цієї спрямованої швидкості - швидкості дрейфу - буде визначати силу електричного струму.
Швидкість дрейфу на кілька порядків менше швидкості хаотичного теплового руху. Наприклад, для германія при кімнатній температурі теплова швидкість має величину 2,5-107 див/з, а швидкість дрейфу - близько 4-103 див/с. Отже, електрони під дією прикладеного полючи, не перестаючи рухатися хаотично, зміщаються в напрямку проти полючи (мал. 4.1). Навіть при порівнянних значеннях теплової і дрейфової швидкостей, обраних для наочності па малюнку, де vдр лише в кілька разів менше, ніж Uт, видно, що результуюча швидкість практично не змінилася.Електричне поле діє на електрони із силою Fe, рівної
Fе=її ,де е - заряд електрона, Е - напруженість полючи. Прискорення, що здобувається електронами на довжині вільного пробігу,
Рухливість електрона - це відношення середньої сталий швидкості

переміщення електрона в напрямку електричного полючи до напруженості цього полючи.
Кожен електрон, що рухається в електричному полі з дрейфовою швидкістю Uср, створює електричний струм eucp. Щільність струму в кристалі з концентрацією електронів п:

При висновку формули електропровідності було зроблене допущення, що на довжині вільного пробігу електрон рухається вільно і на нього не діють ніякі сили, крім зовнішнього електричного полючи. У дійсності, у кристалі існує сильне внутрішнє електричне поле, створене частками, що утворять
3* 67
кристалічні ґрати, і значно перевищуюче по величині прикладене електричне поле.
У ґратах електрон увесь час зв'язаний з яким-небудь атомом. Ґрати складаються з однакових часток, і енергія електрона не залежать від того, з яким саме атомом він зв'язаний; електрон може вільно переміщатися по кристалі. При цьому змінюється енергія зв'язку електрона з атомом, що приводить до зміни потенційної і кінетичної енергії електрона. За допомогою квантової теорії можна врахувати вплив внутрішніх полів на рух електрона в кристалі, приписавши електрону деяку масу, відмінну від маси вільного електрона; eе називають ефективною масою. За допомогою цієї величини можна враховувати взаємодія електрона з ґратами при його русі по кристалі під дією зовнішнього електричного полючи.
Ефективна маса електрона в кристалі - це маса такого вільного електрона, що під дією зовнішньої сили придбала б таке ж прискорення, як і електрон у кристалі під дією такої ж сили. Ефективна маса не визначає ні инерционности, ні гравітаційних властивостей електрона. Вона може бути більшій, меншої чи рівній масі вільного електрона в кристалі. Вона може бути позитивної, негативний і рівної нулю. Ефективна маса залежить від температури, тиску, характеру і концентрації домішок, від напрямку руху електрона. Ефективна маса носіїв заряду назад пропорційна ширині зони, у якій вони знаходяться.
§ 4.2. ЕЛЕКТРОПРОВІДНІСТЬ МЕТАЛІВ
Під час відсутності електричного полючи електрони провідності металу рухаються хаотично. Значення енергій хаотично рухаються електронів підкоряються розподілу Ферми і можуть досягати 5-10 ев, що відповідає середньої швидкості руху електронів приблизно 108 див/с. На своєму шляху електрони випробують численні взаємодії з електронами, фононами і дефектами ґрати. Електрон електронні зіткнення відіграють незначну роль. Зіткнення електронів з фононами і дефектами визначають електричний опір металу.
При усіх видах зіткнень зберігаються енергія й імпульси електронів і фононів. При високих значеннях температури домінуючими є зіткнення з фононами, при низьких - з дефектами. Розсіювання електронів визначає довжину їхнього вільного пробігу. У чистих металах довжина вільного пробігу електрона обмежується тепловими коливаннями атомів, тому чим вище температура, тим менше довжина вільного пробігу. У металах з великою концентрацією домішок і в сплавах розсіювання електронів відбувається на домішках і в цьому випадку довжина вільного пробігу електронів від температури практично не залежить.
Довжина вільного пробігу електронів у металі визначається хвильовими властивостями електронів. Довжина хвилі електронів при їх
68
швидкості 108 див/зі складає

що приблизно в десять разів більше межатомных відстаней і розміру а атомів кристала. Електронна хвиля не може розсіюватися на Перешкодах, менші довжини хвилі, тому в ідеальних кристалічних ґратах довжина вільного пробігу електронів обмежувалися б тільки розмірами кристала, т.с.была б дорівнює нескінченності, і такий метал володів би електропровідністю, також рівної бесконечюсти. Реальні кристали через розсіювання електронів мають кінцевий опір.

Розсіювання електронів прямо пропорційно поперечному перерізу того обсягу, що зайнятий коливним атомом. Це поперечний переріз, у свою чергу, можна вважати прямо пропорційним квадрату амплітуди коливань атома, а квадрат амплітуди коливань, що визначає енергію атомних коливань, росте з ростом температури по лінійному законі. Рухливість електронів у металі визначається вираженням
Тому що довжина вільного пробігу
1~ 1/Т а швидкість v від температури не залежить, те ~1/Т.Концентрація електронів у металі не залежить від температури,
отже, електропровідність металів =Л/Т назад пропорційна, а питомий опір =ВТ прямо пропорційно температурі, де Л и В - коефіцієнти пропорційно-
стн.При низьких температурах можна зневажити розсіюванням електронів на теплових коливаннях ґрат і враховувати тільки розсіювання на дефектах. У цьому випадку розсіювання не залежить від температури, тому питомий опір має постійне значення
(мал. 4.2), іменоване залишковим.
У ряду металів і сплавів при деякій критичній температурі спостерігається повне зникнення електричного опору; таке явище називають надпровідністю. Розглянемо при
воду цього явища.
§ 4.3. НАДПРОВІДНІСТЬ МЕТАЛІВ
Явище надпровідності було описано вперше в 1911 р. його голландським фізиком, що відкрив, Камерлинг-Оннесом, а теоретичне пояснення цього явища з'явилося лише через 45 років у ра-
69
ботах Дж. Бардіна й інших, за які автори були визнані гідними
Нобелівської премії.
Явище надпровідності виникає в тих випадках, коли електрони в металі притягаються друг до друга. Притяганням електронів можливо тільки в середовищі, що містить електрони й іони, причому притягатися можуть ті електрони, що беруть участь в електропровідності. Якщо таке притягання має, місце, то електрони з протилежними напрямками імпульсу і спина утворять пари, називані куперовскими, по імені вченого Купера, що показало, що утворення таких пар є енергетично вигідним.У купровской пари спин дорівнює нулю. Відповідно до теорії надтекучості, частки з нульовим спином чи зі спином, рівним цілому числу, можуть при досить низькій температурі переходити у сверхтекучее стан - текти без внутрішнього тертя. Рідина у сверхтекучем стані утрачає в'язкість. Надтекучість електронного', газу і є надпровідність. Перехід у сверхпроводящее стан означає, що куперовские пари утворили конденсат - своєрідний стан зв'язаних електронів. Конденсат переміщається без тертя, обтікаючи перешкоди, у тому числі дефекти кристалічних ґрат. У металі при сверхпроводящем стані отсутствует електричний опір.
Притягання між електронами, що приводить до виникнення надпровідності, обумовлено взаємодією електронів з тепловими коливаннями ґрат - фононами. Електрони у твердому тілі можуть за певних умов поглинати, чи розсіювати породжувати фонони Розглянемо два електрони. Між ними може відбутися такий процес: один електрон випускає фонон, інший його поглинає. У результаті електрони впливають один на одного, причому взаємодія, викликана обміном фонолами, у визначених умовах відповідає притяганню.З електростатичної точки зору явище притягання електронів порозумівається в такий спосіб. Електрон, що рухається в ґратах, притягає позитивні іони кістяка кристалічних ґрат, зближаючи їх. У результаті уздовж шляху електрона утвориться надлишковий позитивний заряд, до якого притягаються інші електрони. Таким чином, виникнення сили притягання між електронами обумовлено поляризацією ґрат.Між електронами діє також кулоновское відштовхування. При перевазі притягання над відштовхуванням виникає сверхпроводящее стан.Через слабке притягання відстань між спареними електронами виявляється рівним декільком тисячам межатомных відстаней у металі. Електрони кожної пари рухаються в середовищі, що містить інші пари. Рух усіх пар погоджено; електронні хвилі, що описують їхній рух, мають однакові довжини і фази. Рух всіх електронних пар можна розглядати як рух однієї електронної хвилі, що не розсіюється ґратами, оскільки ґрати сама брала участь в утворенні
70
тієї хвилі. Тому ґрати не роблять опори движе-нию електронів. Таким чином, для виникнення сверхпроводящего стану необхідне виникнення сил притягання між електронами. Величина критичної температури виникнення сверхпроводящего стану обмежується енергією фононів. Критичну температуру, відповідно до теорії Бардіна - Купера- Шриффера, ложно визначити в такий спосіб:
постійна, пропорційна силі притягання між електронами.
Величина її не перевищує 1/2 для звичайних надпровідників, у яких зв'язування електронів у пари здійснюється внаслідок поляризації ґрат.
Користаючись приведеними значеннями, можна підрахувати, що 7кр не може бути більше 20- Ь0 ДО. Поки це чисто теоретична межа; для відомих у на-

де Q - температура Дебая; її зміст такий: ,
-та область енергій поблизу енергії Ферми (енергетична щілина), у якій електрони притягаються друг до друга. Звичайно g -


час надпровідників, що коштує, критична температура не перевищує 20 К- Підвищення температури розриває куперовскне пари і надпровідність зникає.Щільність струму у сверхпроводящем провіднику визначається концентрацією зв'язаних електронів і їхньою дрейфовою швидкістю:

При великій щільності струму росте кінетична енергія електронів. Якщо її значення перевищить значення енергії зв'язку куперов-ской нари, то сверхпроводящее стан порушиться.
Критичне значення струму надпровідності складає 500- 1000 А/мм2.Характерною рисою надпровідників є їхній діамагнетизм - зовнішнє магнітне поле не може пропикать у глиб надпровідника. У поверхневому шарі сверхпроводящего металу, поміщеного в магнітне поле, виникає круговий незатухаючий електричний струм, називаний діамагнітним, сила якого тако-ва, що створюване їм магнітне поле дорівнює по величині і протилежно по напрямку зовнішньому нулю. Даний ефект назы-вают ефектом Мейсснера (мал. 4.3).
Якщо діамагнітний струм досягає максимального значення, сверхпроводящее стан руйнується. Напруженість магнітного полючи, що відповідає цьому струму, називають критичної.
71
По діамагнітних властивостях надпровідники поділяють на два види: надпровідники першого і другого родів. У перших разрушение надпровідності відбувається відразу ж, як тільки напруженість магнітного полючи досягне критичного значення. У надпровідниках другого роду руйнування надпровідності відбувається в деякому інтервалі значенні напруженості магнітного полючи. Магнітне поле проникає в надпровідники другого роду а виді ниток, називаних вихрами, навколо яких циркулюють сверхпроводящие струми. Таким чином, у надпровідниках другого роду поряд зі сверхпроводящими ділянками існують і ділянки зі звичайною провідністю.
Можливості застосування надпровідників величезні. Зараз створені сверхпроводящие сверхесильные магніти напруженістю до 2-105 Гс.
Сверхпроводящий струм є незатухаючим через відсутність опору, що дозволяє використовувати його в ідеальних запам'ятовуючих пристроях ЕОМ, причому швидкість зчитування сверхпроводящих пристроїв значно перевищує можливості людського мозку. Надпровідники використовуються як перемикаючі пристрої, що працюють з дуже високою швидкістю при малих витратах потужності (кріотрони). На основі явища надпровідності створені болометри для виміру радіації в інфрачервоній області спектра, сверхпроводящие Свч-резонаторы з добротністю до 10ю, Свч-линии затримки і коаксіальні кабелі, що практично не мають утрат, сверхпроводящие магнітометри, індикатори сверхмалых напрузі і струмів, датчики, що вимірюють значення напруг до 106 В.
§ 4.4. ЕЛЕКТРОПРОВІДНІСТЬ ВЛАСНИХ НАПІВПРОВІДНИКІВ
У результаті розгляду зонної теорії твердого тіла було встановлено, що в напівпровідниках при абсолютному нулі валентна зона заповнена електронами, а зона провідності вільна. Якщо прикласти електричне поле, то електропровідність буде відсутній. З підвищенням температури електрони почнуть переходити з валентної зони в зону провідності. Для переходів електронам потрібно додаткова енергія, рівна ширині забороненої зони, що електрони здобувають від теплових коливань ґрат. Імовірність того, що під впливом температури Т електрон одержить необхідну енергію, пропорційна ехр[-Ез/(кт)]. Ця імовірність збільшується з ростом температури. Середнє значення енергії теплових коливань при кімнатній температурі не перевищує 0,04 ев, але унаслідок флуктуації коливань у ґратах деяка частина електронів здобувають енергію, рівну чи велику ширини забороненої зони. Перехід електронів у зону провідності супроводжується звільненням енергетичних рівнів у валентній зоні, і додаток зовнішнього полючи до напівпровідника викликає поява електропровідності.
72
І Розглянемо ці переходи електронів на моделі кристалічних ґрат (мал. 4.4). У вузлах ґрат напівпровідника находят-ся нейтральні атоми, зв'язок між який здійснюється електронными парами. При абсолютному пулі всі електрони беруть участь у ковалентному зв'язку. Для розриву цього зв'язку електрон повинний придбати додаткову енергію, рапную енергії зв'язку Електрон, що розірвав зв'язок, стає вільним і може брати участь в електропровідності.
При розриві ковалентного зв'язку відбувається часткова іонізація атомів напівпровідника, навколо яких обертався електрон.

Образовавшийся при цьому позитивний заряд приписується відсутнього ковалентного зв'язку. Неза-полненную валентний зв'язок, кото-рая виявляє себе як позитивний заряд, дорівнює заряду электро-на, називають діркою провідності Шили просто діркою. Дірку може заповнити будь-який найближчий електрон, що бере участь у ковалентній в'язі, і дірка переміститься на його місце. Під час відсутності електричного полючи дірки, так само як електрони, рухаються по кристалі хаотично. Отже, перехід електрона з валентної зони в зону провідності супроводжується утворенням свободных електронів у зоні провідності і дірок у валентній зоні І з рівними концентраціями. Виникнення в результаті енергетичного впливу в напівпровіднику пари електрон провідності - дірка провідності називається генерацією пари носіїв заряду.
Одночасно з процесом генерації йде зворотний процес повернення електронів із зони провідності у валентну зону. Цей процес приводить до зникнення вільних електронів і ды-рок. Нейтралізацію пари електрон провідності - дірка провадьмости називають рекомбінацією носіїв заряду. У стані термодинамічної рівноваги швидкості генерації і рекомбінації рівні. Це значить, що кількість електронів, що переходять в одиницю часу з валентної зони, у зону провідності, дорівнює кількості електронів, що повертаються на енергетичні рівні валентной зони. У результаті строго визначена концентрація носіїв заряду відповідає кожній даній температурі напівпровідника. Носії заряду, виникнення яких з'явилося наслідком теплових коливань кристалічних ґрат напівпровідника в умовах термодинамічної рівноваги, називають рівноважними носіями заряду.
Під дією прикладеного полючи рух електронів і дірок у кристалі стає упорядкованим, і електропровідність підлоги-
73
провідника є сумою електронної і дырочной складових:

Концентрації електронів і дірок однакові: п=р =п , а рухливості різні, тому що рухливість залежить від ефективної маси: \. Ефективна маса електрона менше эффек-тивной маси
дірок, тому µп>µр.Отже,

Розглянутий механізм електропровідності, обумовлений генерацією пара електрон провідності -і- дірка провідності, при будь-якому способі порушення називають власним, а носії, об-разующиеся за рахунок генерації пара електрон - дірка, називають власними носіями заряду.
Заповнення енергетичних вирівняне в зоні провідності електронами визначають за допомогою функції Ферми - Дирака:

Концентрація носіїв заряду в напівпровіднику, що не містить домішок, що впливають на його електропровідність (у власному напівпровіднику), при кімнатній температурі не перевищує для германія 1013 см~3. Число вирівняне в зонах складає приблизно-1022 див3. Це означає, що частка зайнятих рівнів у зонах мізерно
мала, а тому, следова-

тельно, одиницею у вираженні для L можна зневажити і тоді

Отримане вираження являє собою функцію розподілу Максвелла - Больцмана.

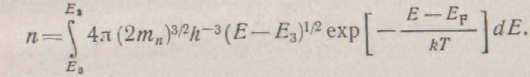
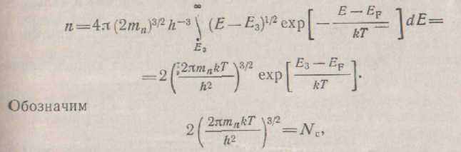
Концентрація вільних електронів у зоні провідності може бути визначена шляхом підсумовування, тобто інтегрування добутку щільності енергетичних рівнів у зоні провідності N(E) на функцію розподілу fе по всіх рівнях зони провідності (від Е\ до Е2):
Значення функції розподілу залежать від різниці Е-Ef, тому для обчислення fе . абсолютні числа Е и ЕF не потрібні і початок відліку енергії може бути обране довільно. За нуль тому приймають значення енергії, що відповідає потовчу
74
валентної зони (мал. 4.4, б). Тоді E1=E3 і

Щільність енергетичних станів N(E), тобто число дозволених станів, що приходяться на одиничний інтервал енергій в одиничному обсязі кристала, дорівнює

де mп - ефективна маса електронів. Тоді

У зоні провідності електронами заповнені самі нижні енергетичні рівні. Імовірність заповнення верхніх рівнів дорівнює нулю, тому верхня межа інтегрування без великої погрішності можна замінити на нескінченність. Тоді

де Nc - ефективна щільність станів у зоні провідності, що складає, наприклад, для германія при кімнатній температурі Nс = 10!9див-3. Тоді

Концентрація дірок у валентній зоні визначається аналогічним образом. Функція розподілу для дірок визначається як різниця функцій імовірності повного заповнення електронами валентної зони і функції імовірності перебування там електронів при даній температурі:

75
Концентрація дірок у валентній зоні для прийнятої системи відліку енергії

ефективна щільність станів у валентній зоні, що складає для германія при кімнатній температурі N = 6-1019 см~3; тр- ефективна маса дірок.
У власному напівпровіднику концентрація електронів дорівнює концентрації дірок, тому

З цієї рівності можна визначити енергетичне положення рівня Ферми:

(4.5)
Якщо прийняти, що ефективна маса електронів і дірок однакова, то рівень Ферми р власному напівпровіднику проходить посередине забороненої БОНИ:
(4.6)У дійсності ефективні маси електронів і дірок не рівні між собою, тому рівень Ферми у власному напівпровіднику трохи зміщений убік зони провідності (тп<тр) і усі ближче зміщається до пий з ростом температури.
Підставивши вираження для Ер у вираження для концентрацій електронів і дірок, одержимо

При кімнатній температурі в србственном германії n=2,37х х1013 див-3, у кремнії n,= 1,38.1010 див- 3
