Тема: Агрегированное планирование производства
| Вид материала | Лабораторная работа |
- Планирование на предприятии (162 часа часов, курсовая работа, экзамен), 1133.77kb.
- Лекции по дисциплине «Организация и планирование производства» Тема Сущность и задачи, 76.87kb.
- Планирование на предприятии методическое пособие по выполнению курсовой работы для, 706.74kb.
- Темы курсовых работ по курсу «Организация производства на предприятиях отрасли (нефтяной, 44.8kb.
- Рабочая программа дисциплины организация и планирование производства направление подготовки, 218.59kb.
- Руководство по производству Раздел 1 Планирование производства свинины, 8767.45kb.
- Планирование как основа управления предприятием. Назначение, цели и горизонты планирования, 33.17kb.
- Организация и планирование сельскохозяйственного производства Специфика маркетинга, 46.25kb.
- Планирование и учет затрат и движение деталей в производстве 8 Экономический механизм, 876.54kb.
- Теоретические основы кадрового обеспечения в туризме, 54.44kb.
UNIVERSITATEA LIBERĂ INTERNAŢIONALĂ DIN MOLDOVA
Факультет экономических знаний
Бабаян Екатерина
тема: Агрегированное планирование производства
(Лабораторная работа)
Научный руководитель,
профессор: С.Максимилиан
Кишинёв, 2011
I - 3. Агрегированное планирование производства.
1. МАТЕМАТИЧЕСКИЕ МОДЕЛИ АГРЕГИРОВАННОГО ПЛЛАНИРОВАНИЯ ПРОИЗВОДСТВА.
Математическое моделирование играет важную роль в процессе- принятия решений при прогнозированном планировании. В одной из работ, посвященных этой проблеме, перечисляются следующие задачи управления, при решении которых модели окапываются весьма эффективными:
- определение способа количественной оценки показателей и использование неосознанных принципов, которые обычно случайно и эпизодически учитываются в решениях по планированию;
- проведение в регулярном порядке всестороннего анализа факторов, имеющих отношение к задачам планирования. Это исключает возможность принятия решений на основании тривиальных и поверхностных оценок;
- отведение каждому решению по планированию соответствующего места в установленной последовательности решений и корректировка ошибок первоначального прогноза, осуществляемая с помощью механизма обратной связи, включенного в систему выбора вариантов решения;
- изменение установившейся практики принятия решении для обеспечения большей свободы действий, в особенности при возникновении чрезвычайных ситуаций.
Рассмотрим различные типы моделей агрегированного планирования, используя классификацию этих моделей в соответствии с предположениями о структуре составляющих затрат.
1.1. Модели с линейной функцией затрат
При разработке первых моделей систем агрегированного планирования предполагалось, что затраты линейно зависят от управляющих переменных модели. В результате этого предположения такие модели могли быть использованы для решения довольно узкого круга задач. Поскольку, однако, оказалось, что нелинейные выпуклые функции затрат могут быть с любой степенью точности аппроксимированы кусочно-линейными функциями, то область применения моделей такого типа существенно расширилась. Подобные модели и сегодня находят широкое применение, что объясняется возможностью использования эффективных вычислительных методов, разработанных для решения задач линейного программирования.
Рассмотрим два основных типа линейных моделей.
1.2. Модель планирования производства с постоянным фондом рабочей силы
Если предприятие имеет постоянный фонд рабочей силы, то, следовательно, объем производства может меняться только за счет использования сверхурочного времени и «поглощение» колебаний спроса путем приема и увольнения невозможно. Для формального математического описания такой системы используем в качестве параметров модели:
- затраты на производство одной единицы продукции i-го типа в течение t-гo интервала времени — vit;
- затраты на храпение одной единицы продукции i-го типа в течение t -го интервала времени — си,
- стоимость одного человеко-часа трудозатрат штатного сотрудника в течение t-гo интервала времени — rit,
- стоимость одного человеко-часа сверхурочной работы в течение t-го интервала времени – оt;
а в качестве переменных модели:
- число единиц продукции i-гo типа, производимой в течение t-гo интервала времени — Xit;
- число единиц продукции i-го типа, которое необходимо иметь в запасе к концу t-гo интервала времени — Iit,
- количество человеко-часов постоянных сотрудников в течение t-гo интервала времени — Wt;
- количество человеко-часов сверхурочной работы в течение t-гo интервала времени — Ot.
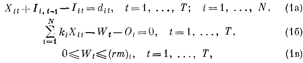
Тогда задачу планирования можно сформулировать как минимизацию суммы затрат на производство продукции, хранение запасов, затрат, связанных с оплатой труда постоянных сотрудников, включая и сверхурочную работу, т. е.
найти:

при ограничениях:


где dik — спрос на продукцию i-гo типа в течение t-го интервала времени; ki - количество человеко-часов, необходимых для производства единицы продукции i-гo типа; (rm)t — общее количество человеко-часов трудозатрат штатных сотрудников в течение t-го интервала времени, (om)t — общее количество человеко-часов сверхурочного времени в течение t-гo интервала времени, Iio — уровень начальных запасов продукции i-гo типа, W0 — число постоянных сотрудников, Т — период планирования, N — общее число наименований типов продукции.
Если предельные затраты vit па производство одной единицы продукции i-гo тина не зависят от времени, то член vitXit можно но учитывать, так как общее количество продукции каждого типа фиксировано. Аналогично, если величина Wt не зависит от времени, то член rtWt можно исключить из выражения (1).
Ограничение (1а) представляет собой уравнение баланса по количеству производимой продукции и уровню запасов при условии детерминированного спроса на каждый тип продукции в каждый заданный интервал времени. Одним из способов учета неопределенности прогноза спроса является определение для каждого заданного интервала времени минимального уровня резервного запаса, т. е. введение ограничения вида Iit>= ssit, где ssit — резервный (буферный) запас продукции i-гo типа в течение времени tl). Следует заметить, что ограничения (1а и 1д) означают отсутствие задолженности по выполнению заказов в течение t-го интервала времени.
Ограничение-равенство (16) определяет допустимое количество трудовых ресурсов, которые могут быть использованы для выпуска продукции i-гo типа в каждый заданный интервал времени, причем это — единственное ограничение на резервы производства. Если сохранить предположение о линейной зависимости затрат от управляющих переменных системы, то целевая функция будет учитывать не только трудовые, но и другие ресурсы производства.
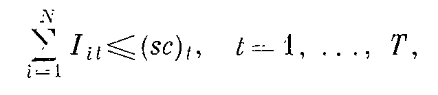
Ограничения (1в, 1г), по существу, устанавливают нижний и верхний пределы человеко-часов трудозатрат штатных сотрудников и сверхурочных работ для каждого заданного интервала времени. Как уже было показано, учет неопределенности прогноза спроса приводит к введению ограничения Iit >=SSit. Если уровень запасов в конце периода планирования никак не ограничен, то решение, получаемое с помощью модели, всегда обеспечивает Iit = 0 для всех значений i. В тех случаях, когда полное исчерпание запасов по всем видам продукции нежелательно, в модель должны быть введены соответствующие ограничения на уровень запасов. Дополнительные ограничения должны быть введены и в тех случаях, когда потребности в складировании продукции не могут превышать некоторой заданной величины. Например, ограничение:

означает, что суммарный объем запасов всей продукции в каждый заданный интервал времени не может быть большим, чем общая емкость склада (sc)t. В тех случаях, когда необходимо закрепить изготовление продукции за различными производственными единицами ограниченной мощности, управляющие переменные выбирают таким образом, чтобы получить соответствующие решения. Например, величина X ict может означать число единиц продукции i-гo типа, производимой производственной единицей с в течение t- го интервала времени. Результат подобной замены (или преобразования) управляющих переменных необходимо программировать непосредственно в рамках общей модели.
Следует иметь в виду, что даже в случае очень простой модификации рассматриваемой модели могут возникнуть существенные трудности, связанные с процессом вычисления, если не выполнена укрупненная классификация отдельных видов продукции, производство которых планируется. Если предположить, что мы не будем принимать во внимание ограничения (1 в-д), которые лишь устанавливают верхние и нижние пределы значений переменных, то все еще остается Т (N +1) существенных ограничений.
На сложных производствах общее число отдельных наименований изделий N может достигать нескольких тысяч. Например, если модель составлена для периода планирования, равного 12, и 5000 наименований изделий, то она должна содержать около 60 000 ограничений.
Это, естественно, превышает возможности линейного программирования.
В большинстве случаев, однако, нерационально планировать распределение производственных ресурсов на таком уровне детализации. Это объясняется следующими причинами. Во-первых, программы детального планирования должны принимать в расчет большое количество показателей технологии производства и системы сбыта, которые не могут быть включены в общую модель, так- как имеют явно выраженный качественный характер. Во-вторых, как уже отмечалось, многие результаты планирования, полученные с помощью модели, широко связаны с решением задач распределения ресурсов и, следовательно, чрезмерно подробная информация будет только затруднять процесс принятия решения, а не способствовать ему. В-третьих, прогнозы, основанные на агрегированной информации, являются более точными, чем прогнозы, основанные на подробной информации. Поэтому обычно осуществляют укрупненную классификацию изделий. Критерии подобной классификации определяются структурой модели: единицы продукции одной группы должны совместно формировать спрос dit, иметь общие показатели затрат vit cit rt, ot и на изготовление каждой единицы продукции должно затрачиваться одно и то же количество времени ki. Принятые решения по агрегированному планированию позволяют сформулировать ограничения, которым должен удовлетворять детальный план изготовления изделий.
Рассмотренная модель, как и любая другая модель планирования, требует определения периода планирования и разбиения его на интервалы, длительность которых не обязательно должна быть одинаковой. Для многих систем планирования целесообразно разбивать период планирования на интервалы различной длительности, так как в начале периода мы располагаем более подробной информацией. Из-за неопределенности условий, в которых реализуются решения по планированию, последние обычно оказываются полностью реализованными лишь на начальном этапе планирования. В конце каждого этапа появляется новая дополнительная информация, которая используется для корректировки модели и пересмотра плана для последующих этапов планирования. При формулировании задачи могут быть учтены ограничения, связанные с технологией производства, финансами, организационной структурой, рекламой, системой сбыта. Такая гибкость, характерная для подходов к решению задач линейного программирования, позволяет довольно широко и эффективно использовать этот тип модели.
Простой вариант задачи линейного программирования с фиксированным фондом рабочей силы, имеющей структуру транспортной задачи, впервые был рассмотрен в работе [8].
1.3. Модель планирования с переменным фондом рабочей силы.
В тех случаях, когда «поглощение» колебаний спроса оказывается возможным за счет изменения фонда рабочей силы, последний становится переменной модели. Так как подобное изменение осуществляется в течение периода планирования путем приема и увольнения, то затраты, связанные с увольнением и приемом должны быть учтены в целевой функции. Кроме того, поскольку модель допускает учет недостатка в ресурсах, то, следовательно, необходимо учитывать и издержки, связанные с невыполнением заказов.
В данном случае переменными модели являются: X it- число единиц продукции i-го
ипа, производимой в течение i-гo интервала времени; Wt — количество человеко-часов работы штатных сотрудников в течение t-гo интервала времени: Ot — количество человеко-часов сверхурочной работы в течение i-гo интервала времени; Ht — количество человеко-часов, зачисленных в штат организации в течение t-гo интервала времени; F t — количество неиспользованных человеко-часов в течение i-гo интервала времени из-за увольнения штатных сотрудников; 1it+ — число единиц продукции i-гo типа, которую необходимо иметь в задаче к концу i-гo интервала времени; Iit- — число единиц продукции i-го типа, которой не хватает для удовлетворения спроса потребителя в конце i-гo интервала времени.
Используя перечисленные переменные модели и обозначения, принятые для предыдущей модели, определим следующие составляющие затрат в течение времени t:
- переменная затрат производства V it Xit;,
- затраты па храyение запасов CitIit +,
- затраты, связанные с задержкой выполнении заказов потребителей bitIit-,
- затраты на содержание штатных сотрудников rtWt,
- затраты на оплату сверхурочной работы otOt,
- затраты, связанные с приемом па работу, htHt
- затраты, связанные с увольнением, ftFt-
В этом случае задача планирования формулируется следующим образом:
Найти

при ограничения:

Ограничение (2а) представляет собой уравнение баланса по количеству произведенной продукции и уровню запасов. Заметим, что это уравнение эквивалентно уравнению баланса (1а), если принять, что Ii,t-1=Ii, t-1 –Ii+,t-1 и Iit = Iit+-Iit-.
В рассматриваемой модели величина запаса It к концу t-го интервала времени может иметь положительное значение (Itt+ >0 означает, что к концу i-гo интервала времени остается часть запаса) или отрицательное значение (Iit-> 0 означает, что к концу t-го интервала времени происходит накопление невыполненных заказов). Поскольку, однако, как величине Itt+ так и величине Iit- соответствуют определенные затраты, то эти переменные никогда не будут одновременно принимать положительного значения. Ограничения (2б) отражают тот факт, что объем производства лимитируется фондом трудовых ресурсов.
Ограничения-равенства (2в) определяют изменение фонда рабочей силы в течение времени t, т. е. Wt — Wt-i = Н t — Ft. Фонд рабочего времени увеличивается, если Ht >0, и сокращается, если Ft >0. Аналогично предыдущему случаю величины Ht, Ft никогда не будут принимать одновременно положительных значений в течение заданного интервала времени, так как им соответствуют определенные затраты. Ограничение (2г) устанавливает верхний предел объема сверхурочной работы в течение времени t как функцию фонда рабочего времени штатных сотрудников, т. е. Ot <= pWt, где р — допустимая часть фонда рабочего времени штатных сотрудников для выполнения сверхурочных работ.
Модель такого типа впервые была рассмотрена в работе [33], а возможпые модификации модели — в работах [69, 87].
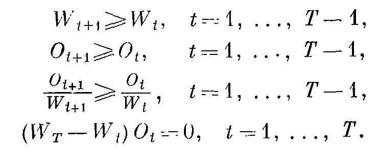
Липпман и др. [59] проанализировали вариант оптимального решения задачи планирования производства продукции одного типа в предположении, что функция затрат производства является выпуклой, функция затрат на храпение запасов — возрастающей, а функция затрат, связанных с изменением фонда трудовых ресурсов, У-образной. Авторы работы [60] предложили для частного случая, когда все функции затрат линейны, а спрос либо монотонно убывает, либо возрастает, эффективный алгоритм решения задачи.
Алгоритм представляет собой итеративную процедуру, которая начинается с предположения, что задано значение WT, которое должно быть достигнуто к концу периода планирования. Это обеспечивает выбор оптимального решения для фиксированного значения WT и проверку решения на оптимальпость. Если оказывается возможным улучшить решение, то алгоритм формирует новое значение WT, обеспечивающее улучшенное решение, и процесс повторяется. Сходимость алгоритма гарантируется за конечное число итераций.
Если функция затрат линейна и функция спроса неубывающая, существует оптимальное решение, для которого выполняются условия:

'(Этот результат постоянно используется в процессе вычисления.)
Юан [92] обобщил этот подход для решения задачи планирования производства продукции различных типов.
В работах [2,38] рассматривается модель производства продукции одного типа с линейной функцией затрат, при этом целевая функция учитывает изменения уровня производства. Авторы проанализировали качественные свойства оптимального решения и предложили простые методы поиска этого решения для случая, когда спрос является монотонно возрастающей функцией. Эта работа была обобщена Джонсоном и Данцигом [46].
Модели линейного программирования легко могут быть применены для планирования многоэтапного процесса производства. В работе [44] проведено исчерпывающее обсуждение многошаговых моделей линейного программирования, включающих множество технологий, множество источников снабжения, решения по выбору номенклатуры продукции, а также решения но организации многономенклатурного производства и распределения.
Преимущества и недостатки моделей с линейной функцией затрат
Основным преимуществом моделей с линейной функцией затрат является возможность «свести» задачи агрегированного планирования к задачам линейного программирования, решение которых можно быстро осуществить с помощью легкодоступных эффективных машинных программ. Подобные программы позволяют быстро и дешево получать решение для моделей с большим числом переменных и ограничений. Кроме того, такие модели хорошо поддаются параметрическому анализу и анализу на чувствительность, что может оказаться полезным в процессе агрегированного планирования. Так, информация о скрытых затратах может быть использована с целью определения благоприятных условий для расширения производственных мощностей, стратегий проникновения в сферу сбыта, целесообразности освоения производства новой продукции и т. д. Что касается предположения о линейной зависимости затрат от переменных, то, во-первых, основные составляющие затрат, как правило, являются линейными функциями в интервале возможных изменений рассматриваемых переменных и, во-вторых, выпуклые сепарабельные функции могут быть аппроКсимированы кусочно-линейными. Более того, некоторые функции, имеющие на первый взгляд нелинейные характеристики, могут быть линеаризованы [33]. Однако модели лилейного программирования не позволяют учесть неопределенности спроса, что, несомненно, является их существенным недостатком. В этой связи заслуживает внимания работа [19], в которой сообщается о положительных результатах экспериментов по использованию моделей линейного программирования при достаточно высокой степени неопределенности в динамических условиях.
^ 2. МОДЕЛИ С КВАДРАТИЧНОЙ ФУНКЦИЕЙ ЗАТРАТ.
Если для решения задач агрегированного планирования производственных мощностей используются модели с квадратичными функциями затрат, то решающие правила имеют линейную структуру. Это связано с тем, что в результате дифференцирования квадратичной функции получается линейная функция. Первая такая модель была разработана Холтом, Модильяни. Мазом и Саймоном (ХММС) [39] для случая полного агрегирования всех типов продукции в один класс. Это в свою очередь предполагает использование соответствующих сопоставимых единиц измерения продукции.
В модели ХММС используются в основном две переменные: объем выпуска агрегированной продукции в течение t-го интервала времени и фонд рабочей силы в течение i-гo интервала времени Wt. Переменная It — уровень запаса i-гo интервала времени — определяется с помощью церемонных Рt и Wt и соответствующих соотношений между этими переменными.
Оптимальное решающее правило определяет для каждого интервала времени необходимый объем производства агрегированной продукции и величину фонда рабочей силы, минимизирующие квадратичную функцию затрат.
^ Составляющие затрат. Рассмотрим подробнее составляющие затрат, которые учитываются в квадратичной функции затрат.
Затраты на содержание персонала. Предполагается, что эти затраты линейно возрастают с увеличением фонда рабочей силы и описываются величиной c1Wt +с13, где с1 и с13 — коэффициенты затрат, которые определяются вне модели. Поскольку с13 — константа, то она может быть исключена из дальнейшего рассмотрения.
^ Затраты, связанные с приемом и увольнением. Предполагается, что эти затраты являются квадратичной функцией изменения фонда рабочей силы (Wt - W t-1) — и описываются величиной, которые должны быть определены, причем константа с11 учитывает асимметрию функции затрат.
^ Затраты, связанные со сверхурочными работами и простоями. При условии, что фонд рабочего времени равен Wt. желаемый объем производства определяется величиной ctWt. Если объем производства превышает это количество, то будут иметь место затраты, связанные со сверхурочной работой; если же объем производства менее чем величина c4Wt, то будут иметь место издержки, связанные с простоями. Рассматриваемые затраты характеризуются величиной с3 (Pt — с4 Wt)2 + c5Pt-c6Wt+C12PtWt, где последние три члена включены для повышения точности.
Затраты, связанные с хранением запасов. Издержки, обусловленные невыполнением заказов. Предполагается, что затраты, связанные с хранением запасов, описываются величиной C7[It — (C8 +C9dt)]2, где dt— ожидаемый уровень спроса на агрегированный продукт в течение t-го интервала времени.
Планируемый уровень запасов определяется величиной c8+ C9dt. Отклонения от этого уровня приводят к затратам на хранение запасов или к издержкам, обусловленным невыполнением заказов, причем затраты и издержки возрастают пропорционально квадрату отклонений.
В работе [39] значение с9 было принято равным нулю. Расчет коэффициентов затрат является длительной дорогостоящей процедурой, требующей статистического анализа данных учета и данных о системе управления.
Рядом исследователей была проделана большая работа с целью улучшения качества оценок составляющих затрат [55] и определения функций агрегированных затрат, характеризующих затраты на производство отдельных изделий [54].
^ Построение модели. Задача агрегированного планирования производства с учетом структуры затрат может быть сформулирована как минимизация ожидаемых затрат: найти

при ограничениях

Одним из возможных подходов является отказ от предположения о детерминированности спроса dt. В работе [56] показано, что при перемещенных оценках прогнозируемого спроса решение сформулированной задачи при ограничениях (За), (36) дает минимум ожидаемых затрат.
2.1. Линейные решающие правила.
Если целевая функция рассматриваемой модели строго выпуклая, то она имеет единственный глобальный минимум. Это условие обычно выполняется в тех случаях, когда имеет место возрастание предельных затрат.
Оптимальное решение задачи находят с помощью метода множителей Лагранжа.
Несколько примеров решения задач агрегированного планирования с помощью конкретных решающих правил описаны в работе [И].
В общем виде линейные решающие правила могут быть представлены уравнениями вида

Уравнение (4) устанавливает зависимость объема производимой агрегированной продукции в течение t-гo интервала времени от прогнозов будущего спроса, фонда рабочей силы в течение времени (T— 1) и уровня начального запаса.
Агрегированный фонд рабочей силы (5) в течение t-гo интервала времени также линейно зависит от прогнозов будущего спроса, фонда рабочей силы в течение (t — 1)-го интервала времени и уровня начального запаса.
Значения весов множителей (а и е), приписываемых прогнозируемым опросам, быстро убывают к концу периода планирования.
