Методическое пособие по выполнению курсового проекта для специальности 1707
| Вид материала | Методическое пособие |
- Методические указания по выполнению курсового проекта для специальности 190631 «Техническое, 957.7kb.
- Методические указания к выполнению курсового проекта Красноярск 2002, 2057.27kb.
- Методическое пособие по выполнению курсового проекта, 575.22kb.
- Методические указания по выполнению курсового проекта Тема курсового проекта, 265.09kb.
- Маркетинг, 573.93kb.
- Методические указания по выполнению курсового проекта для студентов 3 курса специальности, 267.42kb.
- Методические указания к выполнению курсового проекта по учебной дисциплине "Управленческого, 430.87kb.
- Методические указания по выполнению курсового проекта по курсу Экономика предприятия, 338.42kb.
- Сибирский Энерго Парк Инвестиционное проектирование. Методика разработка курсового, 884.23kb.
- Методические указания по изучению дисциплины и выполнению курсового проекта для студентов, 717.64kb.
Значения
- Общая часть
2.1.1. Назначение, состав и характеристика пункта
технического обслуживания (ПТО) вагонов на сортировочной
станции или ПТО сетевого значения (СПТО)
В этом пункте необходимо описать назначение ПТО, расположенного на сортировочной станции или СПТО, указать из каких парков он состоит и какие работы выполняются в нем, используя учебную литературу (см. [11], с. 8—27; [15], с. 127—129).
- 1.2. Расчет количества вагонов в поездах
Количество вагонов в проходящих через ПТО (СПТО) поездах зависит от их весовой нормы и процента содержания вагонов различных типов в поезде.
Количество физических вагонов в обычном поезде и поезде повышенного веса (для СПТО) определим по формуле

где Р — весовая норма поезда, т;
% — процент содержания вагонов по осности;
q — вес вагона, т (q4 - 84 т; q8 = 170 т).
Количество условных (в 4-осиом исчислении) вагонов в поезде вычислим по формуле

где т4, m8 — количество физических 4-осных и 8-осных вагонов в поезде.
2.1.3. Расчет годовой программы парка
Годовая программа парка — это количество вагонов, проходящих обработку в парке за год. Ее рассчитаем по формуле

где п — количество обрабатываемых поездов в парке ПТО (СПТО) в сутки.
2.1.4. Расчет длины парковых путей
Длина парковых путей зависит от количества вагонов в поезде, их типа (длины), а также расстояния до сигналов ограждения с обеих сторон.
Длина обычного поезда и поезда повышенного веса (для СПТО) определяется по формуле

где l4,l8 — длина 4-осного и 8-осного вагонов, м (l4 = 13,9м; l8 = 21,1 м).
Длина парковых путей для обычных поездов и поездов повышенного веса определяется по формуле

где lо— расстояние до сигналов ограждения, м (lо = 50 м).
2.1.5. Определение количества парковых путей
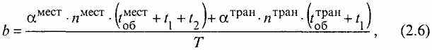
Количество путей в парке отправления ПТО (СПТО) и транзитном парке СПТО зависит от количества проходящих поездов в сутки и времени обработки поезда. Согласно организации работы ПТО сортировочной станции в парке отправления проходят техническое обслуживание поезда своего (местного) формирования и транзитные поезда.
Количество путей в парке отправления ПТО определяем по формуле

где αмест, αтран — коэффициенты неравномерности прибытия поездов своего (местного) формирования и транзитных (αмест = 2; αтран = 2,5);
nмест, nтран — количество поездов местного формирования и транзитных, обрабатываемых в парке в сутки;
,
— обработки поезда своего формирования и транзитного, мин (
= 40-50 мин;
= 30 мин);t1 — время предъявления поезда к обработке, мин (t1= 2,5 мин);
t2 — время продвижения состава из сортировочного парка в парк
отправления, мин;
T— продолжительность суток, мин.
Время продвижения состава из сортировочного парка в парк отправления вычислим по формуле

где l1 — расстояние от сортировочного парка до парка отправления, м (l1 =150м);
V— скорость поезда при занятии путей парка, м/мин (V - 5 км/ч).
Так как СПТО имеет раздельные парки отправления и транзитные, количество путей в этих парках рассчитываем по формулам:


где
,
— коэффициенты неравномерности поездов своего(местного) формирования обычного и повышенного веса
= 2;
= 2,5;
— то же для транзитных поездов;
= 2,5;
= 3,0;
,
— количество поездов своего (местного) формирования обычного и повышенного веса;
,
— то же для транзитных поездов;
,
—время обработки поезда своего формирования обычного повышенного веса, мин (
= 50 мин;
= 70 мин);
,
— то же для транзитных поездов, мин (
= 50 мин;
= 60 мин);t1 — время предъявления поезда к обработке, мин (t1 = 2,5 мин);
t2, t3 — время продвижения состава из сортировочного парка в па отправления (обычного поезда и поезда повышенной длины), мин (см. формулу 2.7).
2.2. Индивидуальная часть
2.2.1. Назначение и характеристика парка отправления
(транзитного парка СПТО)
Проектируемый парк отправления ПТО сортировочной станции предназначен для технического обслуживания поездов местного формирования и транзитных, отправляемых со станции в______направлении, которое заключается в осмотре, текущем ремонте вагонов без их отцепки от поезда, а также сокращенном и полном опробовании автотормозов (для СПТО см. [17], с. 28—33).
В сутки в парке обрабатывается_____поездов, из них_____% транзитных. Каждый поезд, в среднем, состоит из______вагонов, в том числе_____8-осных, остальные — 4-осные. Поэтому средняя длина поезда______метров.
Для приема и отправления этого количества поездов такой длины парк будет иметь, согласно расчетам п. 2.1.5.______путей, длиной каждый _____метров.
2.2.2. Определение пробега вагонов
Пробег вагонов — это произведение количества вагонов на пройденное расстояние по главным путям на участке дороги. Определяем его по формуле

где l —длина гарантийного участка, км.
2.2.3. Организация работы ремонтно-смотровых бригад
В этом пункте, пользуясь учебной литературой, следует описать порядок выхода на работу ремонтно-смотровых бригад и организацию их деятельности в течение рабочей смены.
2.2.4. Разработка технологического процесса технического обслуживания вагонов в поездах своего формирования
В пункте описать порядок обработки поезда, сформированного в сортировочном парке ПТО станции, учитывая, что обработка будет вестись многогрупповым методом осмотрщиками-ремонтниками, включая опробование автотормозов.
2.2.5. Разработка технологического процесса технического
обслуживания транзитных поездов
В этом пункте описать порядок ТО транзитных поездов, в том числе тех, от которых по прибытии на станцию локомотив не отцепляют.
2.2.6. Определение потребности в рабочей силе и составление
штатного расписания
Количество ремонтных бригад в парке отправления и транзитном (СПТО) зависит от количества обрабатываемых поездов, интервалов их прибытия и отправления. Количество ремонтных бригад, одновременно обрабатывающих прибывшие поезда, определяем по формулам:
для ПТО
для парка отправления СПТО

для транзитного парка СПТО

Количество рабочих в ремонтной бригаде зависит от количества обрабатываемых вагонов в поезде и затрат труда на техническое обслуживание одного вагона. Определяем его по формуле

где Hо — средние затраты труда на техническое обслуживание одного вагона, чел.-мин;
η — коэффициент, учитывающий снижение трудоемкости работ вследствие внедрения средств механизации технического обслуживания вагонов (η = 0,8—0,95).
Потребное количество рабочих парка отправления вычисляем по формуле

где ηP — коэффициент, учитывающий отсутствие рабочих по уважительным причинам (ηP =1,07—1,12).
Количество рабочих одной смены рассчитаем из условия, что режим работы на ПТО круглосуточный и необходимы четыре смены:

После расчета численности рабочих выполняем распределение их по профессиям и составляем штатное расписание (табл. 2.1).
Таблица 2.1
Штатное расписание парка отправления
| | | Количество | Количество | Количество |
| Профессия, должность | Разряд | человек в одной | человек в одной | человек в четырех |
| | | бригаде | смене | сменах |
| Руководитель: | | | | |
| мастер ПТО | IX | — | — | 1 |
| Специалист: | | | | |
| инструктор вагонного хозяйства | VI—VIII | — | — | 1 |
| Служащий: | | | | |
| оператор по обслуживанию и | IV | | | |
| ремонту вагонов и контейнеров | (III) | | 1 | 4 |
| Рабочие: | | | | |
| старший осмотрщик вагонов; | VII | — | 1 | 4 |
| осмотрщик-ремонтник вагонов; | VI | — | — | — |
| осмотрщик- ремонтник вагонов; | V | — | — | — |
| слесарь по ремонту подвижного состава | III | — | — | — |
| Итого | | — | + | + |
| Всего | — | + | + | + |
2.2.7. Выбор потребного оборудования и приспособлений
для парка отправления
Потребное количество оборудования, устройств и приспособлений зависит от числа парковых путей, их длины и численности работников парка. Его расчет произведем в соответствии с полученными данными по чертежу № 1 графической части курсового проекта и сведем в табл. 2.2.
Таблица 2.2
Ведомость сооружений, оборудования, устройств и приспособлений парка отправления
| Наименование сооружений, оборудования, устройств и приспособлений | Единица измерения | Количество единиц | Стоимость единицы, руб. | Общая стоимость, руб. |
| Автоматическое ограждение составов | 1 ограж. путь | | | |
| Воздухопровод с колонками | 1 пог. м | | | |
| Устройство УЗОТ | 1 устройство | | | |
| Громкооповестительная связь | 1 колонка | | | |
| Прожекторы для встречи и провода поезда | 2 прожектора | | | |
| Мачтовое освещение парка | 1 мачта | | | |
| Гирляндное освещение | 1 светильник | | | |
| Радиостанция с зарядным устройством | 1 шт. | | | |
| Домкрат грузоподъемностью 40 - 45 т | 1 шт. | | | |
| Стеллаж закрыто-открытого типа | 1 шт. | | | |
| Транспортная дорожка в парке с твердым покрытием | 1м2 | | | |
| Помещение для кратковременного отдыха и обогрева работников | 1 помещение | | | |
| Кладовая | 1 шт. | | | |
| Комплект устройств АСУ ПТО | 1 комплект | | | |
| Итого | | — | — | + |
2.2.8. Определение площади парка отправления, здания ПТО и помещений для обогрева работников бригад
Определение ширины парка отправления. Ширина парка зависит от количества путей и расстояния между ними, а также расстояний до главных путей станции и между ними. Рассчитываем ее по формулам:

где а, а’ — расстояние от крайних путей до служебно-бытовых помещении с той и с другой стороны парка, м (а = 20—50м; а’=10—15м);
к—расстояние между главными путями станции, м (к = 4,8 м);
с — расстояние от главных путей до смежных ремонтных путей парка, м (с = 5,6 м);
8,2 — расстояние между осями смежных путей парка, м.
Определение площади парка отправления

Определение площади служебно-бытового здания. Площадь здания ПТО рассчитываем из условия, что нa одного работника парка необходимо не менее 4,5 м2 площади, по формуле

Определение объема здания ПТО

где NПТО — высота здания ПТО м (если здание одноэтажное, то
NПТО = 3,6 м, если двухэтажное, то NПТО = 7,2 м).
Определение площади и объема помещений для кратковременного отдыха и обогрева работников:

где Nпом — высота помещения, м (Nпом =2,4м);
п — количество помещений (см. табл. 2.2).
2.3. Экономическая часть
Проектируемое депо, его участки и отделения (ПТО) работают в условиях структурной реформы ОАО «РЖД», свой доход перечисляют на его расчетный счет. Депо финансируется по праву эксплуатационных расходов, которые спланируем в разделах профинплана.
2.3.1.
