Лекция 12. Элементы квантовой механики
| Вид материала | Лекция |
СодержаниеКвантование энергии 12.5. Квантовый гармонический осциллятор 12.6. Прохождение частиц через потенциальный барьер. |
- 14. Элементы квантовой статистики и зонной теории твердого тела, 460.81kb.
- Основы квантовой механики, 33.02kb.
- Спецкурс для студентов 6-го курса Объем учебной нагрузки: 24 час лекции, 34.24kb.
- Развитие теоретической физики в ХХ веке шло под флагом зарождения, развития и становления, 110.96kb.
- Будем пытаться строить модель сознания в духе математики квантовой механики, 181.49kb.
- Спецкурс для студентов 5-го и 6-го курсов Объем учебной нагрузки: 48 час лекции, 80.81kb.
- Элементы квантовой механики и физики атомов, молекул, твердых тел, 156.85kb.
- Элементы квантовой механики Атом Резерфорда – Бора и гипотеза де Бройля Ядерная модель, 38.71kb.
- Программа учебной дисциплины вариационные методы в физике (спецкурс, дисциплины, 147.31kb.
- Физические основы механики, 237.04kb.
12.4. Частица в потенциальном ящике.
Квантование энергии
Рассмотрение частицы в потенциальном ящике — одномерной прямоугольной потенциальной яме с бесконечно высокими стенками — имеет большое значение, так как потенциальная яма есть первое приближение силового поля, связывающего электроны в атоме, а также атомы в кристаллической решетке.
Потенциальная энергия частицы, например электрона, вне и внутри потенциального ящика (рис. 12) в предположении ее движения вдоль оси х имеет следующие значения:

где l — ширина ямы, а энергия отсчитывается от дна ямы.

Рис. 12.2.
Пси-функция частицы зависит только от координаты х, поэтому стационарное уравнение Шредингера [см. (12.16)] имеет вид
![]() | (12.17) |
Частица за пределы ямы не проникает, т. е. в областях х < 0 и х > l функция ψ(х) ≡ 0, а из условия непрерывности следует, что и на границах ямы
![]() | (12.18) |
В пределах ямы (0 < х < l) уравнение Шредингера (12.17) сведется к уравнению
![]() | (12.19) |
где
![]() | (12.20) |
Общее решение уравнения (12.19) имеет вид
![]() | (12.21) |
где а и α — произвольные постоянные.
Теперь нужно потребовать от функции ψ(х), чтобы она удовлетворяла естественным (стандартным) условиям. Видно, что ψ(х) в виде (12.21) однозначна и конечна. Она должна быть еще и непрерывной, а именно, вне ямы частица быть не может, значит там ψ(х) = 0, и для непрерывности ψ-функции необходимо, чтобы при х = 0 и х = l функция (12.21) была бы равна нулю. Из условия

следует, что α = 0. Из условия же

свою очередь следует, что kl= πn, где п — целые числа, т. е. необходимо, чтобы
![]() | (12.22) |
(п = 0 отпадает, так как при этом ψ(х) = 0 — частицы вообще нет, а отрицательные значения п приводят к тем же функциям, что и для положительных n, но с отрицательным знаком, что не дает новых физических решений).
Исключив k из уравнений (12.20) и (12.22), найдем собственные значения энергии частицы:
![]() | (12.23) |
т. е. спектр энергии частицы является дискретным (или квантованным). Квантованные значения Е называют уровнями энергии, а число и, их определяющее, — главным квантовым числом.
Итак, собственные значения Е найдены — это (12.23). Теперь найдем соответствующие им собственные функции. Для этого подставим значения k из (12.22) в (12.21), где α = 0, тогда

Для нахождения коэффициента а воспользуемся условием нормировки (12.9), которое в данном случае запишется следующим образом:

На концах промежутка интегрирования подынтегральная функция обращается в нуль. Поэтому значение интеграла можно получить, умножив среднее значение sin2 (nπx/l) (равное 1/2) на длину промежутка l. В результате получим а2l/2 = 1, откуда а = √(2/l). Таким образом, собственные функции имеют вид
![]() | (12.24) |
Из формулы (12.23) следует, что существует минимальная, не равная нулю энергия

соответствующая основному состоянию частицы. Волновая функция основного состояния
ψ1(х) = а sin πx/l
В отличие от классики минимальное значение энергии Е частицы в яме согласно (12.23) не равно нулю. Это полностью согласуется с принципом неопределенности. Ведь у частицы в яме ограничена область возможных значений ее координаты, поэтому должен существовать разброс по импульсам, а значит, отлична от нуля и энергия. Состояние с энергией Е1, называют основным состоянием, а остальные состояния — возбужденными.
На рис. 12.3 изображены уровни энергии частицы в одномерной прямоугольной потенциальной яме с бесконечно высокими стенками. Здесь же представлены для n = 1, 2, 3 собственные функции (12.24) и плотности вероятности обнаружения частицы на различных расстояниях от стенок ямы, равные |ψn (x)|2 = ψn*(х) ψn(х).

Рис. 12.3.

Из графиков, например, следует, что в состоянии с п = 2 частица не может быть обнаружена в середине ямы и вместе с тем одинаково часто бывает как в левой, так и в правой половине ямы. Такое поведение частицы, очевидно, несовместимо с представлением о траекториях. Отметим, что согласно классическим представлениям все положения частицы в яме равновероятны. Несколько другой вид этих же графиков показан на рис. 12.4, где собственные функции обозначены пунктирными линиями, а распределение плотности вероятности — сплошными. Из этих графиков видно, что в низшем энергетическом состоянии (п = 1) с наибольшей вероятностью частицу можно обнаружить в середине ямы, а вероятность нахождения ее вблизи краев ямы весьма мала. Такое поведение частицы резко отличается от поведения классической частицы.
Рис. 12.4.
С увеличением же энергии (т. е. с ростом квантового числа п) максимумы распределения ψ2n(х) располагаются все ближе друг к другу. При очень больших значениях п картина распределения ψ2n(х) практически «сливается» и представляется равномерным — частица начинает вести себя совсем «как классическая».
12.5. Квантовый гармонический осциллятор
Линейный гармонический осциллятор — система, совершающая движение под действием квазиупругой силы. Осциллятор называют одномерным, если система, например частица, может двигаться только вдоль одной прямой.
Задача об уровнях энергии одномерного гармонического осциллятора является одной из наиболее важных задач о собственных значениях.
В квантовой теории понятие силы теряет смысл, поэтому квантовый гармонический осциллятор следует определить как поведение частицы массы т с потенциальной энергией U(x) такой же, как у классического осциллятора, а именно
![]() | (12.25) |
Собственная частота классического гармонического осциллятора равна ωо = √k/т, где т — масса частицы (см. Cавельев, кн. 1).
Выразив в формуле (12.25) k через т и ωо, получим
![]() | (12.26) |
где х — отклонение от положения равновесия. Зависимость (12.26) имеет вид параболы (рис. 12.5), т. е. «потенциальная яма» в данном случае является параболической.

Рис.12.5.
С классической точки зрения амплитуда малых колебаний осциллятора определяется его полной энергией Е (см. рис. 12.5). В точках с координатами ± хmax кинетическая энергия осциллятора равна нулю и вся энергия переходит в потенциальную энергию осциллятора. Поэтому с классической точки зрения частица не может выйти за пределы области (-xmax, +xmax). Такой выход означал бы, что ее потенциальная энергия больше полной, что абсурдно, так как приводит к выводу, что кинетическая энергия отрицательна. Таким образом, классический осциллятор находится в «потенциальной яме» с координатами –хmax ≤ х≤ хmax «без права выхода» из нее.
Гармонический осциллятор в квантовой механике — квантовый осциллятор — описывается уравнением Шредингера (12.16), учитывающим выражение (12.26) для потенциальной энергии. Тогда стационарные состояния квантового осциллятора определяются уравнением Шредингера вида
![]() | (12.27) |
где Е — полная энергия осциллятора.
В теории дифференциальных уравнений доказывается, что уравнение (12.27) имеет однозначные, конечные и непрерывные решения при собственных значениях
![]() | (12.28) |
Из формулы (12.28) следует: энергия квантового осциллятора может иметь лишь дискретные значения, т. е. квантуется.
Из формулы (12.28) также следует, что уровни энергии расположены на одинаковых расстояниях друг от друга (на рис. 12.6 они изображены горизонтальными прямыми), а именно расстояние между соседними энергетическими уровнями равно ћωо, причем минимальное значение энергии Е0 = (1/2) ћωо. При n >> 1 En = пћωо (т. е. энергетические уровни осциллятора совпадают с величинами квантованной энергии осциллятора, постулируемыми Планком в теории излучения черного тела.
Как следует из выражения (12.28), минимальная энергия квантового осциллятора
![]() | (12.29) |
она называется энергией нулевых колебаний.
Наличие энергии нулевых колебаний типично для квантовых систем и является следствием соотношения неопределенностей: частица не может находиться на дне потенциальной ямы независимо от ее формы. Если бы это было возможно, то импульс, а также его неопределенность обращались бы в нуль. Тогда неопределенность координаты ∆х→ ∞, что противоречит пребыванию частицы в потенциальной яме.
Плотность вероятности обнаружить частицу на оси х определяется квадратом модуля волновой функции |ψ(х)|2. На рис. 12.6 представлены кривые распределения плотности вероятности |ψn(х)|2 для различных состояний квантового осциллятора (для п = 0, 1 и 2).

Рис.12.6.
В точках А и А', В и В', Си С' потенциальная энергия равна полной энергии (U = E), причем, как известно, классический осциллятор не может выйти за пределы этих точек.
Для квантового осциллятора |ψn(х)|2 и за пределами этих точек имеет конечные значения. Это означает, в свою очередь, что имеется конечная, хотя и небольшая, вероятность обнаружить частицу за пределами «потенциальной ямы». Этот результат не противоречит выводам квантовой механики, поскольку, как уже отмечалось, равенство Т = Е— U в квантовой механике не имеет силы, так как кинетическая (Т) и потенциальная (U) энергии не являются одновременно измеримыми величинами.

Рис. 12.7.
При больших значениях п квантовое распределение плотности вероятности проявляет все большее сходство с классическим (рис. 12.8), где представлены квантовое (сплошная кривая) и классическое (пунктир) распределение плотности вероятности для п = 10.

Рис. 12.8.
В этом находит свое выражение постулат квантовой механики — принцип соответствия Бора: выводы и законы квантовой механики при больших значениях квантовых чисел должны соответствовать выводам и законам классической физики.
Существование нулевой энергии подтверждается экспериментами по изучению рассеяния света кристаллами при низких температурах. Оказывается, что интенсивность рассеянного света по мере понижения температуры стремится не к нулю, а к некоторому конечному значению, указывающему на то, что и при абсолютном нуле колебания атомов в кристаллической решетке не прекращаются.
Более детальный расчет, выходящий за рамки уравнения Шредингера, показывает, что для квантового осциллятора возможны переходы лишь между соседними «стационарными» уровнями, при которых квантовое число n изменяется на единицу:
![]() | (12.30) |
Это условие называют правилом отбора для квантового гармонического осциллятора.
Из правила (12.30) вытекает, что энергия гармонического осциллятора может изменяться только порциями ћω. Планк предполагал, что энергия гармонического осциллятора может быть лишь целой кратной ћω. В действительности же имеется еще нулевая энергия, существование которой было установлено только после создания квантовой механики.
12.6. Прохождение частиц через потенциальный барьер.
Туннельный эффект
Потенциальным барьером называют область пространств, в которой потенциальная энергия больше, чем в окружающих областях пространства.
Пусть частица, движущаяся слева направо, встречает на своем пути потенциальный барьер высоты U0 и ширины l (рис. 12.9). По классическим представлениям поведение частицы имеет следующий характер. Если энергия частицы больше высоты барьера Е > U0, частица беспрепятственно проходит над барьером (на участке 0 < х < l лишь уменьшается скорость частицы, но затем при х > l снова принимает первоначальное значение). Если же Е меньше U0 (как изображено на рисунке), то частица отражается от барьера и летит в обратную сторону; сквозь барьер частица проникнуть не может.Рис. 12.9.
В случае Е < U0 уравнение (12.16) имеет вид
![]() | (12.31) |
для областей I и III и
![]() | (12.32) |
для области II, причем Е - U0 < 0.
Ищем решение уравнения (12.31) в виде ψ = ехр(λх). Подстановка этой функции в (12.31) приводит к характеристическому уравнению

Отсюда λ = ±iα, где
![]() | (12.33) |
Таким образом, общее решение уравнения (12.31) имеет вид
![]() | (12.34) |
Решив подстановкой ψ = ехр(λх) уравнение (12.32), получим общее решение этого уравнения в виде
![]() | (12.35) |
Здесь
![]() | (12.36) |
В квантовой механике принято, что решение вида ехр (iαx) соответствует волне, распространяющейся в положительном направлении оси х, а решение вида ехр (-iαx) — волне, распространяющейся в противоположном направлении.
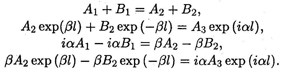
В области III имеется только волна, прошедшая через барьер и распространяющаяся слева направо. Поэтому коэффициент B3 в выражении (12.34) для ψ3 следует положить равным нулю. Для нахождения остальных коэффициентов воспользуемся условиями, которым должна удовлетворять функция ψ. Для того чтобы ψ была непрерывна во всей области изменений х от -∞ до +∞, должны выполняться условия ψ1(0) = ψ2(0) и ψ2(l) = ψ3(l). Для того чтобы ψ была гладкой, т. е. не имела изломов, должны выполняться условия ψ'1(0) = ψ'2(0) и ψ'2(l) = ψ'3(l). Из этих условий вытекают соотношения
![]() | (12.37) |
Разделим все уравнения на А и введем обозначения:

а также
![]() | (12.38) |
Тогда уравнения (12.37) примут вид
![]() | (12.39) |
Отношение квадратов модулей амплитуд отраженной и падающей волн

определяет вероятность отражения частицы от потенциального барьера и может быть названо коэффициентом отражения.
Отношение квадратов модулей амплитуд прошедшей и падающей волн
![]() | (12.40) |
определяет вероятность прохождения частицы через барьер и может быть названо коэффициентом прохождения (или коэффициентом прозрачности).
Нас будет интересовать только прохождение частиц через барьер, и мы ограничимся нахождением величины D. Правда, найдя D, легко найти R, поскольку эти коэффициенты связаны очевидным соотношением R + D = 1.
Умножим первое из уравнений (12.39) на i и сложим с третьим. В результате получим
![]() | (12.41) |
Теперь умножим второе из уравнений (12.39) на i и вычтем его из четвертого. Получим
![]() | (12.42) |
Решив совместно уравнения (12.41) и (12.42), найдем, что


Наконец, подставив найденные нами значения a2 и b2 во второе из уравнений (4.52), получим выражение для а3:
Величина

обычно бывает много больше единицы. Поэтому в знаменателе выражения для а3 слагаемым, содержащим множитель ехр (-βl), можно пренебречь по сравнению со слагаемым, содержащим множитель ехр (βl) (комплексные числа n + i и n - i имеют одинаковый модуль). Итак, можно положить


Согласно (12.40) квадрат модуля этой величины дает вероятность прохождения частицы через потенциальный барьер. Учтя, что |п - i| = √(п2 + 1), получим

где (см. (12.38))
Выражение 16n2/(n2 + 1)2 имеет значение порядка единицы. Поэтому можно считать, что
![]() | (12.43) |
Из полученного нами выражения следует, что вероятность прохождения частицы через потенциальный барьер сильно зависит от ширины барьера l и от его превышения над Е, т. е. от Uо - Е. Коэффициент прохождения резко уменьшается при увеличении массы частицы т.
Рассмотрим потенциальный барьер произвольной формы (рис. 12.10). В данном случае его можно приближенно представить в виде суммы узких прямоугольных барьеров.Рис. 12.10.
Если потенциальный барьер произвольной формы удовлетворяет условиям так называемого квазиклассического приближения (достаточно гладкая форма кривой), то коэффициент прозрачности с достаточно хорошим приближением определяется формулой
![]() | (12.44) |
При преодолении потенциального барьера частица как бы проходит через «туннель» в этом барьере (см. заштрихованную область на рис. 12.10), в связи с чем рассмотренное явление называют туннельным эффектом.
К
ачественный характер функций ψ1(x), ψ2(x) и ψ3(x) иллюстрируется на рис. 12.11, откуда следует, что волновая функция не равна нулю и внутри барьера, а в области 3, если барьер не очень широк, будет опять иметь вид волн де Бройля с тем же импульсом, т. е. с той же частотой, но с меньшей амплитудой. Следовательно, получили, что частица имеет отличную от нуля вероятность прохождения сквозь потенциальный барьер конечной ширины.Туннельный эффект — специфически квантовое явление, не имеющее аналога в классической физике (где такого в принципе не может быть). Этим эффектом объясняются многие физические явления; например, холодная эмиссия электронов из металлов, альфа-распад, спонтанное деление ядер и др.
Рис. 12.11.




























