Donetsk compartment of shevchenko scientific society
| Вид материала | Документы |
СодержаниеQ = arctg (r/d) ДО = Lmax/Lmin 2. Медицина, психологія Закономірності формування Серед населення екокризового Матеріали та методи дослідження. Результати та їх обговорення. |
- Donetsk compartment of shevchenko scientific society, 2259.73kb.
- Donetsk compartment of shevchenko scientific society, 3938.75kb.
- Donetsk compartment of shevchenko scientific society, 4086.35kb.
- Donetsk compartment of shevchenko scientific society, 3610.42kb.
- Donetsk compartment of shevchenko scientific society, 16031.76kb.
- Donetsk compartment of shevchenko scientific society, 2424.3kb.
- Донецьке відділення наукового товариства ім. Шевченка donetsk compartment of shevchenko, 3687.32kb.
- Донецьке відділення наукового товариства ім. Шевченка donetsk compartment of shevchenko, 3817.8kb.
- Донецьке відділення наукового товариства ім. Шевченка donetsk compartment of shevchenko, 3413.53kb.
- Донецьке відділення наукового товариства ім. Шевченка donetsk compartment of shevchenko, 398.96kb.
ЛІТЕРАТУРА
- Горецький О.С, Максимович В.О., Солдак I.I., Тарапата М.В. Комплексне вивчення показників здоров’я робітників підприємств Донбасу // Донецький вісник Наукового товариства ім. Шевченка т. 3 - Донецьк: Східний видавничій дім. - 2003. - С.115.
- Панов Б.С., Алехин В.И.,Леось О.Ю. Геоэкологические исследования. Развитие и перспектива. Сборник научных работ международной научно-практической конференции, Киев; Знание 1995 г. 2 часть, С. 98-101. г. Донецк.
- Агарков В.И., Грищенко С.В., Грищенко В.П. Атлас гигиенических характеристик экологической среды Донецкой области. - Донецк: Донеччина, 2001.- 140 с.
- Білецька Е.М. Гігієнічна характеристика важких металів у навколишньому середовищі та їх вплив на репродуктивну функцію жінок: Авто реф. Дис. … д-ра мед. наук. - К., 1998. -30 с.
- Горецький О.С., Максимович В.О., Солдак І.І., Тарапата М.В. Комплексне вивчення показників здоров’я робітників підприємств Донбасу // Донецький вісник Наукового товариства ім. Шевченка т. 3 - Донецьк: Східний видавничий дім. - 2003.115 с.
- Гримак Л.П. Резервы человеческой психики. Введение в психологию активности. - М.: Политиздат, 1989.- 310 с.
- Грищенко С.В., Солдак И.И., Шамрай В.А. Гигиеническая оценка влияния химического загрязнения пищевых продуктов на формирование онкологической патологии тела матки среди женщин Донецкой области // Проблемы экологии и охраны природы техногенного региона: Межведомственный сборник научных работ. - Донецк, 2003. - Вып.3. - С. 211-214.
ББК 28.992.4
Марина Снегір,
кандидат медичних наук, доцент,
кафедра фізіології Донецького державного
медичного університету ім. М. Горького
Андрій Снегір,
кандидат медичних наук, асистент,
кафедра фізіології Донецького державного
медичного університету ім. М. Горького
Борис Івнєв,
доктор медичних наук, професор,
кафедра фізіології Донецького державного
медичного університету ім. М. Горького
Валентина Андреєва,
кандидат медичних наук, доцент
кафедра фізіології Донецького державного
медичного університету ім. М. Горького
Наталя Прокоф’єва,
кандидат медичних наук, доцент
кафедра фізіології Донецького державного
медичного університету ім. М. Горького
Ольга Щукіна,
асистент, кафедра фізіології
Донецького державного медичного
університету ім. М. Горького
Сприйняття зорових стимулів
підпорогової величини.
Сприйняття в реальному світі залежить від об’єктивних характеристик стимулу і суб’єктивних процесів у людському організмі. Сприйняття припускає усвідомлення суб’єктом самого факту стимулювання і визначених уявлень про нього, а щоб це відбулося, спочатку необхідно відчути «введення» сенсорної інформації, тобто випробувати відчуття. Сприйняття є процес осмислення стимуляції наших сенсорних рецепторів. Отже, сприйняття - це задача ЦНС, що полягає в зосередженні на сенсорному сигналі, аналізі й інтерпретації для створення певного уявлення про навколишній світ.
Фундаментальною експериментальною проблемою, котру приходиться вирішувати при вивченні взаємозв’язку деяких особливостей зовнішніх подразників і сенсорного досвіду, є проблема виявлення слабких сигналів. Усі ми знаємо, щоб викликати визначену нейронну активність, необхідну для появи відчуття, потенційний сигнал повинний бути досить інтенсивним і тривалим. Цей сигнал називається абсолютним порогом. Як правило, граничні значення подразників відповідають певному граничному рівню абсолютної чутливості організму. Саме поняття абсолютного порога припускає наявність точного значення, або визначеної крапки на шкалі інтенсивності енергії, при досягненні якої стимул відразу ж стає сприйманим, і спостерігач відповідає: «Так, я прийняв сигнал». Отже, сигнал, інтенсивність якого на одну одиницю менше, не буде розпізнаний. Однак таке трапляється рідко. Результати лабораторних досліджень частіше описуються S-подібними кривими, що змушує припустити відсутність зафіксованої, або абсолютної інтенсивності стимулу, що відокремлює рівні інтенсивності, які ніколи не викликають відповідної реакції, від тих, котрі завжди викликають її. Щоб зрозуміти цю проблему порога, варто згадати, що в багатьох життєвих ситуаціях ми найчастіше не впевнені в тому, чи правильно сприйняли слабкий сигнал або певний стимул. Ми зіштовхуємося з численними ситуаціями, зв’язаними з зовнішніми подразниками, на які реагуємо неоднозначно. Словом, стимули однієї і тієї ж інтенсивності часом фіксуються, а часом - ні. Ця зміна розпізнавання стимулів однієї і тієї ж інтенсивності красномовно свідчить про зміну величини порога в часі. Подібний висновок - виклик традиційному уявленню про сенсорний поріг як про прояв принципу «все або нічого» (а саме, твердженню про те, що точна величина інтенсивності відрізняє стимули, які розпізнаються від тих, котрі не можна розпізнати). Що є джерелом таких нестабільних результатів?
Навіть при повній відсутності зовнішніх подразників і для сенсорних систем, і для мозку характерна безперервна спонтанна сенсорно-нейронна активність, яка є частково результатом неупорядкованого виникнення ПД (її порівнюють із шумовим тлом радіоприймача), а відповідно до положень теорії виявлення сигналів, вважають якоюсь формою стороннього фонового шуму в сенсорній системі. Крім спонтанної сенсорно-нейронної активності нейронний шум може також включати непередбачені, випадкові наслідки втоми, коливання уваги спостерігача, його мотивації або вегетативного стану.
Аналіз функціонування зорової системи, що враховує її чутливість до контрасту, є основою для вироблення більш інформативного і повного критерію оцінки гостроти зору. Наприклад, гострота зору льотчиків, обмірювана традиційними методами (тест Снеллена, кільця Ландольта), цілком може виявитися нормальною, однак якщо її оцінити, з огляду на контрастну чутливість, виявляються досить істотні індивідуальні розходження.
Характерними рисами будь-якого патерна є його просторова частота (число варіацій інтенсивності) і контраст (розходження в інтенсивностях між елементами патерну). Чим менший контраст потрібний для того, щоб просторові частоти були видимими, тим вище чутливість зорової системи до цих частот. Будь-який візуальний образ може бути представлений складним набором патернів, кожний з яких має свою просторову частоту. Неструктуровані ділянки візуального образа мають низьку просторову частоту, а елементи і ділянки, що містять дрібні деталі - високу. У зоровій системі можуть бути дискретні, незалежні нейрони (або канали), кожний з яких має високу чутливість на певний, але обмежений інтервал просторових частот, чутливість до якого в нього максимальна.
Оскільки зорова сенсорна система, з погляду сучасної фізіології, являє собою багатоканальний фільтр різних просторових частот, було цікаво з’ясувати чутливості зорового аналізатора до стимулів різного розміру і контрасту в групі здорових людей (17-30 років) з гостротою зору 1. Зорові викликані потенціали (ЗВП) реєстрували за допомогою діагностичного комплексу Amplaid МК15 (Італія). Електроди розташовували по стандартній міжнародній системі 10-20. При біполярній реєстрації активний електрод розташовували в точці Оz, референтний - у точці Fpz, яка заземлює - на лівому передпліччі. Як стимул використовували реверсивний шаховий патерн (чергування чорно-білих шахових клітин різного розміру), який пред’являли випробуваним за допомогою телевізійного монітору чорно-білого зображення. Відстань до монітору складала 1,5 м, частота пред’явлення візуальної стимуляції дорівнювала 1 з-1. Модифікували розмір кліток шахового патерну в діапазоні від 1,8 до 120’ (кутових хвилин) і його контраст (у діапазоні від 2 до 100 %). Кутовий розмір клітин (Q) шахового патерну пов’язаний з їхнім лінійним розміром формулою:
| Q = arctg (r/d), | 1 |
де r - сторона квадрата, d - відстань до екрана. Яскравість монітора, який використовували для зорової стимуляції, складала 200 кд/м2 (100%). Калібраційна контрастність пропонованого зображення також складала 100%. Контрастність розраховувалася як величина, отримана в результаті відносини яскравості більш світлих до більш темних елементів зображення (білого і чорного квадратів):
| ДО = Lmax/Lmin, | 2 |
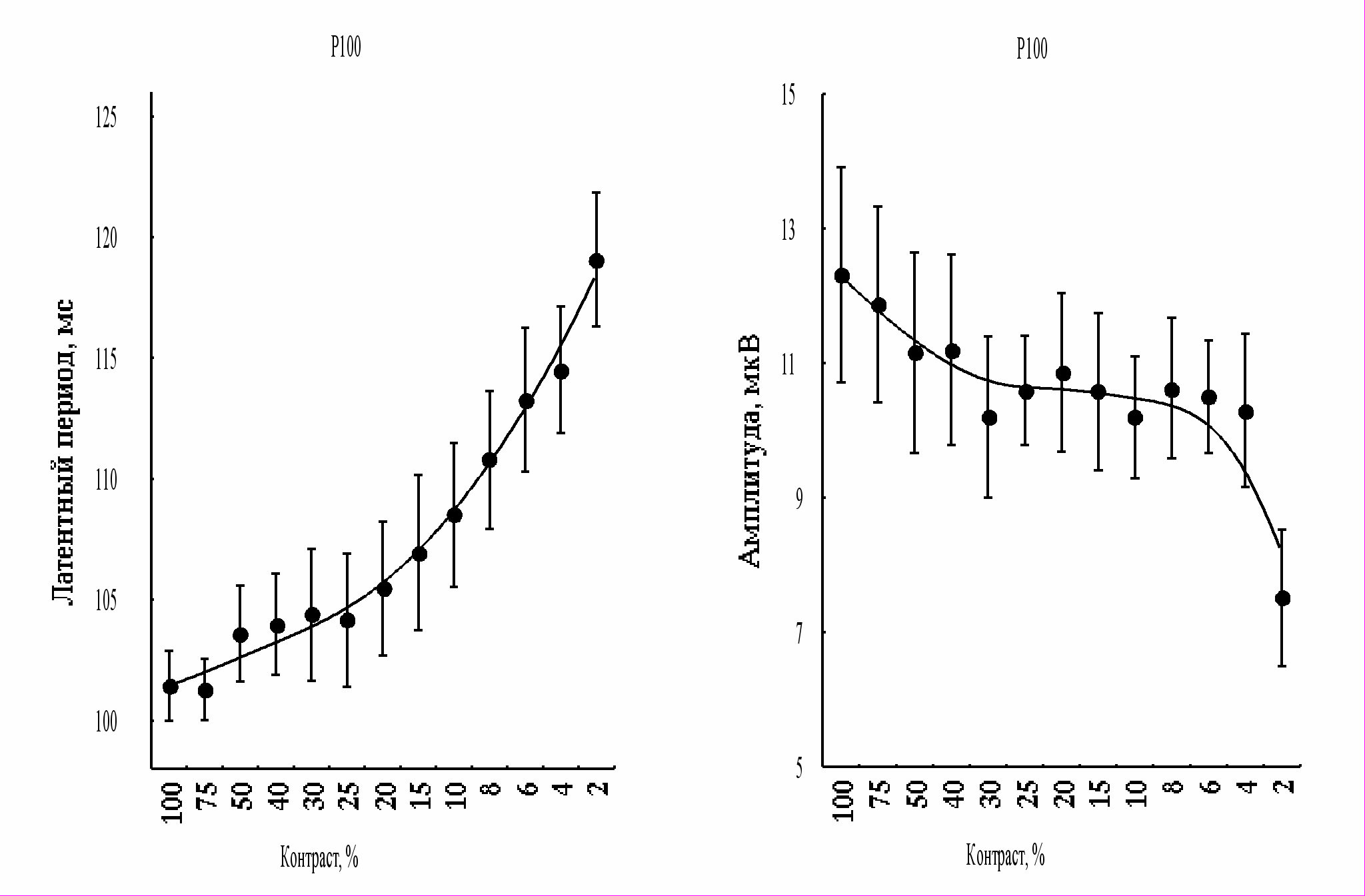
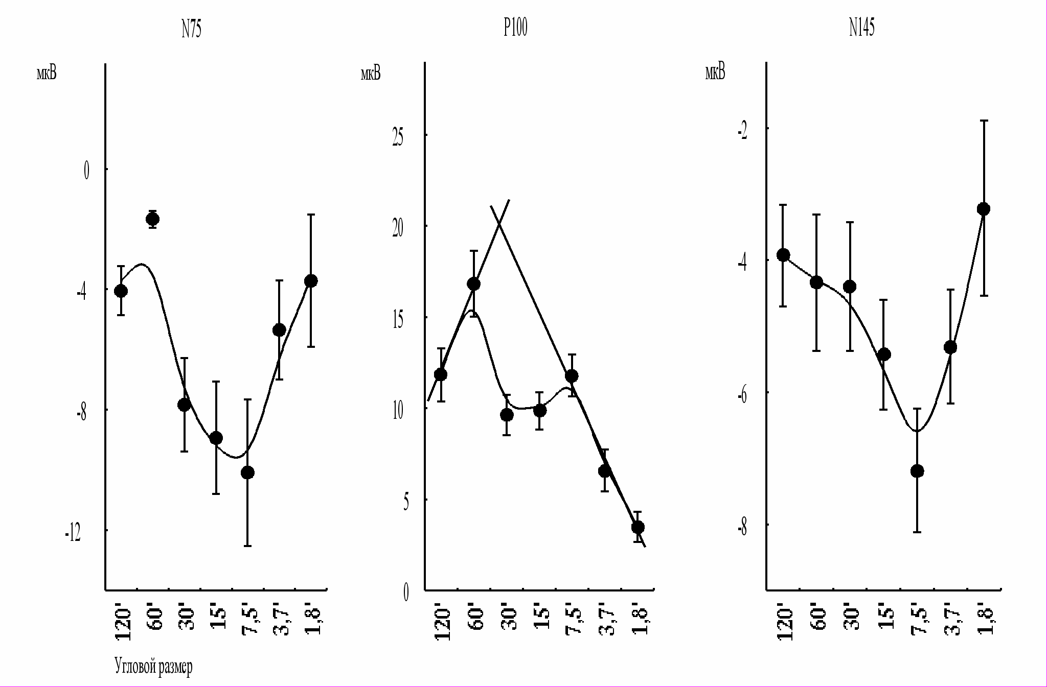
де ДО - контраст, Lmax і Lmin - яскравість найбільш світлого і найбільш темних ділянок екрана. Усереднення ЗВП здійснювалося відносно початку подачі стимулу по 100 кривим. Епоха аналізу складала 200 мс. Смуга пропущення підсилювача складала від 0,1 Гц до 50 Гц. Для захисту від перешкод застосовувалася система режекції, передбачена в електродіагностичному комплексі Amplaid МК15. Аналізувалися амплітуди і латентні періоди основних загальновизнаних компонентів ЗВП (N75, P100, N145) (рис.1).
Крива ЗВП на реверсивний шаховий патерн являла собою сукупність негативних і позитивних хвиль. Найбільш високоамплітудний комплекс N75-P100-N145 реєструвався стабільно і був відповіддю зорової кори на сенсорний сигнал. Вважається, що компонент N75 генерується зірчастими клітинами IV шару стріарної кори, однак не виключається внесок у його виникнення й активності таламокортикальних аксонів. Компонент Р100 є сумарним відображенням післясинаптичної активації в мережі пірамідних нейронів III шару та гальмівних процесів у зірчастих клітинах IV шару зорової кори. Згідно літературними даними більш пізній компонент, N145, має нестріарні джерела генерації, а в його походженні беруть участь нейронні мережі асоціативних областей зорового аналізатора (поля 18 і 19). У результаті проведених досліджень були отримані наступні залежності амплітуд і латентних періодів компонентів ЗВП від розміру і контрасту пропонованих стимулів.
Для компонента N75 відзначалося укорочення латентного періоду в діапазоні контрастів від 100% до 20% (з мінімумом при контрасті 20-25%), а потім більш інтенсивне зростання латентного періоду на інтервалі контрастів від 20 до 2% (рис. 1.). Амплітуда цього компонента знижувалася пропорційно зниженню контрасту стимулу до величини 20-25%, при подальшому зменшенні контрасту амплітуда N75 значимо не змінювалася. Латентний період компонента Р100 у міру зниження контрасту зростав з логарифмічною залежністю і був максимальним при контрасті 2% (рис. 2.). Амплітуда Р100 знижувалася по складній S-подібній залежності з фазою плато від 25 до 4%. Латентний період і амплітуда компонента N145 змінювалися в залежності від контрасту за більш складним законом.

Рис 1. Залежність латентного періоду й амплітуди компонента N75 ЗВП від контрасту стимулу.
Спостерігалася односпрямована тенденція зниження латентного періоду від 100% контрасту до 30%, від більш високих значень латентного періоду при контрасті 25% зі зниженням значень латентного періоду до мінімальних показників при 4% контрасті, але вже на новому рівні. Такий же фазовий перехід значень латентного періоду N145 спостерігали при контрасті 2% (рис. 3). Характер змін амплітуди даного компонента такий же: тенденція підвищення амплітуди спостерігалася в діапазоні контрастів від 100 до 40% і від 30 до 2% контрасту. У діапазоні контрастів 25-20% зміни амплітуди компонента N145 менш виражені (фаза плато).
Рис. 2. Залежність латентного періоду й амплітуди компонента P100 від контрасту стимулу.Ефекти кутового розміру стимулу.
При модифікації розмірів квадратів шахового патерну, амплітуди негативних компонентів N75 і N145 зростали пропорційно розміру квадрата до 7,5’, після чого - зменшувалися (рис. 4.). Зміна амплітуди компонента Р100 носила двофазовий характер з чітко вираженим фазовим переходом у діапазоні кутових розмірів від 30 до 15’.
Рис 3. Залежність латентного періоду й амплітуди компонента N145 ЗВП від контрасту стимулу.
Рис. 4. Залежність амплітуд компонентів ЗВПвід кутового розміру стимулу.
Слід зазначити, що кількість випробуваних, у яких фазовий перехід приходився на кутовий розмір 30’, складав рівно 50% від загального числа, в інших 50% він приходився на 15’. Характер зміни латентних періодів усіх компонентів (N75, P100, N145) у залежності від кутового розміру клітин шахового патерну підкорявся загальній закономірності. В міру зменшення кутових розмірів стимулу, латентні періоди зазначених компонентів зростали (рис. 5).
Рис. 5. Залежність латентних періодів компонентів ЗВП від кутового розміру стимулу (А) і частота наявності фазового переходу на різних кутових розмірах (Б).Це може свідчити або про різну топографію нейронних мереж, які обробляють інформацію про кутові розміри об’єкта, або про те, що на переробку інформації про стимули невеликої величини затрачається більше часу, ніж на стимули більшої величини. Зменшення кутових розмірів стимулів у контексті експерименту не приводить до зміни величини загального засвітлення сітківки, але при цьому значно зростав ступінь структурованості стимулу, тобто збільшувалася кількість елементів - квадратів. Це у свою чергу приводило до збільшення границь між темними і світлими квадратами, а, отже, і збільшенню кількості детектуючих нейронів. Крім того, латентні періоди всіх трьох компонентів змінювалися до певних значень розміру клітин за однією закономірністю, а потім, стрибкоподібно, ця залежність змінювалася на іншу. Цікаво, що фазовий перехід, тобто момент переходу з однієї залежності на іншу для всіх досліджуваних компонентів був однаковий, і в різних людей приходився на діапазон від 30’ до 7,5’. У більшої частини випробуваних фазовий перехід залежності «кутовий розмір - латентний період» компонентів N75, P100, N145 відзначався для величини стимулу рівного 15’.
У практиці стимул - реверсивний шаховий патерн квадратів малого розміру (10-15’) - використовують для стимуляції фовеа, тоді як застосування патерну квадратів більшої кутової величини (50’), дозволяє вивчити активність і фовеальної і парафовеальної областей сітківки. Це пов’язано з тим, що розміри рецептивних полів гангліозних клітин фовеа в значній мірі менше, у порівнянні з парафовеальними. Відомо, що аналогічні розходження в розмірах рецептивних полів (РП) спостерігаються також і в первинній зоровій корі. Розміри РП і їхні функціональні властивості залежать від розташування фоторецепторів даного поля на сітківці щодо центральної ямки (ексцентриситет). Величина РП росте від області центральної ямки до периферії сітківки. Це є наслідком структурної організації зв’язків елементів сітківки. Центральну зону рецептивного поля оточує концентрична гальмівна зона. Гальмівна облямівка навколо центральної зони РП не виявляється при низькому рівні освітленості. Сьогодні відомо, що гальмівна облямівка утворюється горизонтальними клітинами сітківки за механізмом латерального гальмування, тобто чим сильніше збуджений центр РП, тим більший гальмівний вплив він робить на периферію. Дослідження функціональних перебудов РП гангліозних клітин сітківки показало залежність величини центральної підсумовуючої зони РП від контрасту. При слабкій освітленості діють не усі вихідні клітки, але кожна діюча підсумовує порушення від великого числа рецепторів. Просторова сумація збільшує співвідношення сигналу до шуму, у результаті навіть слабкий сигнал накопичується до рівня, що дозволяє проводити порівняння і розрізнення сигналів на більш високому рівні зорової системи. Зі збільшенням освітленості достатній по амплітуді сигнал може бути отриманий при підсумовуванні по меншому числу рецепторів. Збільшення освітленості викликає перебудову РП. При більшій освітленості вступають у дію гангліозні клітини, що не працювали раніше, і кожна колбочка одержує свій індивідуальний шлях, що забезпечує високу здатність гостроти зору.
Співвідношення гальмівних і збуджувальних процесів у РП на складні види стимулів у значній мірі визначається характером стимулу. Складна динаміка змін латентних періодів N75, P100, N145 і амплітуди Р100 у залежності від кутового розміру шахового патерна може визначатися перебудовою РП на рівні коркових модулів, відбиваючи фізичні характеристики стимулу.
Зворотні залежності амплітуди і латентних періодів при зміні ступеня контрасту спостерігаються у всіх компонентів ЗВП. Однак для компонента N145 ця залежність носить характер фазового переходу на новий рівень видимості при контрасті 30-25%.
Таким чином, компоненти викликаних потенціалів побічно відбивають роботу різних ланок обробки зорової інформації. Компоненти N75 і Р100 відбивають діяльність механізмів первинної фільтрації, зв’язаної з фізичними характеристиками стимулу. Характер змін компонента N145 у залежності від складного стимулу свідчить про наявність перебудов рецептивних полів коркових нейронів як основі підсвідомої зміни порогів зорового упізнання і виявлення сигналу.
Отримані результати свідчать про взаємодію різних механізмів зорового сприйняття сенсорних сигналів, що залучаються до обробки, при зміні параметрів і умов стимуляції.
Участь гальмівних процесів у формуванні відповідей зорово-чуттєвого нейрона специфічна. Орієнтаційна чутливість нейронів I-ї зорової кори формується на основі як поступального збудження (feed-forward excitation), так і поступального гальмування (feed-forward ingibition). Сьогодні допускається можливість специфічної участі гальмування в процесах центральної обробки зорової інформації. Більшість дослідників дотримуються думки, що роль гальмівних процесів у переробці зорової інформації є переважно неспецифічною.
Сьогодні є досить основ для того, щоб говорити про багаторівневу організацію функцій зорової системи. Зорова система може бути представлена як сукупність декількох каналів (підсистем), у кожнім з яких обробляється інформація про одну властивість зорового об’єкта. По рівнобіжних каналах передається інформація про форму, колір, розмір просторову структуру об’єкта. При цьому виділення тих або інших ознак об’єкта може відбуватися на різних рівнях зорової системи. Наявність каналів, передбачених на основі психофізіологічних експериментів і клінічних досліджень, була надалі підтверджена анатомічними даними. Більша частина нейронів зорової кори набудована завдяки властивостям своїх рецептивних полів (РП) на виділення з зображення тих або інших орієнтацій стимулу, представленого у виді набору ліній (контрастних границь) або ділянок текстур.
У процесі аналізу властивостей стимулу на різних рівнях зорової сенсорної системи відбувається зміна активності окремих популяцій нейронів, що може бути зареєстроване за допомогою зорових викликаних потенціалів мозку (ЗВП). Варіювання в широких межах параметрів стимуляції впливає лише на тимчасові й амплітудні характеристики процесу перебудови РП зорових нейронів в інтервалах мікрочасу, не змінюючи при цьому принципової схеми його протікання. Дослідження даної закономірності може допомогти в розкритті механізмів зміни порогів чутливості і розробці фізіологічних критеріїв даних процесів.
ЛІТЕРАТУРа
1. Хьюбел Д. Глаз, мозг, зрение: Перев. с англ. М.: Мир, 1990. 270 с.
2. Кратин Ю.Г. Внеанализаторное распространение сенсорной информации // Анализ сигналов мозгом. Л.: Наука, 1977. С. 62-76.
3. Глезер В.Д. Модули функциональные единицы зрительного мозга и их роль в зрительном восприятии // Физиологический журнал СССР им. И.М. Сеченова. 1987. Т.78, №2. - С. 202-210.
4. Прибрам К. Языки мозга. М.: Прогресс, 1975. 422 с.
5. Шевелев И. А., Барк Е. Д., Верхлютов В. М. Альфа-сканирования зрительной коры: данные ЭЭГ и магнитно-резонансной томографии // Русский физиол. журн. им. И. М. Сеченова. 2001. - Т.87, № 8. - С. 1050-1057.
6. Киров В.Н., Белова Е. И. Механизмы формирования и роль осцилляторной активности нейронных популяций в системной деятельности мозга // Журн. высш. нервн. деятельности. 2000. - Т.50, вип.2. С. 179-191.
7. Коган А.Б. Функциональная организация нейронных механизмов мозга. - Л.: Медицина, 1979. - 224 с.
8. Скребицкий В.Г. Регуляция проведения нарушения в зрительном анализаторе. М.: Медицина, 1977. 150 с.
9. Дудкин К.Н., Панин А.И., Чуева И.В. Частотно-пространственные фильтры с латеральной фасилитацией в зрительной коре. Модель нейронной структуры // Физиологический журнал им. И.М. Сеченова. 1981. Т.67, №5.
10. Виноградова О.С. Нейронаука конца второго тисячелетия: изменение парадигм // Журн. высш. нервн. деят. 2000. Т.50, №5. - С. 743-769.
11. Гнездицкий В.В. Вызванные потенциалы мозга в клинической практике. Таганрог: Изд-во ТРТУ, 1997.
12. Шагас Е. Вызванные потенциалы мозга в норме и патологии. М.: Мир, 1975. 311 с.
2. МЕДИЦИНА, ПСИХОЛОГІЯ
ББК 55.694.32
Сергій ГРИЩЕНКО,
доктор медичних наук, професор,
Донецький державний медичний університет
Ігор СОЛДАК,
доктор медичних наук, професор,
Донецький державний медичний університет
Іван НАГОРНИЙ,
лікар-ординатор, Хмельницька обласна лікарня
Інна ГРИЩЕНКО,
викладач, Донецький державний медичний університет
ЗАКОНОМІРНОСТІ ФОРМУВАННЯ
ТА ЗОВНІШНЬОСЕРЕДОВИЩНІ ЧИННИКИ
РИЗИКУ ЗЛОЯКІСНИХ НОВОУТВОРЕНЬ
ГУБИ, РОТОВОЇ ПОРОЖНИНИ І ГЛОТКИ
СЕРЕД НАСЕЛЕННЯ ЕКОКРИЗОВОГО
РЕГІОНУ УКРАЇНИ
Злоякісні пухлини губи, ротової порожнини та глотки займають досить значне місце в структурі як первинної захворюваності, так і особливо поширеності онкологічної патології в багатьох країнах світу, в тому числі й в Україні [1, 6]. За останні 10-20 років частота виникнення раку губи дещо знизилася, а ротової порожнини та глотки, навпаки, помітно зросла [1]. Незважаючи на те, що ці пухлини відносяться до так званих „візуальних локалізацій”, смертність від них населення, особливо чоловіків, дуже велика і, на жаль, не має тенденції до зниження. Лише поодинокі роботи присвячені епідеміології злоякісних новоутворень губи, ротової порожнини і глотки в одному з екокризових регіонів України - Донецькій області. Проте, ще багато особливостей частоти їх виникнення та чинників ризику залишаються нез’ясованими, у зв’язку з чим мета даної роботи - визначення довгострокових закономірностей формування та екзогенних детермінантів онкопатології губи, ротової порожнини й глотки серед населення Донецької області є вельми актуальною.
Матеріали та методи дослідження. Дослідження випадків виникнення злоякісних новоутворень губи, ротової порожнини й глотки були проведені за період з 1980 до 2004 р. серед населення 19 міст та 14 сільських районів Донецької області. Матеріалами для вивчення онкозахворюваності були дані обласного канцер-реєстру (Донецький обласний протипухлинний центр), а також звітно-облікова документація лікарень та онкологічних диспансерів. Всього було опрацьовано більше 45000 первинних медичних документів. Зовнішні (зовнішньосередовищні) чинники ризику злоякісних новоутворень (геліофізичні та клімато-погодні фактори, хімічний склад питної води та ґрунту) вивчалися за даними звітів обласної санітарно-епідеміологічної станції, Держкомгідромету та Мінекобезпеки України. Всі отримані результати оброблялися статистично згідно з загальноприйнятими методиками з розрахунком середніх величин (М), їх похибок (m), ступеня (p) та критерію достовірності (t), коефіцієнтів парціальної (r) та множинної (R) кореляції, детермінації (D) та критерію Фішера (F) [5, 6].
Результати та їх обговорення. Встановлено, що локалізації новоутворень, які вивчалися, мають свої специфічні особливості вікової динаміки.
Рак губи практично не зустрічається в дитячому віці (0-14 років). Зі збільшенням віку частота виникнення пухлин цієї локалізації прогресивно зростає, досягаючи максимуму в жінок і чоловіків у найстарішій віковій групі (старіше 85 років) - 12,9о/оооо, тобто більше, ніж максимальний показник у жінок у 3,9 рази). У молодших вікових групах (до 35 років) захворюваність на рак губи в осіб різної статі практично однакова і знаходиться в межах 0,1-0,2о/оооо. Починаючи з віку 35-39 років частота пухлин губи у чоловіків зростає в 4 рази, у жінок перший значний підйом захворюваності відбувається пізніше - у 40-44 роки і він не такий різкий (у 2 рази). Надалі й у чоловіків, і в жінок частота пухлин губи збільшується із середнім темпом зростання 140-150% від однієї п’ятирічної вікової групи до іншої. При цьому розходження між статями спостерігається лише в рівнях захворюваності: в усі вікові періоди вона значно (у 3-8 разів) вище в чоловіків у порівнянні з жінками. Критичними періодами різкого підвищення частоти новоутворень губи є наступні: у жінок - 40-44 роки, 60-64 роки і 75-79 років; у чоловіків - 35-39 років, 55-59 років, 60-64 роки, 85 років і більше; період 60-64 роки однаково небезпечний для обох статей.
Вікова динаміка захворюваності на рак порожнини рота і глотки в значній мірі подібна такій у пухлин губи. Різниця ж між ними полягає, однак, у тім, що пік частоти новоутворень цієї локалізації припадає не на найстаріший вік, а на період більш ранній: у жінок 75-79 років (6,9о/оооо), у чоловіків - ще раніше: у 60-64 роки (39,7о/оооо). Характерно, що й у цьому випадку захворюваність чоловіків значно (у 5,8 рази) вище, ніж у жінок. При цьому звертає на себе увагу більш істотне підвищення частоти новоутворень порожнини рота і глотки в чоловіків в усі вікові періоди над відповідними показниками для жінок: воно складає від 10,8 разів у віковій групі 45-49 років до 11,2 разів у групі 55-59 років. Критичними періодами для захворюваності на рак порожнини рота і глотки можна вважати в чоловіків 40-44 роки, 45-49 років і 60-64 роки, а у жінок - 30-34 роки і 60-64 роки. Таким чином, загальним критичним періодом для обох статей є вік 60-64 роки.
Частота виникнення раку губи має найбільший ступінь територіальної варіабельності серед усіх локалізацій пухлин: співвідношення мінімальних і максимальних рівнів даної патології дорівнює 3,4 у сільській місцевості і 2,9 у містах. При цьому спостерігається чітко виражена географічна закономірність захворюваності на рак губи в Донецькій області, яка полягає у її найбільш високих рівнях серед населення найпівденніших регіонів даної території. Так, серед сільських районів області вірогідно частіше (р<0,05) новоутворення губи виникають у жителів п’яти найпівденніших районів, які входять у Приморсько-степовий природно-ландшафтний регіон: у Мангуському (1-е місце: 8,1±0,5о/оооо), Володарському (2-е місце: 8,0±0,3о/оооо), Тельманівському (3-є місце: 7,9±0,3о/оооо), Новоазовському (4-е місце: 7,8±0,2о/оооо) і Волноваському (5-е місце: 7,7±0,2о/оооо). Менш часто (р<0,05), ніж у середньому по сільських районах (6,0±0,8 о/оооо), рак губи реєструється серед населення північних і центральних районів області - у Краснолиманському (останнє, 14-е місце: 2,4±0,2о/оооо), Слов’янському (13-е місце: 3,2±0,2о/оооо), Ясинуватському (12-е місце: 3,9±0,2о/оооо). Жителі міст вірогідно (р<0,05) частіше хворіють даною онкопатологією у Маріуполі (1-е місце: 7,6±0,3о/оооо), Дружківці (2-е місце: 6,5±0,4о/оооо), Добропіллі (3-є місце: 6,3±0,3о/оооо), Дзержинську (4-е місце: 6,1±0,2о/оооо), Костянтинівці (5-е місце: 5,8±0,2о/оооо), а також в Артемівську, Краматорську, Харцизьку (6-е-8-е місця відповідно); вірогідно (р<0,05) рідше - у Донецьку (19-е місце: 2,6±0,3о/оооо), Слов’янську (18-е місце: 2,8±0,3о/оооо) і Шахтарську (17-е місце: 3,0±0,4о/оооо).
Захворюваність населення Донецької області на рак губи ступінчасто знижувалася у всіх статево-вікових групах протягом усього періоду дослідження. При цьому, однак, звертає на себе увагу різкий піковий підйом частоти даної патології (збільшення у 2,5-10 разів) у 1986-1989 роках, відзначений абсолютно у всіх групах населення області. Найбільш виражене зменшення захворюваності раком губи спостерігалося в чоловіків у 40-49-літньому віці (у8 разів) і 50-59-літньому (у 2,4 рази), у жінок - у 40-49 років (у 6,1 рази), 50-59 років (у 1,5 рази) і 60-69 років (у 2,4 рази).
Захворюваність населення Донецької області на злоякісні пухлини ротової порожнини і глотки повільно і хвилеподібно підвищувалася з 1970 по 1988 р., коли вона досягла максимуму (11,6о/оооо). Потім вона поступово знизилася в 1,5 рази і стабілізувалася на рівні, що перевищує значення 70-х років у 3 рази. Подібна хронодинаміка сформувалася в основному за рахунок двох старших вікових груп чоловіків - 50-59 і 60-69 років, для яких характерна виражена тенденція збільшення частоти раку ротової порожнини і глотки, особливо в період з 1987 по 1988 р., коли ця патологія виросла у 3 рази. У молодих вікових групах чоловіків (до 29 років і 30-39 років) відзначене зниження захворюваності пухлинами даної локалізації, але через великі амплітуди коливань і низьку частоту раку ці часові тренди не можуть вважатися достовірними. Захворюваність жінок на рак ротової порожнини і глотки дуже низька, досить стабільна і з 90-х років має виражену динаміку зниження.
За допомогою дисперсійного аналізу були виявлені ті клімато-географічні та геогідрохімічні фактори, що найбільшою мірою і вірогідно впливають на частоту виникнення злоякісних новоутворень губи. Установлено, що найбільш істотний вплив на рівні захворюваності населення Донецької області на рак губи здійснюють наступні фактори: тривалість сонячного освітлення, сумарна сонячна радіація, пряма і сумарна еритемна ультрафіолетова радіація області В, середня швидкість вітру по сезонах року, частота суховійних вітрів і середньорічна кількість атмосферних опадів; на захворюваність на рак порожнини рота і глотки: загальна мінералізація (сухий залишок), загальна жорсткість, вміст у питній воді хлоридів, сульфатів, кальцію, магнію і кобальту, а також жорсткість концентрації рухливих форм цинку, магнію і кобальту в ґрунті.
Відібрані у процесі дисперсійного аналізу природні фактори і локалізації злоякісних пухлин були піддані множинному кореляційно-регресійному аналізу з обчисленням множинних, парних і парціальних коефіцієнтів кореляції і детермінації, їхніх помилок, а також з розрахунком рівнянь множинної регресії і їхніх бета-коефіцієнтів (з помилками). Результати цих досліджень наведені в табл. 1-3.
Таблиця 1. Вплив природних кліматичних факторів на частоту виникнення злоякісних пухлин губи
| Статистичні коефіцієнти | Тривалість сонячного освітлення x1 | Сумарна сонячна радіація x2 | Сумарна еритемна УФ радіація області В x3 | Середня швидкість вітру x4 | Частота суховійних вітрів x5 | Кількість атмосферних опадів x6 |
| КПК | +0,781 | +0,812 | +0,896 | +0,941 | +0,726 | -0,818 |
| Д, % | 60,99 | 65,93 | 80,28 | 88,55 | 52,71 | 66,91 |
| t | 4,824 | 4,986 | 9,325 | 10,367 | 3,215 | 7,655 |
| P | <0,001 | <0,001 | <0,001 | <0,001 | <0,01 | <0,001 |
| R | 0,986 | |||||
| Rmin | Rmin=0,532 (p<0,05) | |||||
| DR, % | 97,22 | |||||
| Рівняння регресії | y=0,132x1+0,135x2+0,149x3+0,157x4+0,121x5-0,136x6 | |||||
| Fобч. /Fтабл. | 3,89 (2,39) | |||||
| ti | t1=3,98; t2=4,16; t3=4,35; t4=6,19; t5=2,18; t6=3,98 | |||||
Як видно з табл. 1, при умовному виключенні впливу всіх інших факторів, досліджуваний детермінаційний комплекс (сонячна радіація, вітровий режим і вологість атмосферного повітря) обумовлює до 97,22% територіальної варіабельності первинної онкопатології губи. Можна констатувати, що для раку губи факторами онкоризику є інтенсивна сонячна радіація, висока швидкість вітру і частота суховійних вітрів, а фактором антиризику - достатнє зволоження (велика кількість атмосферних опадів).
Захворюваність населення на рак губи також значною мірою залежить від інтенсивності геліофізичних факторів, причому перше місце за значущістю посідає сумарна еритемна ультрафіолетова радіація області В (КПК=+0,896; Д=80,28%), трохи менша патологічна значущість належить тривалості сонячного сяйва (КПК=+0,812; Д=65,93%). Відмітною рисою детермінації частоти раку губи природно-кліматичними факторами є набагато більша, у порівнянні з пухлинами шкіри, значущість вітрового режиму і ступеня зволоження. Найбільший ступінь патологічної значущості у формуванні даної онкопатології належить високій швидкості вітру (КПК=+0,941; Д=88,55%), трохи менший, але значно вагоміший, у порівнянні з новоутвореннями шкіри, - частоті суховійних вітрів (КПК=+0,726; Д=52,71%). У той же час оптимальне зволоження виступає в цьому випадку більш вираженим фактором антиризику пухлин губи: КПК= -0,818; Д=66,91%. Виявлені особливості детермінації раку губи пояснюється тим, що для генези цієї патології першочергове значення мають тріщини й інші мікроушкодження слизової оболонки губ, що виникають, у тому числі, від дії сильного вітру у сполученні з високою запиленістю і сухістю атмосферного повітря. Ультрафіолетова еритемна радіація є, очевидно, вторинним патогенетичним фактором, що прискорює канцерогенез.
Для підтвердження результатів множинного кореляційно-регресійного аналізу був проведений порівняльний аналіз захворюваності населення злоякісними новоутвореннями шкіри і губи у сполучених групах територій, що мають подібні параметри природно-екологічного і соціально-економічного середовища, але розрізняються за геліофізичними, вітровими факторами і режимом зволоження.
Звертає на себе увагу чітко виражена закономірність: частота раку губи вірогідно (р<0,05) вище серед жителів найбільш південного регіону Донецької області - Приморсько-степового природно-ландшафтного району порівняно з іншими регіонами і середньообласними показниками. Природно-кліматичними особливостями даного району є не тільки найбільша тривалість сонячного сяйва (2100-2300 годин на рік), сумарна сонячна радіація (більш 115 ккал/см2), пряма (більш 40 ер/годину/м2/рік) і сумарна (більш 270 ер/годину/м2/рік) ультрафіолетова радіація області В, тобто максимальний ступінь прояву факторів онкоризику, але й мінімальний ступінь виразності кліматичних факторів антиризику - найбільша швидкість вітру як узимку (8-9 м/с), так і влітку (6-7 м/с), найчастіша повторюваність суховійних вітрів (18-24 дні на рік) і найменша кількість атмосферних опадів (250-400 мм/рік).
У зв’язку з вищевикладеним є закономірним і обґрунтованим статистично високо достовірне перевищення захворюваності а рак губи населення Приморсько-степового району над відповідними показниками Північно-степового - у 1,8 рази (t=5,1, р<0,001).
Крім цього звертає на себе увагу те, що практично у всіх природно-ландшафтних районах захворюваність населення, яке проживає в зоні інтенсивної техногенної діяльності (I-а зона), вище, ніж у зоні низької антропопресії (II зона), що свідчить про можливу роль екологічних факторів у формуванні онкологічної патології шкіри і губи.
Закономірності просторового розподілу даної патології виявлені в результаті медико-картографічного аналізу.
Аналізуючи і зіставляючи між собою ці картограми, можна виділити на території Донецької області регіони, контрастні за частотою виникнення досліджуваної онкопатології. Так, до територій підвищеного ризику виникнення злоякісних новоутворень губи, пов’язаного з впливом природно-кліматичних факторів, відносяться міста Маріуполь, Краматорськ, Добропілля, Сніжне, Дружківка, Торез, Артемівськ, Красноармійськ, Донецьк і Макіївка, Мангуський, Володарський, Новоазовський, Тельманівський, Старобешівський, Волноваський, Мар’їнський сільські райони. Для цих територій характерна найбільша кількість посушливих днів на рік, днів з міждобовою мінливістю відносної вологості повітря на 20% і більше, найменша кількість похмурих днів, найбільша кількість днів на рік з високою швидкістю вітру - більше 10 м/с і найбільший ступінь патогенності погоди за комплексом метеофакторів.
Навпаки, там, де ці фактори виражені в найменшому ступені - в основному на півночі області - знаходяться і райони зі стійко низькою захворюваністю населення злоякісними новоутвореннями шкіри і губи. Територіями з вірогідно (р<0,05) найбільш низьким багаторічним рівнем даної патології є сільські райони - Краснолиманський, Слов’янський, Олександрівський, Великоновосілківський і Ясинуватський, а також міста Слов’янськ, Селідове, Шахтарськ і Дебальцеве.
Крім кліматогеографічних факторів, важлива роль у формуванні онкологічної захворюваності населення, за даними деяких авторів, належить природному хімічному складу ґрунтів і питної води.
Проведений у цій роботі детермінаційний аналіз дозволив установити, що найбільшою мірою природні особливості хімічного складу ґрунту і води впливають на рівень захворюваності населення Донецької області на рак ротової порожнини і глотки. У зв’язку з цим, був здійснений множинний кореляційно-регресійний аналіз з метою встановлення сили і напрямку цього взаємозв’язку. Результати даного аналізу представлені в табл. 2 і 3.
Дані, наведені в табл. 2 і 3, свідчать про те, що в цілому гідрохімічні фактори природного середовища дужче впливають на захворюваність населення на злоякісні пухлини ротової порожнини і глотки, ніж геохімічні фактори. Особливості природного хімічного складу питної води обумовлюють (при умовному виключенні інших детермінант) на 37,7% територіальну варіабельність раку порожнини рота і глотки, у той час як геохімічні фактори - на 26,11 %.
Таблиця 2. Вплив природних гідрохімічних факторів на частоту виникнення злоякісних пухлин ротової порожнини і глотки
| Статистичні коефіцієнти | Загальна мінералізація x1 | Хлориди x2 | Сульфати x3 | Zn x4 | Ca x5 | Mg x6 |
| КПК | +0,631 | +0,528 | +0,639 | -0,542 | +0,643 | -0,755 |
| D, % | 39,82 | 27,88 | 19,27 | 29,38 | 41,34 | 57,00 |
| t | 4,012 | 3,211 | 2,305 | 2,865 | 4,116 | 4,523 |
| P | <0,01 | <0,01 | <0,05 | <0,05 | <0,01 | <0,01 |
| R | 0,614 | |||||
| Rmin | 0,421 (p<0,05) | |||||
| DR, % | 37,70 | |||||
| Рівняння регресії | y=0,105x1+0,088x2+0,073x3-0,090x4+0,107x5-0,126x6 | |||||
| Fобч. /Fтабл. | 2,56 (2,17) | |||||
| ti | t1=2,59; t2=2,41; t3=2,25; t4=2,51; t5=2,66; t6=2,98 | |||||
Таблиця 3. Вплив природних геохімічних факторів на частоту виникнення злоякісних пухлин ротової порожнини і глотки
| | Co x1 | Mox2 | Cu x3 | Znx4 | Mgx5 | Cax6 |
| КПК | +0,418 | -0,705 | +0,823 | -0,506 | -0,326 | +0,642 |
| D, % | 17,47 | 49,70 | 67,73 | 25,60 | 10,63 | 41,22 |
| t | 2,19 | 4,46 | 5,27 | 2,87 | 1,89 | 3,69 |
| P | <0,05 | <0,01 | <0,001 | <0,05 | >0,05 | <0,01 |
| R | 0,511 | |||||
| Rmin | 0,415 (p<0,05) | |||||
| DR, % | 26,11 | |||||
| Рівняння регресії | y=0,069x1-0,118x2+0,137x3-0,084x4-0,054x5+0,107x6 | |||||
| Fобч. /Fтабл. | 3,18 (2,43) | |||||
| ti | t1=2,64; t2=3,28; t3=6,19; t4=3,11; t5=1,75; t6=3,28 | |||||
За допомогою дисперсійного аналізу раніше було встановлено, що найбільш значущими факторами, що детермінують частоту злоякісних новоутворень ротової порожнини і глотки, у природному гідрохімічному комплексі є такі: загальна мінералізація питної води, кількість у ній хлоридів, сульфатів, цинку, кальцію і магнію; у природному геохімічному комплексі - вміст у ґрунті кобальту, молібдену, міді, цинку, магнію і кальцію. Проведений множинний кореляційний аналіз дозволив оцінити силу і напрямок зв’язку наведених вище факторів з частотою виникнення раку вищевказаної локалізацій.
Злоякісні новоутворення верхніх відділів шлунково-кишкового тракту (ротова порожнина і глотка, стравохід) детерміновані геогідрохімічними факторами природного середовища в меншому ступені, ніж рак шлунка, але в більшому, ніж пухлини дистальних відділів ШКТ (ободова і пряма кишка). При цьому, на відміну від раку шлунка і прямої кишки, такі геогідрохімічні фактори, як загальна мінералізація, хлориди і сульфати питної води, кобальт, що містяться в ґрунті, виступають у даному випадку в ролі факторів онкоризику. Найбільша роль серед них належить загальній мінералізації води (КПК=+0,631) і концентрації в ній хлоридів (КПК=+0,528).
Значення кобальту ґрунту менше - КПК=+0,418, Д=17,47%. Крім цього, загальними факторами онкоризику є високі концентрації кальцію у воді (КПК=+0,643) і ґрунті (КПК=+0,589-0,642), міді (КПК=+0,705-0,823) у ґрунті. Факторами антиризику, крім згаданих раніше, є також цинк води (КПК= -0,498) і ґрунту (КПК= -0,425), магній води (КПК= -0,755) і ґрунту (КПК= -0,305-0,326), а також молібден води (КПК= -0,619).
Встановлені закономірності впливу природних гідрогеохімічних факторів на частоту онкологічної патології ротової порожнини і глотки були підтверджені результатами порівняльного аналізу захворюваності населення трьох груп територій, сполучених за соціально-економічними і антропогенно-екологічними факторами (усі вони були сільськими районами, розташованими у II зоні («низької» антропопресії), але такими, що розрізняються за рівнем вмісту природних факторів ризику і антиризику в ґрунті і питній воді. Були сформовані три групи територій, кожна з яких містить у собі два сільських райони: 1-а група (максимальний рівень вмісту факторів ризику) - Новоазовський і Тельманівський райони, що входять до складу Приморсько-степового природно-ландшафтного району; 2-а група (середній рівень вмісту факторів ризику) - Великоновосілківський і Олександрівський райони, що входять до складу різних ландшафтних регіонів, але утворюють одну геогідрохімічну зону; 3-я група (мінімальний рівень вмісту факторів ризику) - Краснолиманський і Слов’янський райони, що входять до складу Північно-степового природно-ландшафтного району.
Порівняльний аналіз рівнів первинної онкопатології ротової порожнини і глотки у населення груп територій, контрастних за вмістом природних факторів ризику й антиризику, показав їх статистично достовірне (р<0,001, р<0,05) розходження між собою. При цьому була підтверджена виявлена раніше при статистичному аналізі закономірність: частота виникнення злоякісних новоутворень ротової порожнини і глотки вище серед населення, що споживає високомінералізовану питну воду з максимальним вмістом у ній хлоридів, сульфатів і кальцію, мінімальним - цинку і магнію, а також проживаючого в зонах з підвищеною концентрацією у ґрунті рухливих форм міді і кальцію і зниженим вмістом молібдену, цинку і магнію.
Дані порівняльного аналізу сполучених груп були підтверджені при проведенні медико-картографічного аналізу.
При аналізі картограм просторового розподілу природних факторів ризику й антиризику пухлин ротової порожнини та глотки і зіставлення їх з картами первинної захворюваності на новоутворення даної локалізації були виявлені групи територій високого і низького ризику виникнення цієї патології. До регіонів підвищеного ризику виникнення раку ротової порожнини і глотки, пов’язаного з природними гідрогеохімічними факторами, відносяться міста Добропілля, Красноармійськ і Шахтарськ, Володарський, Мангуський, Новоазовський і Тельманівський сільські райони, а до зони низького ризику - Краснолиманський, Слов’янський, Олександрівський і Великоновосілківський сільські райони, міста Слов’янськ і Артемівськ.
Висновок
Таким чином, нами визначені довгострокові закономірності формування первинної онкопатології губи, ротової порожнини й глотки серед населення екокризового регіону України - Донецької області. Встановлені ключові зовнішньосередовищні детермінанти злоякісних новоутворень губи, ротової порожнини й глотки. Матеріали даного дослідження будуть в подальшому використані при обґрунтуванні і розробці онкопрофілактичних заходів серед населення Донецької області.
ЛІТЕРАТУРА
- Агарков В.И., Грищенко С.В., Грищенко В.П. Атлас гигиенических характеристик экологической среды Донецкой области. - Донецк: Донеччина, 2001.- 140 с.
- Білецька Е.М. Гігієнічна характеристика важких металів у навколишньому середовищі та їх вплив на репродуктивну функцію жінок: Авто реф. Дис. … д-ра мед. наук. - К., 1998. -30 с.
- Ванханен В.В., Ванханен В.Д. Учение о питании. - Донецк: Донеччина, 2000. -352 с.
- Гигиенические основы охраны продуктов питания от вредных химических веществ / Габович Р.Д., Припутина Л.С. -К.: Здоровье, 1987. -1248 с.
- Голяченко О.М., Сердюк А.М., Приходський О.О. Соціальна медицина, організація та економіка охорони здоров’я. -Тернопіль-Київ-Вінниця, 1997. -328 с.
- Гончарук Е.И., Вороненко Ю.В., Марценюк Н.И. Изучение влияния факторов окружающей среды на здоровье населения. -К., 1989. -203 с.
- Эпидемиология неинфекционных заболеваний / Вихерт А.М., Жданов В.С., Чаклин А.В. и др., под ред. Вихерта А.М., Чаклина А.В. / АМН СССР. -М.: Медицина, 1990. -272 с.
ББК 88.33
