С. П. Колотовкин Выполнение курсовой и диплом
| Вид материала | Диплом |
- Методические рекомендации по написанию курсовой работы, 95.34kb.
- Рекомендации по написанию Курсовой работы При выполнении данной Курсовой работы используйте, 80.88kb.
- Рекомендации по написанию Курсовой работы При выполнении данной Курсовой работы используйте, 92.33kb.
- Рекомендации по написанию Курсовой работы При выполнении данной Курсовой работы используйте, 296.76kb.
- Темы курсовых работ и задания на их выполнение утверждаются на заседании кафедры, 66.78kb.
- Оформляется отчёт о курсовой работе. Проводится защита курсовой работы, 33.31kb.
- Общие методические указания по выполнению курсовой работы по курсу «экономика энергетики», 458.85kb.
- Методические рекомендации по выполнению курсовой работы (для студентов озо, зо специальности, 117.09kb.
- Методические рекомендации по подготовке, написанию и оформлению курсовой работы 2007, 176.31kb.
- Методические указания для выполнения курсовой работы по дисциплине «финансовый менеджмент», 317.39kb.
Библиографические сведения о печатном издании приводят в установленной стандартами последовательности в объеме, необходимом для идентификации и разыскания оригинала этого издания В студенческих проектах, как правило, приводят только обязательные элементы библиографического описания.
Библиографические ссылки составляют под заголовком (индивидуальный автор) или под заглавием. Заголовок описания является первым элементом, обязательным при ссылках на произведения одного, двух и трех индивидуальных авторов. Если авторов больше трех, то в заголовке описания допускается приводить имена всех авторов или первых трех со словами: «и др.». Произведения четырех и более авторов, как правило, описывают под заглавием.
Библиографическая ссылка в зависимости от вида издания состоит из следующих элементов.
В ссылках на книги:
авторского заголовка (сведения об авторе);
основного заглавия (название работы);
сведений об авторстве (если авторов более трех);
сведений о повторности издания:
места издания;
издательства;
года издания;
порядкового номера тома, выписка или части;
количества страниц.
Примеры
1. Баранов С.И. Синтез микропрограммных автоматов (граф-схема и автоматы) - 2-е изд., перераб. и доп. - Л.: Энергия. Ленинградское отделение, 1979. - 232 с.
2.Обратные кинематические задачи взрывной сейсмологии (А.С. Алексеев,
Э.Н. Бессонова, Н.Н Матвеева и др.) -М.: Наука, 1979. - 230 с.
В ссылках на статьи:
авторского заголовка статьи (сведения об авторах);
основного заглавия статьи;
сведений об авторстве (если авторов более трех);
сведений об издании, в котором помещена статья;
страниц, на которых помещена статья.
Примеры:
1. Дементьева М. Л. Изучение спроса за рубежом. В кн.: Дементьева М. Л., Ходорова З.С. Спрос и его изучение в общественном питании. 2-е изд., перераб. - М.: Наука, 1976, с. 73-86.
2. Адян С.И. О простоте периодических произведений групп. - Докл. АН СССР, 1975, т. 241, № 4, с. 745-748.
В ссылках на патентную документацию:
сокращенного наименования охранного документа (а. с., Пат.);
номера охранного документа;
названия страны, выдавшей документ;
основного заглавия;
сведения об авторах;
даты публикации.
Пример:
А.с. 436350 (СССР). Двоичный сумматор (Ю.Н. Корнеев, С.В. Пискунов, С.Н. Сергеев). Опубл. в Б. И., 1974, № 26.
В ссылках на научные отчеты:
названия отчета;
организация (учреждение) издателя;
руководителя темы;
государственной регистрации;
места издания;
года издания;
количества страниц.
Пример:
Разработка и исследование процесса. Отчет (МХТИ имени Д. И. Менделеева). Руководитель темы С.М. Петров. - Г2593, Москва, 1982. - 85 с.
В список литературы не включают неопубликованные в открытой печати материалы отчетов, заявки на изобретения, конспекты лекций, а также источники, на которые в тексте нет прямых ссылок.
Библиографическое описание должно составляться непосредственно по описываемому изданию. Это обеспечивает правильность и фактическую достоверность сведений. Источник сведений для описания - титульный лист или аннотация (для книг), рефераты статей и другие элементы издательского оформления.
Иностранная литература заносится в список литературы на том языке, на котором она издана, причем, заглавия приводятся полностью (без сокращений).
2.8.2 Ссылка на литературу
Ссылки в тексте на источники литературы указываются порядковым номером, выделенным двумя косыми чертами. Например: …. /1/. …. /2/ и т.п.
Последовательность номеров источников литературы (на странице «Литература») должна соответствовать последовательности ссылок в тексте ПЗ.
На все источники литературы, использованные в основном тексте ПЗ и приложениях должны быть ссылки.
2.9 Приложения
2.9.1 Оформление приложений
Приложения оформляют как продолжение ПЗ на последующих его листах и должны иметь общую с основным текстом нумерацию.
Каждое приложение следует начинать с новой страницы с указанием вверху слова
«Приложение», затем прописную букву русского или латинского алфавита по порядку, например «Приложение А» и отцентровать. Под словом «Приложение А» в круглых скобах пишется, начиная со строчной буквы слово «обязательное» для обязательного или слово «справочное» для информационного. После чего записывается заголовок и тоже центруется. Например:
Приложение А
(обязательное)
Схема структурная алгоритма "Автоматизация складского учета"
…….................................................................................................................................
.........................................................................................................................................
Не допускается использовать для нумерации приложений буквы: Ẽ, 3, Й, О, Ч, Ь, Ы, Ъ. Допускается использовать для нумерации приложений буквы латинского алфавита, кроме букв: I, O.
В случае полного использования букв русского и латинского алфавитов допускается обозначать приложения арабскими цифрами.
Если в документе одно приложение, оно обозначается "Приложение А".
ГОСТ 2.105—95
Приложения, как правило» выполняют на листах формата А 4. допускается оформлять приложения, на листах формата A3.
Все приложения должны быть перечислены в содержании с указанием их заголовка и номера страницы приложения.
В приложения включают чертежи форм (или ксерокопии) документов для входной и выходной информации, схемы алгоритмов и программ, текст программы (процедур) с комментариями, а также другие материалы по усмотрению разработчика.
При необходимости в приложения следует включать вспомогательный материал, необходимый для полноты отчета:
- промежуточные математические доказательства, формулы и расчеты;
- таблицы вспомогательных цифровых данных;
- иллюстрации вспомогательного характера;
- протоколы и акты испытаний.
2.9.2 Ссылки на приложения
В тексте документа на все приложения должны быть ссылки. Приложения располагают в порядке ссылок на них в тексте документа.
Примеры
1 Схема алгоритма программы приведена в приложении А
2 Текст программы приведен в приложении Б
3 Типовая форма карточки складского учета № М 17 приведена в приложении В
4 Расчеты выполнялись по форуле (Б.4)
5 Результаты расчетов приведены в таблице Д.7
6 Форма главного меню приведена на рисунке В.3
2.10 Нумерация страниц
2.10.1 Варианты установки номеров страниц
Нумерация страниц основной части ПЗ и приложений, входящих в состав этого документа, должна быть сквозная (от введения до последней страницы приложения). Листы ПЗ нумеруют арабскими цифрами.
Допустимы два варианта установки номеров страниц:
а) Компьютерный - по центру верхней части страницы
б) Ручной – правый-верхний угол страницы
Примечание - Если номера страниц проставляются вручную, то применять только черные чернила или черную пасту.
2.10.2 Начало нумерации страниц
Отсчет номеров страниц ПЗ начинается с титульного листа, а нумерация листов проставляется со второго листа введения и завершается на последнем листе приложения. Например:
ПЗ содержит 51 лист, исключая обложку, тогда титульный лист – лист 1; задание – лист 2; содержание – лист 3; первая страница введения – лист 4; вторая страница введения – лист 5, следовательно нумерация проставляется с цифры 5, а завершается числом 50 (51- 1 (это последняя страница обложки) = 50).
2.10.3 Ссылка на номер страницы
Примеры
1 Состав реквизитов базы данных рассмотрен на с. 15
2 Размерность, тип данных и связи таблиц приведены в рабочих бланках с. 7-10.
3 Обозначения условные графические
3.1 Символы
Обозначения условные графические (ГОСТ 19.003—80) должны соответствовать указанному в таблице.
| Символ | Наименование | Назначение |
![]() | Пуск - останов | Начало, конец выполнения процедуры, программы |
![]() | Процесс | Выполнение операции или группы операций, в результате которых изменяется значение, форма представления или расположение данных |
![]() | Решение | Выбор направления выполнения алгоритма, программы в зависимости от переменных условий |
![]() | Ввод-Вывод | Преобразование данных для обработки (ввода) или отображения результатов обработки (вывода) |
![]() | Документ | Вывод результата обработки на бумагу |
![]() | Ручной ввод | Ввод данных вручную с клавиатуры |
![]() | Модификация | Выполнение операций, меняющих команды или группы команд, изменяющих программу |
![]() | Предопределенный процесс | Использование ранее созданных и отдельно описанных алгоритмов и программ (процедур) |
![]() | Дисплей | Вывод данных на дисплей |
![]() | Магнитный диск | Чтение, запись данных на ГД или ЖД |
![]() | Межстраничный соединитель | Указывает на связь между частями алгоритмов и программ, находящихся на разных листах |
![]() | Соединитель | Связь между прерванными линиями потока, связывающими символы алгоритма, программы |
![]() | Комментарий | Связь между символом схемы и пояснением |
3.2 Размеры символов
Для обязательных и рекомендуемых символов допускается выбирать размеры:
А – 10, 15, 20 мм.
В – 20, 30, 40 мм.,
где А – высота символа;
В – ширина символа.
Примечание – При выполнении схем компьютерным способом, размеры символов округляются до значений, определяемых техническими характеристиками ПЭВМ.
4 Правила выполнения схем алгоритмов и программ
4.1 Область применения
Настоящий стандарт (Правила выполнения схем алгоритмов и программ ГОСТ 19.002-80) распространяется на алгоритмы и программы систем программного обеспечения вычислительных машин, комплексов и систем независимо от их назначения и области применения и устанавливает правила выполнения схем алгоритмов и программ, выполняемых автоматическим способом или от руки.
4.2 Форматы листов для выполнения схем алгоритмов и программ
При выполнении схем алгоритмов и программ отдельные функции алгоритмов и программ, с учетом степени их детализации, отображаются в виде условных графических обозначений — символов по ГОСТ 19.003—80. Схемы должны быть выполнены на форматах А4, А3, А2, А1 (по ГОСТ 2.301 —68.)
4.3 Деление листа на зоны
Для облегчения вычерчивания и нахождения на схеме символов рекомендуется поле листа разбивать на зоны. Размеры зон устанавливают с учетом минимальных размеров символов, изображенных на данном листе. Допускается один символ размещать в двух и более зонах, если размер символа превышает размер зоны.
Координаты зоны проставляют:
а) по горизонтали - арабскими цифрами слева направо в верхней части листа;
б) по вертикали - прописными буквами латинского алфавита сверху вниз в левой части листа.
Координаты зон в виде сочетания букв и цифр присваивают символам, вписанным в поля этих зон, например Al, A2, A3, B1, B2, ВЗ и т. д.
При выполнении схем от руки, если поле листа не разбито на зоны, символам присваивают порядковые номера.
В пределах одной схемы, при выполнении ее от руки, допускается применять не более двух смежных размеров ряда чисел” кратных 5.
Для ускорения выполнения схем от руки рекомендуется использовать бланки с контуром прямоугольника внутри каждой зоны. Контуры не должны воспроизводиться при изготовлении копии.
4.4 Расположение символов на схеме
Расположение символов на схеме должно соответствовать требованиям ГОСТ 19.003—80. Исключение составляют обязательные символы “Линия потока”, “Канал связи”, “Комментарий” и рекомендуемые символы “Межстраничный соединитель”, “Транспортирование носителей”, “Материальный поток”.
4.5 Линии потока
Линии потока должны быть параллельны линиям внешней рамки схемы.
Направления линии потока сверху вниз и слева направо принимают за основные и, если линии потока не имеют изломов, стрелками можно не обозначать. В остальных случаях направление линии потока обозначать стрелкой обязательно.
Расстояние между параллельными линиями потока должно быть не менее 3 мм, между остальными символами схемы — не менее 5 мм.
4.6 Записи внутри символа
Записи внутри символа или рядом с ним должны выполняться машинописью с одним интервалом или чертежным шрифтом по ГОСТ 2.304—68.
Записи внутри символа или рядом с ним должны быть краткими. Сокращения слов и абревиатуры, за исключением установленных государственными стандартами, должны быть расшифрованы в нижней части поля схемы или в документе, к которому эта схема относится.
Для удобства детализации программы должны быть использованы символы «Пуск - останов», «Ручной ввод», «Ввод-вывод», «Процесс», «Решение», «Модификация», «Дисплей», «Предопределенный процесс», «Магнитный диск», «Межстраничный соединитель», «Соединитель», «Комментарий» и при этом внутри символов на расстоянии не менее 0,25 а проводят тонкую линию (размер а по ГОСТ 19.003—80).
Записи внутри символа должны быть представлены так, чтобы их можно было читать слева направо и сверху вниз, независимо от направления потока (черт. 1). Вид «а» должен быть прочитан как вид «б».

Черт. 1
4.7 Идентификатор символа
В схеме символу может быть присвоен идентификатор, который должен помещаться слева над символом (например для ссылки в других частях документации) (черт. 2).

Черт. 2
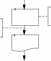
4.8 Информация о символе
В схемах допускается краткая информация о символе (описание, уточнение или другие перекрестные ссылки для более полного понимания функции данной части системы). Описание символа должно помещаться справа над символом (черт.3).

Черт. 3
5 Правила применения символов
Применение символов (ГОСТ 19.002—80) должно соответствовать изложенным ниже правилам.
5.1 Расстановка порядковых номеров символов
Порядковые номера проставляют слева в верхней части символа в разрыве его контура.
Последовательность расстановки номеров символов подчиняется правилу: «Слева – Направо, Сверху - Вниз». В приведенном примере фрагмента схемы 7, 8, 9 - порядковые номера символов на схеме.

Рисунок 5.1 – Фрагмент схемы алгоритма программы
5.2 Комментарий
Применяется, если пояснение не помещается внутри символа (для пояснения характера параметров, особенностей процесса, линий потока и т.п.).
Комментарий записывают параллельно основной надписи.
Комментарий помещают в свободном месте схемы алгоритма на данном листе и соединяют с поясняемым символом

Рисунок 5.2 – Фрагмент схемы алгоритма программы
5.3 Связь линий потока на одном листе
Для связыввания линий потока расположенны на одной стороне листа применяют символ «Соединитель»
При большой насыщенности схемы символами отдельные линии потока между удаленными друг от друга символами допускается обрывать. При этом в конце (в начале) обрыва должен быть помещен символ "Соединитель", а внутри символа записывается буква или буква и цифра

Рисунок 5.3 – Фрагмент схемы алгоритма программы
5.4 Связь линий потока на разных листах
Для связыввания линий потока расположенны на разных листах применяют символ «Межстраничный соединитель»
Числитель - номер листа.
Знаменатель-номер символа.
Связываемые линией потока символы находятся на разных листах

Лист 010 Лист 012
Рисунок 5.4 – Фрагменты схемы алгоритма программы
А3 – определяет зону на данном листе, где расположен символ «Комментарии». 010Е3 – определяет номер листа и зону расположения, связываемую с символом Е3.
В случае связи некоторого символа со многими другими символами, расположенными на разных листах, на входе этого символа помещают один символ «Межстраничный соединитель», внутри которого на первой строке помещают знак #, а на второй строке – координаты символа «Комментарий». Внутри символа «Комментарий» указывают номера страниц и координаты символов, связанных с поясняемым символом.

Рисунок 5.5 – Фрагмент схемы алгоритма программы
5.5 Вызов процедуры
Детализация некоторой программы (процедуры), представленной в данной схеме одним символом «Предопределенный процесс».

Рисунок 5.6 – Фрагменты схемы алгоритма программы
Литература
1 ГОСТ 2.105-95. ЕСКД. Общие требования к текстовым документам
2 ГОСТ 7.32-91. ЕСКД. Отчет о научно-исследовательской работе. Общие требования и правила оформления
3 ГОСТ 19.001-77. ЕСПД. Общие положения
4 ГОСТ 19.002-80. ЕСПД. Схемы алгоритмов и программ. Правила выполнения
5 ГОСТ 19.003-80. ЕСПД. Схемы алгоритмов и программ. Обозначения условные графические
6 ГОСТ 19.004-80. ЕСПД. Термины и определения
7 ГОСТ 19.105-78. ЕСПД. Общие требования к программным документам
8 ГОСТ 19.106-77. ЕСПД. Требования к программным документам, выполненным печатным способом
9 ГОСТ 7.1-76. Библиографическое описание произведений печати













