«Сопротивление материалов»
| Вид материала | Документы |
- Сопротивление материалов, 300.59kb.
- Рабочая программа по дисциплине сд. 02 «Химическое сопротивление материалов и защита, 129.47kb.
- Конспект лекций по сопротивлению материалов Владивосток 2004, 268.1kb.
- Учебная работа, 16.77kb.
- Формулы электротехники, 34.75kb.
- Сопротивление материалов, 63.59kb.
- Аннотация рабочей программы «сопротивление материалов» По направлению 150100. 62 Технологические, 91.96kb.
- Примерная программа дисциплины сопротивление материалов Рекомендуется Минобразованием, 250.16kb.
- Лекций: 34 Практических: 18 Лабораторных: 0 sm. 5 Сопротивление материалов и основы, 22.99kb.
- Место нанотехнологий в современном обществе, 57.47kb.
РАЗДЕЛ «Сопротивление материалов»
- Основные положения. Основные гипотезы и допущения. Виды нагрузок и основных деформаций.
Сопротивление материалов – есть наука о прочности и деформации тел, элементов машин и сооружений. Прочностью – называется способность материала конструкций и их элементов сопротивляться действию внешних сил не разрушаясь. Сопромат рассматривает методы расчетов элементов конструкций на прочность, жесткость и устойчивость. Расчеты на прочность дает возможность определить размеры и формы детали выдерживающих заданную нагрузку при наименьшем затрате материала. Под жесткостью понимается способность тела или конструкции сопротивляться образованию деформации. Расчеты на жесткость гарантируют что изменение формы и размеров конструкции и их элементов не превысят допускаемых норм. Под устойчивостью понимается способность конструкции сопротивляться усилиям, которые пытаются вывести ее из состояния равновесия. Расчеты на устойчивость предотвращают возможность внезапной потери устойчивости и искривления длин деталей. На практике в большинстве случаев приходиться иметь дело с конструкциями сложной формы, но их можно представить себе состоящих из отдельных простых элементов ( брусьев, массивов). Основным расчетным материалом сопромата является брус, то есть тело поперечные размеры которого малы по сравнению с длиной. Способность материала устранять деформацию после прекращения действия внешних сил называется упругостью. Основные гипотезы и допущения: 1) гипотеза о отсутствии первоначальных внутренних усилий – предположим что если нет причин вызывающих деформацию тела (нагрузки) то во всех его точках все его усилия равны 0, таким образом не принимается во внимание силы взаимодействия между частями и загруженного тела. 2) допущение об односторонности материала, физика – механические свойства тела могут не одинаковы в разных точках. 3) допущение о непрерывности материала, материал любого тела имеет непрерывное строение и представляет собой сплошную среду. 4) допущение об изотропности материала, предположим, что материал тела во всех направлениях обладает одинаковыми свойствами. Материал имеющий не одинаковые свойства в разных направлениях называют анизотропными (древесина). 5) допущение об идеальной упругости, предположим что в известных пределах нагружение материала обладает идеальной упругостью, то есть после снятия нагрузки деформация полностью исчезает.
Изменение линейных и угловых размеров тела называют соответственно линейной и угловой деформацией.1)допущение о малости перемещения или принцип начальных рамеров. 2) допущение о линейной деформации тел, перемещение точек и сечений упругого тела в известных пределах нагружен пропорционально силам вызываемые эти перемещения. 3) гипотеза плоских сечений. Виды нагрузок и основных дефонмаций: Поверхностные нагрузки бывают сосредоточенными или распределенными в зависимости от характера действия нагрузки подразделяется на статистические и динамические. Статистическими называются нагрузки числовое значение, направление и место которых остается постоянными иди меняется медленно и не значительно. Динамическими называются нагрузки характеризующиеся быстрым сцеплением во времени их направления или месте положения. Основные виды деформаций: 1) растяжение – цепи; 2) сжатие – колонны; 3) сдвиг – заделки, шпонки. Деформацию сдвига доведенную до разрушения материала называют срезом. 4) Кручение 5)изгиб – балки, оси.
- Метод сечений. Напряжение.
Метод сечений заключается в том что тело мысленно рассекается плоскостью на 2 части, любая из которых отбрасывается и в замен ее к оставшемуся сечению прикладывают силы действующие до разреза, оставленную часть рассматривают как самостоятельное тело, находящееся в равновесии под действием внешних и приложенных к сечению внутренних сил. Согласно 3 му закону Ньютона внутренние силы, действующие в сечении оставшейся и отброшенной частей тела равны по модулю, но противоположны следовательно рассматриваем равновесие любой из 2 частей рассеченного тела мы получили одно и тоже значение внутренних сил. Рисунок страница 8 в лекциях.
- Виды деформаций. Закон Гука при растяжении и сжатии.
При разных деформациях поперечного сечения бруса возникают различные внутренние факторы:
1)в сечении возникает только продольная сила N, в этом случае эта деформация – растяжение если сила направлена от сечения.2) в чечении возникает только поперечная сила Q в этом случае эта деформация сдвига.3) в сечении возникает только крутящий момент Т в этом случае это деформация кручения.4) в сечении возникает изгибающий момент М в этом случае это деформация чистого изгиба, если в сечении одновременно возникает и М и Q то изгиб поперечный.
Закон Гука справедлив лишь в определенных пределах нагрузки. Нормальное напряжение прямо пропорционально относительному удлинению или укорочению. Е – коэффициент пропорциональности (модуль продольной упругости) характеризует жесткость материала, т.е. способность сопротивляться упругим деформациям растяжения или сжатия.

- Напряжение и продольная деформация при растяжении и сжатии. Расчеты на прочность при растяжении и сжатии.
В результате проведения механических испытаний установили предельное напряжение, при котором происходит нарушение работы или разрушение материала детали конструкции. Для обеспечения прочности детали необходимо чтобы возникающее в них в процессе эксплуатации напряжения были меньше предельных.
коэффициент запаса прочности.
;S – называют допускаемым коэффициентом прочности. Он зависит от свойств, качества и однородности материала. Для хрупких S=2 – 5, для древесины 8 – 12.
допускаемое напряжение.
условие прочности при растяжении и сжатии. Растяжение или сжатие называют такой вид деформации, при котором в любом сечении бруса возникает только продольная сила. Брусья с прямолинейной осью ( прямые брусья) работающие на растяжение или сжатие называют стержнями. При растяжении справедлива гипотеза плоских сечении, то есть все волокна бруса удлиняются на одну и ту же величину. При растяжении и сжатии в поперечных сечениях бруса возникают только нормальные напряжения равномерно распределенные по сечению.
форма сечения на напряжение не влияет. Во всех сечениях бруса напряжение распределено равномерно и в сечении где к брусу вдоль оси приложена сосредоточенная сила значение продольной силы и напряжения меняется скачкообразно.
относительное удлинение. - Физические основы прочности. Диаграмма растяжения низкоуглеродистой стали.
График… страница 14 в лекциях. Описываешь : 3 прямые параллельные друг другу пунктиром под углом 30 градусов. Треугольник небольшой около начала координат. Точки расскажи где какие.
называют то наибольшее напряжение до которого деформации растут пропорционально нагрузке, то есть справедлив закон Гука.точка А соответствует другому пределу, который называется пределом упругости.Напряжение упругости это напряжение до которого деформации практически остаются упругими.
С-предел текучести – напряжение при котором в образце появляется заметное удлинение без повышения нагрузки. В – временное сопротивление или предел прочности.
временным сопротивление называют условное напряжение равное отношению максимальной силы, которую выдерживает образец к первоначальной площадке поперечного сечения, при достижении временного сопротивления, на растягиваемом образце образуется сужение – шейка, то есть начинается разрушение образца. Говориться об условном напряжении так как в сечении шейки напряжение будет большим. М- соответсввет напряжению возник. В наименьшем поперечном сечении в момент разрыва – напряжение разрыва.
.- Статически неопределимые стержневые системы. Уравнение совместности перемещений.
Статически неопределимые системы – это упругие стержневые системы (конструкции), в которых количество неизвестных внутренних усилий и ре-акций опор больше числа уравнений статики, возможных для этой системы.
Кроме уравнений статики для расчета таких систем (конструкций) приходится привлекать дополнительные условия, описывающие деформацию элементов данной системы. Их условно называют уравнениями перемещений или уравнениями совместности деформаций (а сам метод решения иногда называют методом сравнения деформаций).
Степень статической неопределимости системы – это разность между чис-лом неизвестных и числом независимых уравнений равновесия, которые можно составить для данной системы.
Количество дополнительных уравнений перемещений, необходимых для рас-крытия статической неопределимости, должно быть равно степени статиче-ской неопределимости системы.
Уравнения совместности перемещений называются каноническими уравнениями метода сил, поскольку они записываются по определенному закону (канону). Эти уравнения, количество которых равно числу лишних неизвестных, совместно с уравнениями равновесия позволяют раскрыть статическую неопределимость системы, т. е. определить значения лишних неизвестных.
- Формула для касательных напряжений при кручении. Деформация при кручении. Расчеты на прочность и жесткость при кручении.
Кручением называется такой вид деформации, при котором в поперечном сечении стержня возникает лишь один силовой фактор - крутящий момент Мz. Крутящий момент по определению равен сумме моментов внутренних сил относительно продольной оси стержня Oz. Нормальные силы, параллельные оси Oz, вклада в крутящий момент не вносят.
Как видно из формулы, сдвиги и касательные напряжения пропорциональны расстояний от оси стержня. Обратим внимание на структурные аналогии формул для нормальных напряжений чистого изгиба и касательных напряжений кручения. Гипотезы, принимаемые при расчете на кручение: 1) сечения, плоские до деформации, остаются плоскими и после деформации (гипотеза Бернул-ли, гипотеза плоских сечений);
2) все радиусы данного сечения остаются прямы-ми (не искривляются) и поворачиваются на один и тот же угол ϕ, то есть каждое сечение поворачива-ется относительно оси x как жесткий тонкий диск;
3) расстояния между сечениями при деформации не изменяются.
ри кручении расчеты на прочность также делятся на проектировочные и поверочные. В основе расчетов лежит условие прочности
где τmax - максимальное касательное напряжение в брусе, определяемое по вышеприведенным уравнениям в зависимости от формы сечения; [τ] - допускаемое касательное напряжение, равное части предельного напряжения для материала детали - предела прочности τв или предела текучести τт. Коэффициент запаса прочности устанавливается из тех же соображений, что и при растяжении. Например, для вала полого круглого поперечного сечения, с внешним диаметром D и внутренним диаметром d, имеем
где α=d/D - коэффициент полости сечения.Условие жесткости такого вала при кручении имеет следующий вид:
где [φo] - допускаемый относительный угол закручивания- Статически неопределимые задачи при кручении
При кручении, как и при растяжении, могут встретиться статически неопределимые задачи, для решения которых к уравнениям равновесия статики должны быть добавлены уравнения совместности перемещений.
Нетрудно показать, что метод решения указанных задач при кручении и при растяжении один и тот же. Рассмотрим для примера брус, заделанный обоими концами в абсолютно жесткие стены (рис. 7.21). Отбросим заделки, заменив их действие неизвестными моментом M1 и M2. Уравнение совместности деформаций получим из условия равенства нулю угла закручивания в правой заделке:

,где Ip1=πd14/32, Ip2=πd24/32.
Крутящие моменты в сечениях бруса связаны следующим уравнением:
.

Решая совместно указанные уравнения относительно неизвестных моментов, получим:

.Угол закручивания сечения C определяется из уравнения
.

Эпюры крутящих моментов и углов закручивания представлены на рис. 7.21.

- Прямой поперечный изгиб балок. Чистый изгиб эпюры внутренних усилий при изгибе балок.
Чистым изгибом называется такой вид деформации при котором в любом поперечном сечении бруса возникают только изгибающий момент, деформация чистого изгиба будет если к брусу, плоскости проходящей через ось приложить 2 равные но противоположные по знаку пару сил. На изгиб работают балки, оси, валы. Будем рассматривать такие брусья у которых имеется по крайней мере 1 плоскость симметрии и плоскость действия нагрузок совпадает с ней, в этом случае деформация изгиба происходит в плоскости деформации внешних сил и изгиб называется прямым. Поперечный изгиб – изгиб, при котором в сечениях стержня кроме внутрен-него изгибающего момента возникает и поперечная сила . При чистом изгибе справедлива гипотеза о плоских сечениях. Волокна лежащие на выпуклой стороне растягиваются, лежащие на вогнутой стороне сжимаются на границе. Между ними лежит центральный слой волокон который только искривляется, не изменяя своей длины. При чистом изгибе в поперечных сечениях бруса возникают нормальные напряжения растяжения и сжатия неравномерно распределенные по сечению.
Анализ приведенных выше дифференциальных зависимостей при изгибе по-зволяет установить некоторые особенности (правила) построения эпюр изги-бающих моментов и поперечных сил:
а – на участках, где нет распределенной нагрузки q, эпюры Q ограничены прямыми, параллельными базе, а эпюры M – наклонными прямыми;
б – на участках, где к балке приложена распределенная нагрузка q, эпюры Q ограничены наклонными прямыми, а эпюры M – квадратичными параболами. При этом, если эпюру М строим «на растянутом волокне», то выпуклость па раболы будет направлена по направлению действия q, а экстремум будет расположен в сечении, где эпюра Q пересекает базовую линию;
в – в сечениях, где к балке прикладывается сосредоточенная сила на эпюре Q будут скачки на величину и в направлении данной силы, а на эпюре М – пе-регибы, острием направленные в направлении действия этой силы;
г – в сечениях, где к балке прикладывается сосредоточенный момент на эпю-ре Q изменений не будет, а на эпюре М – скачки на величину этого момента;
д – на участках, где Q>0, момент М возрастает, а на участках, где Q<0, мо-мент М убывает (см. рисунки а–г).

- Гипотезы изгиба. Формула для нормальных напряжений
Таких гипотез при изгибе три:
а – гипотеза плоских сечений (гипотеза Бернулли) – сечения плоские до деформации остаются пло-скими и после деформации, а лишь поворачиваются относительно некоторой линии, которая называется нейтральной осью сечения балки. При этом волокна балки, лежащие с одной стороны от ней-тральной оси будут растягиваться, а с другой – сжиматься; волокна, лежащие на нейтральной оси своей длины не изменяют;

б – гипотеза о постоянстве нормальных напряже-ний – напряжения, действующие на одинаковом расстоянии y от нейтральной оси, постоянны по ширине бруса;

в – гипотеза об отсутствии боковых давлений – со-седние продольные волокна не давят друг на друга.

Максимальные нормальные напряжения при изгибе найдем по формуле:
где Wz – осевой момент сопротивленияПри растяжении и сжатии в поперечных сечениях бруса возникают только нормальные напряжения равномерно распределенные по сечению.
форма сечения на напряжение не влияет. Во всех сечениях бруса напряжение распределено равномерно и в сечении где к брусу вдоль оси приложена сосредоточенная сила значение продольной силы и напряжения меняется скачкообразно.
относительное удлинение. - Дифференциальные зависимости при изгибе
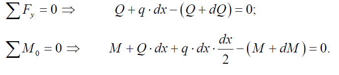
Установим некоторые взаимосвязи между внутренними усилиями и внешними нагрузками при изгибе, а также характерные особенности эпюр Q и M, знание которых облегчит по-строение эпюр и позволит контролировать их правильность. Для удобства записи будем обозначать: M≡Mz, Q≡Qy.
Выделим на участке балки с произвольной нагрузкой в месте, где нет сосредоточенных сил и моментов, малый элемент dx. Так как вся балка находится в равновесии, то и элемент dx будет находиться в равновесии под дейст-вием приложенных к нему поперечных сил, изгибающих моментов и внешней нагрузки. Поскольку Q и M в об-щем случае меняются вдоль оси балки, то в сечениях элемента dx будут возникать поперечные силы Q и Q+dQ, а также изгибающие моменты M и M+dM. Из ус-ловия равновесия выделенного элемента получим
Первое из двух записанных уравнений дает условие
Из второго уравнения, пренебрегая слагаемым q·dx·(dx/2) как бесконечно ма-лой величиной второго порядка, найдем

Рассматривая выражения (10.1) и (10.2) совместно можем получить
Соотношения (10.1), (10.2) и (10.3) называют дифференциальными зависимостями Д. И. Журавского при изгибе.- Геометрические характеристики плоских сечений. (статический момент площади. Полярный момент инерции. Осевой момент инерции. Момент инерции при параллельном переносе осей. Главные оси и главные моменты инерции.
Статическим моментом площади плоской фигуры относительно оси лежащей в этой же плоскости называется взятой по всей площади сумма произведений площадей элементарных площадок на расстоянии от них до этой оси
статические моменты относительно осей. Может быть больше нуля или меньше.
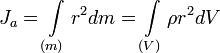
Полярным моментом инерции плоской фигуры относительно полюса лежащего по всей площади есть сумма произведений площадей элементарных площадок на квадраты их расстояний до полюса.
полярный момент инерции всегда больше 0.Моментом инерции механической системы относительно неподвижной оси («осевой момент инерции») называется физическая величина Ja, равная сумме произведений масс всех n материальных точек системы на квадраты их расстояний до оси:
где:mi — масса i-й точки,
ri — расстояние от i-й точки до оси.
Осевой момент инерции тела Ja является мерой инертности тела во вращательном движении вокруг оси подобно тому, как масса тела является мерой его инертности в поступательном движении.
где:dm = ρdV — масса малого элемента объёма тела dV,
ρ — плотность,
r — расстояние от элемента dV до оси a.
Если тело однородно, то есть его плотность всюду одинакова, то

Оси, относительно которых центробежный момент инерции сечения обращается в нуль, называются главными осями, а главные оси, проходящие через центр тяжести сечения - главными центральными осями инерции сечения.
Моменты инерции относительно главных осей инерции сечения называются главными моментами инерции сечения и обозначаются через I1 и I2 причем I1>I2. Обычно, говоря о главных моментах, подразумевают осевые моменты инерции относительно главных центральных осей инерции.
Предположим, что оси u и v главные. Тогда
Отсюда
ЭТО Уравнение определяет положение главных осей инерции сечения в данной точке относительно исходных осей координат. При повороте осей координат изменяются также и осевые момента инерции. Найдем положение осей, относительно которых осевые моменты инерции достигают экстремальных значений. Для этого возьмем первую производную от Iu по α и приравняем ее нулю:
отсюда
если моменты инерции сечения относительно главных осей одинаковы, то все оси, проходящие через ту же точку сечения, являются главными и осевые моменты инерции относительно всех этих осей одинаковы: Iu=Iv=Iy=Iz. Этим свойством обладают, например, квадратные, круглые, кольцевые сечения.- Статически неопределимые балки и рамы. Метод сил для раскрытия статической неопределимости балок и рам.
Статически неопределимой называется такая система, которая не может быть рассчитана при помощи одних только уравнений статики, так как имеет лишние связи. Для расчета таких систем составляются дополнительные уравнения, учитывающие деформации системы.
Оговоримся, что здесь и далее понятие “расчет” подразумевает только построение эпюр внутренних силовых факторов, возникающих в элементах системы, а не расчет на прочность, жесткость и т.д.
Статически неопределимые системы обладают рядом характерных особенностей:
Статически неопределимая система – это конструкция, силовые факторы в элементах которой невозможно определить только из уравнений равновесия (уравнений статики).
Статическая неопределимость возникает в том случае, ко-гда число наложенных на систему связей оказывается больше, чем это необходимо для обеспечения ее равнове-сия. При этом некоторые из этих связей становятся как бы «лишними», а усилия в них – лишними неизвестными. По числу лишних неизвестных устанавливают степень стати-ческой неопределимости системы. Отметим, что термин «лишние» связи является условным, так как эти связи не-обходимы для обеспечения прочности и жесткости систе-мы, хотя и «избыточны» с точки зрения ее равновесия.
Рама – конструкция, состоящая из стержней произвольной конфигурации и имеющая один или несколько жестких (не шарнирных) узлов.
Для раскрытия статической неопределимости необходимо, помимо статиче-ской стороны задачи, проанализировать деформации системы и в дополнение к уравнениям равновесия составить уравнения совместности де-формаций, из решения которых и находятся «лишние» неизвестные. При этом число таких уравнений должно равняться степени статической неопре-делимости системы. Метод сил. Основная идея метода Для того чтобы обратить заданную статически неопре-делимую систему в статически определимую, в методе сил используется следующий прием. Все «лишние» связи, наложенные на конструкцию, отбрасываются, а их действие заменяется соответствующими реакциями – силами или моментами. При этом, для сохранения заданных условий закрепления и нагружения, реакции отброшенных связей должны иметь такие значения, при которых перемещения в направлении этих реакций равнялись бы нулю (или заданным величинам). Таким образом, при раскрытии статической неопределимости этим методом искомыми оказываются не деформации, а соответствующие им силы – реак-ции связей (отсюда и название «метод сил»).Запишем основные этапы раскрытия статической неопределимости по мето-ду сил:
1) определяем степень статической неопределимо-сти системы, то есть число лишних неизвестных;
2) удаляем лишние связи и заменяем таким образом исходную статически неопределимую систему ста-тически определимой. Эта новая система, освобож-денная от лишних связей, называется основной Заметим, что выбор лишних связей может быть достаточно произвольным и зависит лишь от желания расчетчика, так что для одной и той же исходной статически неопределимой системы возможны различные варианты основных систем. Однако нужно следить за тем, чтобы основная система оставалась геометрически неизменяемой – то есть ее элементы после удаления лишних связей не должны иметь возможности свободно пере-мещаться в пространстве. 3) составляем уравнения для деформаций в точках приложения лишних неизвестных. Так как в исходной системе эти деформации равны нулю, то и указанные уравнения необходимо также приравнять к нулю. Затем из полученных урав-нений находим величину лишних неизвестных.

- Определение центра тяжести плоских фигур.
координаты центра тяжести плоской фигуры. Так как в этих формулах под Аi можно понимать dA, то в пределе при dA стремящемя к 0 выражение числителя с правых частей формул будут представлять собой статические моменты площади фигуры, относительно оси Y и Х. Центром тяжести тела называется точка, относительно которой суммарный момент сил тяжести, действующих на систему, равен нулю. Например, в системе, состоящей из 2 одинаковых масс, соединённых несгибаемым стержнем и помещённой в неоднородное гравитационное поле (например, планеты), центр масс будет находиться в середине стержня, в то время как центр тяжести системы будет смещён к тому концу стержня, который находится ближе к планете (ибо вес массы P = m·g зависит от параметра гравитационного поля g), и, вообще говоря, даже расположен вне стержня. В постоянном параллельном (однородном) гравитационном поле центр тяжести всегда совпадает с центром масс. Поэтому на практике эти два центра почти совпадают (так как гравитационное поле в некосмических задачах может считаться постоянным в объёме тела
- Гипотезы прочности.
Установлено, что в каждой точке нагруженного тела, в общем случае действует три главных напряжения.
Опыт показывает, что поведение материалов, т. е. начало стадии пластических деформаций и характер разрушения (хрупкий, вязкий), зависят от величины, знака и соотношения главных напряжений. Критерии разрушения или гипотезы прочности представляют собой предположения о преимущественном влиянии на прочность материалов того или иного фактора, сопутствующего процессу деформации и разрушения материалов.
Наиболее важными факторами, связанными с возникновением опасного состояния материала, являются: нормальные и касательные напряжения, линейные деформации и потенциальная энергия деформации.
Который из этих факторов является главной причиной разрушения установить не удается, т. к. невозможно наблюдать действие какого-нибудь одного фактора изолированно от остальных.
При сложном напряженном состоянии следует говорить не о предельном напряжении, а о предельном напряженном состоянии. В качестве предельного состояния в опасной точке детали принимается переход материала в окрестности данной точки из упругого состояния в пластическое или разрушение детали, выражающееся в образовании трещин. Коэффициентом запаса прочности при сложном напряженном состоянии называется число, на которое следует умножить все компоненты тензора напряжений (или s1, s2, s3), чтобы данное напряженное состояние стало предельным.
- Изгиб и кручение. Практический расчет валов при изгибе с кручением.
Кручение с изгибом – частный случай сложного сопротивления, который может рассматриваться как сочетание чистого кручения и поперечного изгиба.
При по-строении эпюр внутренних усилий при кручении с изгибом необходимо иметь ввиду сле-дующие правила:
1) эпюры крутящего момента Mx, а также эпюры составляющих поперечной силы Qy, Qz и изгибающего момента My, Mz строятся по той же процедуре, что и ранее;
2) результирующая поперечная сила Q может не лежать в плоскости действия результи-рующего изгибающего момента Mи, а потому между ними уже не будет соблюдаться зави-симость Журавского (dM/dx=Q), а, следовательно, и правила проверки эпюр, введенные для плоского изгиба; 3) согласно (16.1), эпюра полного изгибающего момента будет прямой только на тех уча-стках, где My и Mz ограничены прямыми с общей нулевой точкой, на участках, где такая общая точка отсутствует эпюра Mи будет описываться вогнутой кривой и строится по точ-кам (связано с тем, что вектор Mи в разных сечениях имеет различное направление).
17) Сопротивление усталости материалов. Влияние факторов на предел выносливости. Расчеты на сопротивление усталости.
Усталость материалов, изменение механических и физических свойств материала под длительным действием циклически изменяющихся во времени напряжений и деформаций. Изменение состояния материала при усталостном процессе отражается на его механических свойствах, макроструктуре, микроструктуре и субструктуре. Эти изменения протекают по стадиям и зависят от исходных свойств, вида напряжённого состояния, истории нагружения и влияния среды.
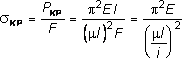
18 ) Продольный изгиб. Формулы Эйлера и Ясинского. Расчеты прямолинейных стержней на устойчивость. Понятие о критической силе.
Нагрузки при повышении которых происходит потеря устойчивости (критическое состояние) называются критическими. Опасность потери устойчивости особенно велика для тонкостенных конструкции, стержней. Рассмотрим тонкий стольной стержень длина которого больше по сравнению с поперечными размерами. Сжимается силой F немного большей Fкр. Применяя метод сечении получаем что в результате изменения оси поперечного сечения стержня возникает 2 внутренних силовых фактора, продольная сила N и изгибающий момент M и/. таким образом искревленный срежень испытывает сочетание деформации центрального сжатия и изгиба.

формула эйлера
наименьшее из осевых моментов инерции сечения, так как искривление стержня происходит в плоскости наименьшей плотности.
приведенная длина стержня.
;
- коэффициент длины зависания от способа закрепления стержня. L – длина стержня.
Чем меньше
тем критическая сила больше.Вывод формулы Эйлера основан на законе Гука.
Как показали опыты, решение Эйлера подтверждалось не во всех случаях. Причина состоит в том, что формула Эйлера была получена в предположении, что при любой нагрузке стержень работает в пределах упругих деформаций по закону Гука. Следовательно, его нельзя применять в тех ситуациях, когда напряжения превосходят предел пропорциональности. В связи с этим найдем границы применимости решения Эйлера:

где - радиус инерции сечения. Если стержень имеет одинаковые опорные закрепления в двух взаимно перпендикулярных плоскостях инерции, то при определении значения критической силы и критического напряжения, необходимо брать наименьшее значение момента инерции и, соответственно, радиуса инерции поперечного сечения.
для стержней из низкоуглеродистой стали формула Эйлера применима если гибкость
больше 110, в тех случаях когда
меньше предельной , формула Эйлера не применима и при расчетах пользуются формулой Ясинского.
а и b коэффициенты зависящие от материала и определяются по таблице из справочника. ( лекции чуток) 19) Правило Верещагина для определения перемещений.
интеграл Мора.
выражение внутренних силовых факторов от единичной нагрузки.
выражение внутренних силовых факторов от заданной внешней нагрузки. Для определения углового перемещения к брусу прикладывают еденичную силу, при опредеделении углового перемещения к брусу прикладывают пару сил с моментом m=1. Рисунок!! 