Измерение спектра и формы детерминированных сигналов
| Вид материала | Документы |
- Цифровая обработка сигналов, 25.15kb.
- Программа курса лекций (3 курс, 6 сем., 32 ч., диф зачет) Профессор Киричук Валерий, 72.05kb.
- Цифровая фильтрация, 139.58kb.
- Тема пространство и метрология сигналов физическая величина более точно определяется, 595.48kb.
- Обработка сигналов в радиотехнических системах, 126.5kb.
- Методические указания по выполнению лабораторной работы №2 по курсу "Цифровая обработка, 99.67kb.
- Измерение длины волны и ширины спектра лазерного излучения с помощью много лучевого, 102.41kb.
- Программа курса лекций, 51.42kb.
- Измерение фазового сдвига, 189.66kb.
- Цифровой вольтметр щ-304, 137.06kb.
1 2
ИЗМЕРЕНИЕ СПЕКТРА И ФОРМЫ ДЕТЕРМИНИРОВАННЫХ СИГНАЛОВ
ИЗМЕРЕНИЕ ПАРАМЕТРОВ МОДУЛИРОВАННЫХ СИГНАЛОВ
В радиотехнических устройствах применяются амплитудная, частотная, фазовая, импульсная и комбинированные виды модуляции. В первых трех видах модуляции амплитуда, частота или фаза синусоидального модулируемого сигнала изменяется по закону изменения модулирующего напряжения. При импульсной модуляции высота, частота повторения, длительность или временное положение видеоимпульсов изменяются в соответствии с изменением модулирующего сигнала низкой частоты. Применяются и другие, более сложные виды модуляции — кодо-импульсная, дельта-модуляция и др.
Сигнал, модулированный по амплитуде, характеризуется коэффициентом модуляции М, по частоте, — девиацией частоты ∆f, по фазе, — индексом угловой модуляции ψ. Кроме того, все модулированные сигналы характеризуются глубиной модуляции, равной отношению данного коэффициента, девиации или индекса к максимальному значению, принимаемому за 100 %-ную модуляцию. Для оценки модуляции импульсов необходимо измерять параметры импульсов и их последовательностей.
Амплитудная модуляция. Сигнал, модулированный по амплитуде, записывается так:
(1)где U — амплитуда немодулированного высокочастотного сигнала;
; f — несущая частота;
; F — модулирующая частота; М — коэффициент амплитудной модуляции,
(2)∆U — приращение высокочастотного напряжения при модуляции.
Обычно коэффициент модуляции выражается в процентах. При амплитудной модуляции коэффициент модуляции и ее глубина совпадают.
Н
а рисунке показан график, модулированного сигнала, соответствующий выражению (1); из графика следует, что
(3)Ф
ормулы (2) и (3) справедливы только для симметричной модуляции. При несимметричной модуляции коэффициент модуляции измеряется раздельно «вверх» и «вниз» :
Коэффициент амплитудной модуляции измеряют двумя методами: осциллографическим и методом выпрямления (детектирования).
Осциллографический метод, в свою очередь, осуществляют двумя способами: линейной или синусоидальной развертки.
При линейной развертке в канал вертикального отклонения подают высокочастотный модулированный сигнал, частоту развертки устанавливают в 2-3 раза ниже модулирующей частоты и синхронизируют модулирующим напряжением. На экране осциллографа появляется осциллограмма модулированного сигнала в виде у = f(t). Измерив с помощью масштабной сетки максимальное отклонение луча А = 2Uмакс и минимальное Б = 2Uмии, согласно формуле (3) получаем (в процентах)
(4)В
канал вертикального отклонения можно подать выпрямленный (детектированный) сигнал, т. е. напряжение огибающей. Если осциллограф пропускает постоянный ток, то на экране появится осциллограмма вида рисунка справа, по которой также можно определить М. Размеры А и Б измеряют относительно линии развертки.При синусоидальной развертке в канал вертикального отклонения подают модулированный сигнал, а в канал горизонтального отклонения — модулирующее напряжение. Верхняя огибающая модулированного сигнала определяется выражением
. Отклонение по горизонтали х=UcosΩt. Подставляя из последнего выражения cosΩt в выражение для у, получаем у=U+Мх, т. е. верхняя огибающая имеет вид прямой линии с наклоном, определяемым значением М. Аналогично, нижняя огибающая также прямая с наклоном —М.О
сциллограмма представляет собой светящуюся плоскость трапецеидальной формы. Прямые, ограничивающие плоскость, являются фигурами Лиссажу, получившимися за счет взаимодействия огибающих модулированного сигнала с модулирующим напряжением при отсутствии фазового сдвига между ними. Размеры А и Б соответствуют максимальному и минимальному значениям модулирующего напряжения, поэтому М вычисляется по формуле (4).У

силители осциллографа или тракт модулирующего напряжения могут внести фазовый сдвиг между огибающими и модулирующим напряжением. При этом прямые примут вид эллипсов. Коэффициент амплитудной модуляции М вычисляется так же, как и раньше, только размеры А и Б измеряются между точками касания горизонтальных прямых в местах максимального и минимального отклонений луча. Осциллограмма, изображенная на рисунке ниже, свидетельствует о наличии нелинейных искажений.По виду фигуры, получающейся на экране осциллографа при отсутствии фазового сдвига и искажений, способ синусоидальной развертки частот называют способом трапеции.
Осциллографический метод прост и удобен. Погрешность составляет 5—10%. Измерение коэффициента модуляции можно выполнять только на одной модулирующей частоте в процессе настройки, проверки или профилактики устройств. В рабочих условиях при модуляции многочастотным сигналом можно только наблюдать непрерывно меняющуюся картину модулированного сигнала, но измерить его параметры невозможно.
Метод выпрямления (детектирования) позволяет измерять коэффициент амплитудной модуляции в процессе работы передатчика (генератора). Сущность метода заключается в том, что высокочастотный модулированный сигнал детектируется, в результате чего выделяются постоянная составляющая, пропорциональная напряжению несущей U, и составляющая модулирующей частоты (огибающая), амплитуды которой пропорциональны приращению сигнала при модуляции ∆U. Воспользовавшись формулой (2), можно определить М.
П
риборы, основанные на этом методе, называют модулометрами, или измерителями модуляции. Структурная схема такого прямопоказывающего прибора представляет собой высококачественный супергетеродинный радиоприемник амплитудно-модулированных сигналов соответствующего диапазона частот и особых пояснений не требует. Магнитоэлектрический индикатор, с помощью которого измеряется постоянная составляющая, выделенная детектором Д, пропорциональная напряжению несущей, всегда устанавливается на условную отметку «1», и тогда амплитудный (пиковый) вольтметр АВ с закрытым входом, измеряющий ∆U, можно градуировать непосредственно в процентах М. Переключая его вход, можно измерять Мвв и Мвн. Для установки напряжений несущей на «1» используют входной атеннюатор Aт, а для проверки тракта промежуточной частоты измерителя модуляции — калибровочный генератор Гк.Частотная модуляция. Сигнал, модулированный по частоте синусоидальным напряжением, записывается в таком виде:

где U — амплитуда напряжения несущей частоты f0;
;
; F — частота модулирующего напряжения; mf — индекс частотной модуляции,
Здесь ∆f — отклонение высокой частоты при модуляции, или девиация частоты.
Мгновенное значение частоты частотно-модулированного сигнала f = f0±∆f. Девиация частоты пропорциональна амплитуде модулирующего напряжения и не зависит от его частоты:
(5)Частота модулирующего напряжения определяет скорость изменения мгновенного значения девиации
, где ∆fмакс— максимальное значение девиации, нормированное для данной системы связи или вещания. Например, для радиовещания с частотной модуляцией на ультракоротких волнах (УКВ ЧМ) ∆fмакс = ± 50 кГц; для звукового сопровождения телевизионных программ ∆fмакс = ± 75 кГц. В практике эксплуатации устройств с ЧМ в рабочих условиях измеряется девиация частоты ∆f. Индекс модуляции mf измеряется при контрольно-поверочных и регулировочных работах.Для измерения девиации существует несколько методов, но практически используется метод частотного детектора. Сущность его состоит в том, что частотно-модулированный сигнал преобразуется в амплитудно-модулированный и детектируется; в результате получается напряжение, пропорциональное напряжению модулирующей частоты. Как следует из выражения (5), шкалу амплитудного вольтметра можно градуировать непосредственно в единицах девиации частоты — килогерцах. Приборы, предназначенные для измерения девиации частоты, называются девиометрами.
Девиометр представляет собой высококачественный калиброванный радиоприемник частотно-модулированных сигналов, и его структурная схема подобна схеме модулометра. Отличие заключается в том, что после усилителя промежуточной частоты имеется амплитудный ограничитель, а вместо амплитудного детектора используется частотный. Применяют частотные детекторы типа электронно-счетной схемы или на линии задержки. Вследствие общности большинства узлов модулометра и девиометра они часто выпускаются в виде комбинированных приборов для измерения AM и ЧМ сигналов. Погрешность составляет 3—5 %.
Выражение для частотно-модулированного сигнала Можно представить в спектральной форме:
(6)где J0(mf) — функция Бесселя первого рода нулевого порядка аргумента, равного индексу частотной модуляции mf; Jn () — то же n-го порядка; 2n — число боковых полос в частотно-модулированном сигнале.
П
ервое слагаемое в правой части формулы (6) представляет собой напряжение, несущей частоты; амплитуда его меняется по закону изменения функции Бесселя, кривая которой проходит через нулевые значения. При равенстве индекса модуляции mf значениям корней Бесселевой функции 2,4; 5,52; 8,65; 11,79; 14,93; 18,07 и так далее напряжение несущей в спектре частотно-модулированного колебания обращается в нуль, исчезает из спектра. На основе этого явления разработан метод измерения индекса частотной модуляции, названный методом исчезающей несущей.М
етод исчезающей несущей реализуется с помощью схемы измерения, приведенной на рисунке. В нее входят: исследуемый генератор (передатчик) с частотной модуляцией; генератор низкой частоты, являющийся источником модулирующих сигналов; высококачественный узкополосный радиоприемник соответствующего диапазона частот; элементы связи между передатчиком и приемником; индикатор напряжения несущей на выходе, приемника. Полоса пропускания приемника должна быть меньше удвоенного значения самой низкой модулирующей частоты.Измерение выполняют так. Радиоприемник сигналов с амплитудной модуляцией РПАМ настраивают на несущую частоту передатчика ПЧМ при отсутствии модуляции, и на индикаторе И устанавливают показание, близкое к максимальному. Радиоприемник регулируют на минимальную чувствительность. Затем постепенно повышают напряжение UF генератора ГНЧ при выбранном значении модулирующей частоты F. Показание индикатора при этом уменьшается и при некотором значении UF1 исчезает. Для точного определения момента исчезновения несущей увеличивают чувствительность приемника до возникновения собственных шумов. Полезно параллельно индикатору включить головные телефоны или громкоговоритель. Уточненному значению UF1 соответствует первый корень Бесселевой функции, равный 2,4, следовательно, mf=∆f/F=2,4 и девиация частоты ∆f1=mf1F=2,4F. Продолжая увеличивать напряжение модуляции, находят второе его значение, при котором снова исчезает показание индикатора. Это происходит при напряжении UF2, которому соответствует второй корень Бесселевой функции, равный 5,52. Отсюда mf2 = 5,52, а девиация ∆f2 = 5.52F. Модулирующую частоту F нужно поддерживать постоянной. Результаты измерения удобно свести в таблицу (здесь F = 3 кГц = const).
| UF , В | mf | ∆f кГц |
| 0 1 2 3 4 5 6 7 8 9 | 0 2,4 5,52 8,65 11,79 14,93 18,07 21,21 24,35 27,49 | ≈(0,002÷0,01) 7,2 16,56 25,95 35,37 44,79 54,21 63,63 73,05 82,47 |
П
о данным этой таблицы легко построить график, представляющий модуляционную характеристику передатчика. С помощью этого графика можно определить все промежуточные значения индекса mf и напряжения UF, а также границу линейного участка характеристики, за которым начинаются нелинейные искажения. Иногда характеристика не проходит через нуль (начало координат). Это свидетельствует о наличии паразитной частотной модуляции, вызванной собственными шумами в цепях передатчика или пульсациями питающего напряжения.Точность определения девиации частоты методом исчезающей несущей зависит от погрешности установки частоты генератора модулирующего напряжения и намного превосходит точность измерения с помощью девиометров. Поэтому этот метод широко используется для первичной настройки и регулировки передатчиков, калибровки генераторов и в других случаях.
И


мпульсная модуляция. В процессе прохождения импульсов через различные цепи и устройства, а также во время распространения радиоимпульсов между передающей и приемной антеннами форма их изменяется (искажается) и может принимать вид, представленный на рисунках. Искажения разделяются на амплитудные — неравномерность вершины импульса δ, выбросы на вершине b1 и в паузе b2, и временные — длительность фронта τф и среза τс и связанная с ними длительность τ импульса на разных уровнях. В особо ответственных случаях рассматриваются нелинейности фронта δф и среза δс и неэкспоненциальность среза δэ. Импульсная последовательность характеризуетсячастотой повторения, длительностью временных интервалов между соседними импульсами и скважностью или коэффициентом заполнения. Представляет интерес мгновенное значение высоты импульса в заданный момент времени и изменения этого значения под влиянием различных факторов. Иногда интересуются интегральными параметрами — обобщенными длительностью и высотой.Все параметры импульсов напряжения, кроме интегральных, можно измерять с помощью осциллографа. При измерении импульсов тока их сначала превращают в импульсы напряжения. Для этого в цепь, по которой передаются импульсы тока, включают вспомогательный резистор с небольшим сопротивлением, падение напряжения на котором и измеряют.
Осциллографический метод измерения параметров импульсов получил широкое распространение благодаря своей наглядности. Однако в ряде случаев он не удовлетворяет требованиям точности, быстроты и удобства измерения.
Диапазон временных параметров импульсов простирается от долей наносекунды до единиц секунд. Измерение таких интервалов времени одним универсальным осциллографом невозможно. Для каждого конкретного случая нужно подбирать осциллограф, отвечающий по своим параметрам предстоящему измерению. Измерение длительностей осуществляют с помощью калиброванных меток и калиброванной развертки. Способ калиброванных меток пригоден для измерений импульсов любой формы при любой скважности.
С
пособ калиброванной развертки применяют, если форма импульсов близка к прямоугольной, а скважность невелика. В этом случае на осциллограмме устанавливают два соседних импульса и по масштабной сетке измеряют на экране осциллографа расстояния l1 и l2. Полученные данные позволяют вычислить длительность импульса
Тр и интервал между импульсами Тр - τ =
Тр, где Тр — установленное калиброванное значение длительности развертки.Измерение амплитудных параметров — высоты импульса, выбросов и спада плоской части выполняют с помощью осциллографа по известному калиброванному коэффициенту отклонения до вертикали. Параметры наносекундных импульсов измеряют с помощью- стробоскопических осциллографов.
Погрешность измерения осциллографическим методом составляет 5—10, в лучшем случае 2—4 %. Для более точных измерений импульсов выпускаются специализированные приборы, которые по способу отображения полученных результатов измерения делятся на осциллографические и цифровые.
Осциллографические измерители временных и амплитудных параметров отличаются от универсальных осциллографов наличием дополнительных узлов, позволяющих выполнять амплитудные измерения сигнала на любом уровне от 0,1 до 0,9 его высоты через 0,1 и устанавливать произвольно уровень начала и конца измерения с погрешностью 1—3 %. Погрешность измерения временных параметров не превышает 10-2— 10-3 %, что достигается наличием точных калибраторов длительности, стабилизированных кварцевыми резонаторами. Недостатком осциллогра-фических измерителей является сравнительно малая чувствительность.
Ц
ифровые измерители временных интервалов основаны на методе дискретного счета, сущность которого заключается в следующем. Измеряемый временной интервал заполняется стабильными счетными импульсами известной длительности, а их число иодсчитывается. электронным счетчиком с выдачей результата в цифровой форме. Основными достоинствами цифровых измерителей являются: возможность измерения параметров одиночных импульсов; быстродействие; удобная индикация; вывод результатов измерения в электрическом коде; малая погрешность. Подробно метод дискретного счета рассматривается далее.И
нтегральные параметры измеряются приборами, в которых измеряемая величина преобразуется в пропорциональный ей аналоговый или дискретный сигнал. Обобщенные высота и длительность равны высоте и длительности эквивалентного импульса прямоугольной формы с равной площадью и энергией. На рисунках показаны для примера соотношения реальных и обобщенных высоты и длительности треугольного и экспоненциального импульсов. Приборы, измеряющие интегральные параметры, позволяют сравнивать импульсные сигналы с энергетической точки зрения, что иногда бывает единственным критерием.Исследование формы сигнала с помощью осциллографа позволяет получить зависимость напряжения от времени. Спектральное представление детерминированного сигнала в виде совокупности его частотных составляющих дает более полную информацию о его форме и, дополнительно, о качестве радиотракта, через который этот сигнал прошел. Измерение спектра используется для количественной оценки искажений импульсных сигналов, нелинейности радиотехнических устройств и гармонических сигналов, параметров модулированных сигналов любого вида модуляции и для физических исследований.
АНАЛИЗ СПЕКТРА СИГНАЛОВ
В радиотехнических устройствах протекают электрические процессы, имеющие специфический характер. Реальный радиотехнический сигнал как физический объект аналитического и практического исследований достаточно сложен. Чтобы произвести анализ прохождения сигнала через радиотехнические цепи, необходимо его представить в удобной математической форме. В теории сигналов широкое применение нашли два способа математического и физического представления электрических сигналов временной и спектральный. Такое представление возможно вследствие принципа дуальности (двойственности, взаимосвязи) частоты и времени, поскольку f= l/t. При временном способе анализа сигнал отражается непрерывной функцией времени или совокупностью элементарных импульсов, следующих друг за другом через определенные интервалы времени Спектральный способ основан на представлении (аппроксимации, декомпозиции) сигнала в виде суммы гармонических составляющих разных, обычно кратных друг другу частот
Процессы в электрических цепях получаются тем сложнее, чем более сложной является форма сигналов. В этих случаях часто становится эффективным и полезным спектральное представление сигналов
Общие сведения
Фундаментальная идея спектрального представления сигналов восходит к временам более чем 200-летней давности и принадлежит знаменитому французскому физику, математику и философу Фурье. В начале XIX в. Фурье удалось доказать оригинальную теорему, в которой он показал, что любое изменение во времени некоторой периодической функции можно представить в виде конечной или бесконечной суммы ряда гармонических колебаний с разными амплитудами, частотами и начальными фазами. В радиотехнике этой функцией может быть, в частности, ток или напряжение в некоторой электрической цепи.
Столь простое представление сложного изменения во времени какой-либо физической величины (в данном случае электрического сигнала) в виде суммы ряда простейших гармонических колебаний могло показаться на первый взгляд математическим трюком. Но это не трюк. Несложный пример доказательства рассуждений Фурье показан на рис.
П
усть периодическая, достаточно сложная по форме кривая напряжения u(t)— это сумма двух синусоид равной амплитуды, но разных частот и начальных фаз: основной u1(t) (первой гармоники) и удвоенной u2(t) по отношению к ней частоты.Д
ля периодических сигналов Фурье ввел разложение по различным видам рядов — тригонометрическим, комплексным и т.д.. Фурье также доказал, что непериодические (импульсные) сигналы можно описать с помощью двух его преобразований — прямого и обратного.Итак, практически любой сигнал можно представить в виде суммы гармонических составляющих, амплитуды и частоты которых могут быть определены с помощью прямого преобразования Фурье. Этот спектр гармонических составляющих можно изобразить графически, если по оси абсцисс откладывать обозначение частот, а по оси ординат — величины амплитуд гармоник. На рис. наглядно показано временное и спектральное представление достаточно сложного по форме сигнала.
А
нализ спектра включает измерение как амплитуд гармоник — спектр амплитуд, так и их начальных фаз — спектр фаз. Однако для многих практических задач достаточно знать лишь спектр амплитуд. Поэтому под анализом спектров обычно понимают нахождение спектра амплитуд исследуемого сигнала.Автоматическое представление спектра сигналов осуществляется специальными приборами — анализаторами спектра.
Анализаторы спектра электрических сигналов можно классифицировать по ряду специфических признаков:
• по способу анализа — последовательные, параллельные (одновременные) и смешанные;
• по типу индикаторного устройства—осциллографические, с самописцем;
• по диапазону частот — низкочастотные, высокочастотные, сверхвысокочастотные, широкодиапазонные.
Большинство отечественных анализаторов спектра имеет обозначение С4 -.... Основными метрологическими характеристиками анализаторов являются: разрешающая способность, время анализа и погрешности измерения частоты и амплитуды. Сущность этих понятий будет объяснена дальше. Отметим лишь, что метрологические характеристики анализатора определяются его схемой.
Для спектрального анализа непериодических сигналов (функций) используют аппарат интегрального преобразования Фурье. При этом применяется известная формула прямого преобразования Фурье, характеризующая спектральную плотность непериодического (импульсного) сигнала:

Однако есть одно обстоятельство, общее для всех схем анализаторов, ограничивающее точность анализа спектра сигнала. Преобразование Фурье широко применяют при аналитических исследованиях физических процессов, если выполняются условия Дирихле и абсолютной интегрируемости. Для реальных физических процессов эти условия обычно выполняются.
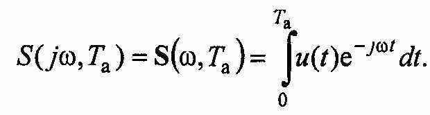
Преобразования Фурье предполагают, что процесс u(t) задан на всей оси времени от -∞ со до +∞. В частности, на интервале времени от -∞ до t1 и от t2 до +∞ считают u(t) = 0. Такая модель соответствует понятию конечности во времени процесса, преобразуемого по Фурье. Спектр определяется всем закончившимся процессом, является функционалом всего процесса. Однако при измерениях наблюдают процессы на конечном интервале времени Тa (времени анализа, наблюдения), т.е. не закончившиеся во времени. Это несоответствие позволяет устранить модель текущего частотного спектра, определяемого соотношением

Иными словами, текущая спектральная плотность зависит от времени анализа и форма текущего спектра в общем случае отличается от истинного тем больше, чем меньше Тa.
Отличие текущего спектра от спектра закончившегося процесса зависит от того, проявились ли за время анализа Tа все характерные особенности сигнала. Если исследуемый анализатором сигнал периодический с периодом следования Т, то необходимо, чтобы Тa >>Т.
При измерении спектра нижний предел является конечным, т.е. интегрирование (усреднение) производится в интервале от 0 до Тa. За счет этого возникает погрешность определения составляющих спектра, связанная с методом измерений, т. е. методическая погрешность. Эта погрешность для ряда технических применений не играет особой роли, в других случаях ее необходимо учитывать и исследовать.
Практически все приборы, применяемые для анализа спектра сигналов, можно условно разделить на аналоговые и цифровые. Несмотря на многие достоинства и возможности цифровых анализаторов, аналоговые анализаторы еще широко применяются, особенно в верхней части высокочастотного и СВЧ диапазонов. Вместе с тем современные аналоговые анализаторы спектров содержат и цифровые устройства.
Практически во всех аналоговых анализаторах выделение гармонических составляющих сигнала производится узкополосными фильтрами. Этот метод реализуется двумя способами: параллельного и последовательного анализа сигнала. Основной элемент таких приборов — полосовой фильтр (высокодобротный резонатор) с узкой полосой пропускания, служащий для выделения отдельных составляющих или узких диапазонов исследуемого спектра.
Параллельный анализ спектра
А
нализаторы такого типа применяют в основном для анализа спектров одиночных импульсных сигналов. При параллельном анализе спектра сигнала применяют n полосовых фильтров Ф, каждый из которых настроен на определенную частоту.Исследуемый сигнал u(t), спектр которого расположен в полосе частот ∆fn подается одновременно на все фильтры. Фильтры имеют идент
ичные АЧХ с одинаковыми полосами пропускания ∆fф и настроены на определенные частоты (рис. в). Сигналы на выходе фильтров определяются составляющими спектра анализируемого процесса (рис. г). Далее спектральные составляющие, после детектирования в детекторах Д поступают на регистрирующие устройства (РУ).Полоса пропускания фильтра определяет статическую разрешающую способность анализатора (при условии время анализа
, т. е. Tа — велико). Разрешающая способность анализатора — способность различать составляющие спектра с близкими частотами. Чем уже полоса пропускания фильтра, тем выше разрешающая способность. При широкой полосе пропускания несколько составляющих не будут разделяться. Если оценивать разрешающую способность полосой частот ∆fp, при которой возможно разделение ближайших составляющих, то при идеальной прямоугольной АЧХ фильтра можно полагать ∆fp =∆fф ,. Для реальных фильтров ∆fp=2∆fф. Если время анализа Та мало, то имеет место динамическая разрешающая способность.Необходимое время анализа для правильного воспроизведения спектра можно приблизительно оценить следующим образом. Время анализа при параллельном исследовании может быть принято примерно равным τу — времени установления напряжения на выходе фильтра с прямоугольной частотной характеристикой и рабочей полосой ∆fф (от уровня 0,1 до уровня 0,9 от установившегося значения). Из теории фильтров известно, что время установления τу = 0,86/(∆fф), следовательно, Та ≈ τу = 1/(∆fф).
Скорость параллельного анализа

Скорость анализа резко снижается при сужении полосы пропускания фильтра. К достоинству анализаторов параллельного действия относится малое время анализа.
Погрешность при параллельном анализе определяют следующие основные факторы: конечность времени установления колебаний на выходе фильтра и зависимость ее от полосы пропускания, различие характеристик фильтров, настроенных на разные частоты.
