Измерение спектра и формы детерминированных сигналов
| Вид материала | Документы |
- Цифровая обработка сигналов, 25.15kb.
- Программа курса лекций (3 курс, 6 сем., 32 ч., диф зачет) Профессор Киричук Валерий, 72.05kb.
- Цифровая фильтрация, 139.58kb.
- Тема пространство и метрология сигналов физическая величина более точно определяется, 595.48kb.
- Обработка сигналов в радиотехнических системах, 126.5kb.
- Методические указания по выполнению лабораторной работы №2 по курсу "Цифровая обработка, 99.67kb.
- Измерение длины волны и ширины спектра лазерного излучения с помощью много лучевого, 102.41kb.
- Программа курса лекций, 51.42kb.
- Измерение фазового сдвига, 189.66kb.
- Цифровой вольтметр щ-304, 137.06kb.
1 2
Анализаторы спектра последовательного действия
А
нализаторы спектра последовательного действия применяются для исследования любых сигналов, спектр которых не изменяется за время измерения (анализа). Простейший анализатор состоит из смесителя См, на один вход которого поступает исследуемый сигнал ис, а на второй — сигнал с линейно изменяющейся частотой иг от генератора качающейся частоты ГКЧ. Изменение частоты генератора по закону fг=f0±af перемещает спектр сигнала относительно центральной настройки усилителя промежуточной частоты УПЧ с полосой пропускания 2∆fф, и на выходе последнего последовательно выделяются составляющие спектра сигнала при выполнении условия
, где п = 1, 2, 3, ... — номера гармоник. Спектральные составляющие поступают на детектор Д и затем на вертикально отклоняющие пластины осциллографического индикатора. Отклонение луча по горизонтали осуществляется генератором развертки ГР синхронно с качанием частоты ГКЧ, благодаря чему линия развертки соответствует оси частот спектрограммы.Е
сли развертка калибрована в единицах частоты, а коэффициент передачи анализатора спектра от его входа до экрана индикатора известен, то полученная осциллограмма будет точно соответствовать амплитудному спектру сигнала.Имеются анализаторы спектра, генератор которых перестраивают вручную, а в качестве индикатора используют стрелочный измеритель напряжения сигнала после детектора; такие приборы называют анализаторами гармоник.
Они подобны селективным вольтметрам и постепенно вытесняются ими.
Основными характеристиками анализаторов спектра являются разрешающая способность, время анализа, динамический диапазон и погрешность измерения частоты и амплитуды.
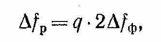
Р
азрешающая способность ∆fр определяется минимальным расстоянием по оси частот (рис. 6-3), при котором можно выделить и измерить с заданной погрешностью две соседние составляющие спектра. Разрешающая способность прямо пропорциональна полосе пропускания фильтра 2∆fф усилителя промежуточной частоты:
где q> 1.
Время анализа определяется полосой обзора, т. е. разностью частот генератора fг.макс — fг.мин. и полосой пропускания фильтра. Время анализа в полосе пропускания фильтра равно 1/(2∆fф), а в полосе обзора увеличивается в (fг.макс-fг.мин)/(2∆fф) раз и составляет Та =(fг.макс-fг.мин)/(2∆fф)2. Очевидно, что стремиться к сверх узкополосным фильтрам нецелесообразно, так как при 2∆fф < 1 Гц время анализа слишком велико. Это обстоятельство соответственно ограничивает частотный диапазон анализаторов снизу значением 10 Гц, а полосу пропускания фильтра — 3 Гц.
Динамический диапазон анализатора спектра характеризует его работу в линейном режиме. Нельзя допускать перегрузку смесителя анализатора, так как она может вызвать в выходном спектре сигналы на комбинационных частотах. Динамический диапазон

где Uc-макс — максимальный допустимый уровень исследуемого сигнала, поступающего на сместитель, при котором напряжение составляющих комбинационных частот соизмеримо с напряжением собственных шумов Uш входной цепи анализатора.
Погрешность измерения уровней сигнала состоит из многих составляющих: погрешности калибровки чувствительности; неравномерности амплитудно-частотной характеристики тракта; погрешности шкал аттенюаторов; погрешности шкалы индикатора; влияния собственных шумов. В конкретных случаях возможно исключение некоторых частных погрешностей. Например, если уровень выходного сигнала определяется методом сравнения с уровнем сигнала вспомогательного генератора, то погрешность анализатора будет определяться только погрешностью шкалы индикатора и установки уровня вспомогательного генератора. Если исследуемый сигнал значительно превышает уровень шумов, то их можно не учитывать.
Во время анализа на усилитель промежуточной частоты поступает напряжение, частота которого непрерывно меняется. В фильтре с полосой пропускания 2∆f возникают переходные процессы, искажающие его резонансную характеристику: смещается и уменьшается ее максимум, расширяется полоса пропускания. Степень искажений зависит от скорости изменения частот генератора V; .
На рисунке приведены характеристики фильтра: статическая 1 и динамическая 2. По оси ординат отложен квадрат коэффициента передачи фильтра К, а по оси абсцисс — о
бобщенная расстройка 
, где ω0 — резонансная частота фильтра, ω — текущая частота, d — затухание фильтра. Искажения вычисляются по следующим формулам: смещение максимума
; уменьшение максимума
; приращение относительной ширины полосы 2∆f2 — 2∆f1 = А∆К, где А зависит от типа фильтра.Скорость изменения частоты генератора ГКЧ

При правильном выборе полосы обзора и времени анализа, которое равно длительности прямого хода луча, искажения резонансной кривой фильтра не вносят заметных искажений в спектрограмму.
А
нализатор спектра представляет собой супергетеродинный приемник, в котором при неправильно выбранной промежуточной частоте возможно прохождение сигналов зеркального канала, отстоящего от основного на удвоенную промежуточную частоту 2fпр . При исследовании спектра импульса, длительность которого τ, можно ограничиться тремя боковыми лепестками. Ширина основного лепестка равна 2/τ, а каждого из боковых — 1/τ. Таким образом, для исключения перекрытия спектров необходимо, чтобы fпр > 4/τ. Полоса обзора определяется шириной спектра исследуемого сигнала. При трех лепестках она должна быть больше 8/τ. Частота развертки равна 1/Та и определяет число циклов качания частоты генератора в секунду.В
качестве примера рассмотрим полную структурную схему анализатора спектра последовательного действия. Периодический сигнал сложной формы поступает через пробник Пр или через входной аттенюатор Ат1 и фильтр нижних частот Ф на смеситель См1 на второй вход которого подводится напряжение генератора качающейся частоты ГКЧ. Линейное изменение частоты во времени производится изменением пилообразного напряжения генератора развертки ГР. С выхода смесителя переменный по частоте сигнал поступает на первый усилитель промежуточной частоты УПЧ1. Когда частота сигнала совпадает с частотой настройки УПЧ1 на его выходе появляются составляющие спектра с полосой частот 2∆f1. С помощью гетеродина Гem и смесителя См2 они подвергаются второму преобразованию с понижением частоты. Это облегчает трудную задачу создания узкой полосы пропускания во втором усилителе промежуточной частоты УПЧ2. В качестве избирательного устройства в нем используются LC-фильтры или кварцевые резонаторы. Ширина полосы пропускания этих устройств 2∆fф определяет разрешающую способность и другие параметры анализатора.После регулировки аттенюатором Ат2 проходящие через фильтр составляющие детектируются, усиливаются и поступают на пластины Y электронно-лучевой трубки индикатора, образуя спектрограмму в виде светящихся вертикальных полосок, высота которых пропорциональна амплитудам составляющих сигнала. Для увеличения яркости осциллограммы сигнал с УПЧ2 подают на блок подсвета БП, где он детектируется, формируется в прямоугольный импульс для воздействия на модулятор трубки.
Калибратор предназначен для создания на экране трубки частотных меток. Он представляет собой генератор с частотной модуляцией ГЧм и модулятор М, вырабатывающий модулирующее синусоидальное напряжение. В спектре высокочастотного сигнала генератора при частотной модуляции появляются составляющие боковых частот, расстояния между которыми равны частоте модулирующего колебания. Частота генератора Гчм и боковые полосы создают на экране трубки опорные частотные метки с известными фиксированными значениями частоты и интервалов между ними.
Промышленность выпускает анализаторы последовательного действия, перекрывающие диапазон частот от 10 Гц до 40 ГГц с полосой пропускания фильтров от единиц герц в низкочастотных анализаторах до 300 кГц и больше в анализаторах СВЧ. Динамический диапазон 50—90 дБ. Время анализа 0,01—20 с. Погрешность измерения частоты 1—2 %, амплитуды—10—15%.
Анализ спектра в реальном времени
Анализ спектра сигналов в реальном времени осуществляется дисперсионно-временным методом. Дисперсией называется зависимость фазовой скорости распространения электромагнитной волны от ее частоты. Фазовая скорость vф=ω/β, где β=2π/λ. Дисперсионно-временной анализ осуществляется с помощью дисперсионной линии задержки, в которой разные частотные составляющие распространяются с разными скоростями и потому на выходе линии последовательно появляются составляющие спектра со сдвигом во времени. Огибающая этих составляющих соответствует модулю спектра сигнала, поданного на вход. На основе дисперсионно-временного метода созданы анализаторы спектра, с помощью которых можно исследовать быстро меняющиеся во времени сигналы, короткие радиоимпульсы и одиночные сигналы (например, анализатор С4-47).
П
ростейшая структурная схема дисперсионного анализатора спектра состоит из смесителя См, на который подается исследуемый сигнал ис и сигнал качающейся частоты от ГКЧ. Выходной сигнал смесителя усиливается широкополосным усилителем ШУПЧ промежуточной частоты и поступает на дисперсионную линию задержки ДЛЗ. На выходе ДЛЗ появляются частотные составляющие исследуемого импульса, которые поступают в канал У осциллографического индикатора. В канал X для развертки луча по горизонтали подается пилообразное напряжение от генератора развертки, которое одновременно и синхронно модулирует частоту ГКЧ. Благодаря этому горизонтальная линия развертки является осью частот.П

ри импульсных сигналах запуск генератора развертки и ГКЧ происходит в момент поступления импульса и он анализируется в течение одного хода луча, поэтому при трубке с достаточным послесвечением спектрограмма сохраняется в течение некоторого интервала времени, достаточного для фотографирования и рассмотрения. При периодически повторяющихся импульсах можно не только измерить спектрограмму, но и оценить происходящие изменения спектра от импульса к импульсу. При анализе спектра непрерывных сигналов ГК.Ч и ГР работают в периодическом режиме и часть спектра, приходящаяся на интервал времени обратного хода луча, теряется. Сигнал непрерывный разбивается на некоторые реализации длительностью τ, равной длительности прямого хода.Основное преимущество анализаторов с дисперсионной линией заключается в их большем быстродействии по сравнению с анализаторами последовательного действия с узкополосными фильтрами.
Цифровой анализ спектра
Бурное развитие цифровой вычислительной техники дало толчок для создания цифровых анализаторов спектра. Цифровой метод анализа спектра состоит в преобразовании исследуемого сигнала в цифровой код и вычислении составляющих спектра с помощью специализированных микропроцессоров. Цифровые анализаторы спектра по совокупности дискретных отсчетов (выборок) аналогового сигнала вычисляют спектральную плотность путем замены интеграла на конечную сумму из некоторого числа выборок. Такие вычисления осуществляются с помощью алгоритмов дискретного и быстрого преобразований Фурье.
Алгоритм дискретного преобразования Фурье
Е

сли сигнал u(t) со спектральной плотностью S(co) , являющийся непрерывной функцией времени в некотором ограниченном интервале 0...ТИ, дискретизирован в соответствии с теоремой Котельникова и отражен своими N отсчетами {u(kAf)} = {щ} с частотой дискретизации юи = 2я /Ги = 2n/(NAt), то его можно представить в виде дискретного преобразования Фурье (ДПФ).С
пектр процесса, полученный численными методами в виде конечных сумм дискретных решетчатых функций (ДПФ), отличается от спектра, вычисленного интегральными преобразованиями. Спектр ДПФ непрерывного сигнала периодически размножен: повторяется по оси частот с периодом, равным частоте следования отсчетов. Алгоритм дискретного преобразования Фурье имеет вид:
где С„ — комплексные гармонические составляющие исследуемого спектра; W = TJAt — необходимое число отсчетов, отвечающих требованиям теоремы Котельникова; п = 0, 1, 2,..., (N12 - 1) — номер спектральной составляющей.
Это фундаментальное для дискретных сигналов соотношение показано графически на рис. Дискретное преобразование Фурье по существу представляет собой алгоритм цифрового вычисления гармонических составляющих спектра С„ по заданным дискретным отсчетам щ аналогового сигнала u(t), что значительно сокращает время и объем обработки.
Быстрое преобразование Фурье
Б
ольшое время вычислений спектра препятствовало распространению цифровых методов спектрального анализа. Многократно сократить число операций позволяет быстрое преобразование Фурье (БПФ), обеспечивающее более скоростное и эффективное цифровое вычисление ДПФ. В основу алгоритма положен принцип разбиения (прореживания во времени, или децимации — от греч. деци — доля) заданной последовательности отсчетов дискретного сигнала на ряд промежуточных последовательностей (подпоследовательностей). При этом число дискретов N разделяют на множители (например, N = 8 = 2 2 2, N = 60 = 3 • 4 ■ 5). Затем определяют спектры этих промежуточных последовательностей и через них находят спектр всего сигнала. В зависимости от состава, числа и порядка следования множеств можно создать различные алгоритмы БПФ. В цифровой технике удобнее обрабатывать сигнальные последовательности с числом отсчетов N, являющимися степенью с основанием два (4, 8, 16 и т.д.). Это позволяет многократно делить входную последовательность отсчетов на более мелкие подпоследовательности.Пусть требуется вычислить ДПФ входной последовательности дискретного сигнала {u(k∆t)} = {uk}, имеющей четное число отсчетов (рис. а), причем N = 2г где г — целое число (если это условие не выполняется, то последовательность искусственно дополняют нулями до требуемого значения N). Представим входную последовательность в виде двух подпоследовательностей с четными и нечетными номерами и половинным числом членов в каждой (рис. б, в):

Коэффициенты ДПФ для подпоследовательностей с четными и нечетными номерами запишем отдельно:

Коэффициенты С„ результирующего ДПФ входной последовательности можно выразить через параметры С„ „ и С„ т двух вновь введенных подпоследовательностей. Из последней формулы нетрудно заметить, что в диапазоне номеров отсчетов от 0 до N/2-l, ДПФ входной последовательности определяется соотношением

Так как ДПФ четной и нечетной подпоследовательностей являются периодическими, имеющими период следования N12 то:

Запишем экспоненциальный множитель в формуле (11.10) при п = N12, т.е. для ДПФ С(дга + п)т,в виде:

С учетом двух последних выражений находим ДПФ входной последовательности для отсчетов с номерами отN12 до TV- 1:

Соотношения (11.10) и (11.11) представляют алгоритмы БПФ. Отметим, что экспоненциальные фазовые множители e~j2™IN в этих алгоритмах учитывают влияние сдвига нечетной подпоследовательности относительно четной
Чтобы еще уменьшить число вычислений, четную и нечетную подпоследовательности также разбивают на две промежуточные части. Разбиение продолжают вплоть до получения простейших двухэлементных последовательностей. Определив ДПФ данных простейших пар отсчетов, можно вычислить ДПФ четырехэлементных, восьмиэлементных и так далее подпоследовательностей. При объединении ДПФ четной и нечетной подпоследовательностей используют алгоритмы (11 10) и (11.11), подставляя в них соответствующие значения номеров Nw.n
Можно заметить, что вычисление по формулам (11.9) не потребует операций умножения, а только сложение и вычитание комплексных чисел. Учитываться же должны лишь операции умножения в алгоритмах (11.10) и (11.11) для различных п при разбиениях массива отчетов на мелкие подпоследовательности. Число этих операций при первом разбиении составляло N12. Тоже же число N12 операций требуется выполнить при каждом следующем разбиении. Итак, вдвое увеличивается число подпоследовательностей и вдвое сокращается наибольшее число п в формулах (11.10) и (11.11).
Вычисление коэффициентов ДПФ последовательности из N отсчетов по алгоритмам БПФ требует совершения примерно Nlog2N операций умножения Алгоритмы БПФ сокращают число операций по сравнению с алгоритмами ДПФ в N2I{N \og2N) = N/(log2N) раз. В частности, при количестве отсчетов N = 210, имеем log2iV = 10 и сокращение числа операций составляет N/(\og2N)« 100. При очень больших массивах отсчетов входного сигнала выигрыш в скорости обработки может достигать нескольких тысяч.
У
прощенная структурная схема цифрового анализатора спектра, реализующая один из алгоритмов БПФ, показана на рис.В схеме используются процессоры БПФ с каскадной структурой организации параллельной работы и содержатся q = log2N арифметических устройств (АУ,), а также q -1 блоков памяти (БПi) емкостью 2i комплексных слов каждый. В режиме реального времени все N отсчетов обрабатываемой группы через устройство ввода-вывода информации (УВВ) поступает в оперативное запоминающее устройство (ОЗУ). Последним тактом ввода группы отсчетов к ОЗУ последовательно подключаются арифметические устройства, которые осуществляют обработку информации в соответствии с заданным алгоритмом БПФ. Служебная информация о комплексных весовых коэффициентах exp(-j2πnk/N) вводится в арифметические устройства из постоянного запоминающего устройства (ПЗУ).
Вывод результатов обработки осуществляется непосредственно из АУ. Синхронизация работы всех устройств цифрового анализатора спектра выполняется командами, вырабатываемыми устройством управления (УУ).
Цифровые анализаторы спектра
Современный цифровой анализатор представляет собой качественно новый тип аппаратуры, в которой специфические функции многочисленных приборов моделируются с помощью набора компьютерных программ: для изменения характера функционирования достаточно вызвать соответствующую программу обработки без аппаратурной перестройки устройств. Комплекс программ современного цифрового анализатора спектра позволяет сочетать в одном приборе практически все функциональные возможности, необходимые для всестороннего исследования параметров различных сигналов и процессов.
Принцип действия цифрового анализатора спектра основан на вычислительных процедурах определения параметров и характеристик различных сигналов и процессов. В функциональные возможности современного цифрового анализатора заложены следующие алгоритмы:
• восстановление сигнала по его спектру, т.е. вычисление обратного преобразования Фурье;
• анализ и синтез характеристик электрических цепей: определение импульсных (реакция цепи на элементарные сигналы), передаточных и фазовых характеристик цепей с сосредоточенными параметрами (постоянными); анализ диаграмм Вольперта-Смитта (характеристики и параметры цепей с распределенными постоянными); устойчивость цепей со звеньями обратных связей — анализ диаграммы (критерия устойчивости) Найквиста;
• цифровая обработка и фильтрация сигналов и вычисление произведения спектров (операция, обратная свертке);
• корреляционный анализ детерминированных и случайных сигналов: вычисление корреляционных и взаимокорреляционных функций; определение фазовых соотношений сигналов (идентификация сигналов);
• спектральный анализ периодических, импульсных и случайных сигналов: анализ квадратурных составляющих — определение модуля спектра, фазового спектра, комплексного спектра; определение спектра мощности случайного процесса и его функции когерентности; вычисление взаимного спектра; усреднение спектра по полосе частот; определение кепстра сигналов — так называемый обобщенный или гомоморфный (гомоморфизм — неоднозначность) линейный анализ мультипликативных сигналов;
• измерение параметров сигналов (амплитуды, частоты, фазы, коэффициента или индекса модуляции, девиации (отклонения) частоты сигналов; определение параметров импульсных сигналов — амплитуды, длительности, длительностей переднего и заднего фронтов, периода следования и т.д.);
• анализ статистических характеристик случайных процессов; построение гистограмм (столбчатых распределений величин) мгновенных значений сигналов; определение одномерной плотности вероятности и интегральной функции распределения случайных процессов, характеристической функции.
Структурная схема современного цифрового анализатора спектра приведена на рисунке.
Исследуемые аналоговые сигналы по одному (А) или двум (А, Б) каналам подаются на соответствующие усилители с переменным коэффициентом усиления, которые приводят различные уровни входных сигналов (от 0,01 до 10 В) к стандартному значению, необходимому для нормальной работы последующих трактов. Затем сигналы поступают на ФНЧ, в котором выделяется полоса частот, подлежащая анализу. По команде исследователя фильтр может быть выключен. С выхода фильтров сигналы поступают на АЦП, где они преобразуются в параллельный десятиразрядный двоичный код. Возможна работа как одного, так и обоих каналов. В последнем случае выборки мгновенных значений сигнала проходят одновременно по обоим каналам, что позволяет сохранить в цифровом коде информацию о фазовых соотношениях сигналов, необходимую для измерения взаимных характеристик.
Ч
астота выборки определяется кварцевым генератором и может изменяться исследователем в пределах 0,2... 100 кГц. Эта частота определяет отсчетный масштаб прибора во временной и частотной областях.Тракт прохождения исследуемого сигнала от входа усилителей до выхода АЦП имеет калиброванные значения коэффициента передачи во всем диапазоне частот и уровней напряжений. Информация о значении коэффициента передачи и частота выборки вводятся в цифровое вычислительное устройство (микропроцессор) и учитываются при формировании конечного результата. Микропроцессор работает в соответствии с заложенной в него программой. Программа состоит из ряда подпрограмм, организующих ту или иную вычислительную операцию (вычисление спектра, корреляционной функции, построение гистограммы и т.д.). Вызов необходимой подпрограммы осуществляется с устройства управления. Результаты вычислений выводятся на индикаторное или регистрирующее устройство, в качестве которого может быть использован цифровой графопостроитель, принтер, цифровой магнитофон, дисковый накопитель, осциллограф или самописец. Отметим, что последние два подключаются через ЦАП. Все результаты сопровождаются масштабным коэффициентом для перевода их в физические единицы.
При анализе сигналов, представленных в цифровом виде (в виде числового ряда), данные вводятся непосредственно в цифровое вычислительное устройство с помощью устройства ввода цифровых данных с наборного табло пульта управления в десятичном коде.
Основные режимы работы цифрового анализатора спектра:
спектральный, статистический и корреляционный анализ;
измерение амплитудного и фазового спектров;
измерение передаточных функций электрических сигналов;
измерение свертки двух сигналов;
измерение спектра мощности, взаимного спектра;
измерение корреляционных функций;
измерение гистограмм амплитуд.
Анализаторы спектра на цифровых фильтрах
Внедрение цифровых методов обработки сигналов в измерительной технике привело к созданию эффективных и высокоскоростных анализаторов спектра на цифровых фильтрах. Цифровой фильтр имеет стабильную частотную характеристику, не нуждается в подстройке, компенсирующей неточности из-за старения элементов и его универсальность намного выше аналогового фильтра. При перестройке цифрового фильтра нет необходимости менять элементы, а достаточно его перепрограммировать. Однако главное преимущество цифровой фильтрации в измерительной технике — применение высокоточных цифровых детекторов и устройств усреднения (цифровых интеграторов). Цифровой детектор измеряет практически истинное среднее квадратическое значение анализируемого сигнала без ограничений, связанных с его амплитудным значением.
Цифровое устройство усреднения, обеспечивающее усреднение анализируемого сигнала по линейному и экспоненциальному (или показательному) законам, отличается универсальностью и эффективностью, недостижимым для аналоговых усредняющих устройств.
Цифровая обработка сигналов в анализаторах спектров
Одним из важнейших методов цифровой обработки сигналов в современной измерительной технике и, в частности, в анализаторах спектров, является цифровая фильтрация. Она заключается в цифровом преобразовании последовательности числовых отсчетов входного сигнала {u(k∆t)} = {uk} в последовательность числовых отсчетов {у(k∆t)} = {ук} выходного сигнала.
Рассмотрим упрощенную структурную схему цифровой обработки сигналов. Непрерывный сигнал uвх(t) = uвх (далее аргумент t опущен) поступает на вход АЦП, на выходе которого создается цифровой код в виде двоичного числа {u(k∆t)} = {uт} = uт с фиксированным количеством разрядов, соответствующий дискретным отсчетам входного сигнала.

Последовательность закодированных определенными цифрами отсчетов {uт} поступает в цифровой фильтр (ЦФ), представляющий собой, по сути дела, специализированный микрокомпьютер (раннее название — спецвычислитель). В цифровом фильтре осуществляется цифровая обработка сигнала в соответствии с определенным алгоритмом, в результате чего на его выходе появляются новые цифровые коды, соответствующие профильтрованному входному сигналу.
Обычно обрабатываемый сигнал с цифрового фильтра поступает на ЦАП, в котором цифровая форма сигнала преобразуется в аналоговую. Однако в измерительной технике часто используется преобразованный сигнал непосредственно в цифровой форме и при этом необходимость в ЦАП отпадает. Если же ЦАП включен в схему обработки, то на его выходе необходим синтезирующий фильтр (СФ) низкой частоты (по существу это ФНЧ), который будет производить сглаживание полученного аналогового сигнала. В результате сглаживания форма кривой выходного сигнала uBax(t) = uвых становится плавной, а не ступенчатой.
Структурные схемы линейных цифровых фильтров
Цифровые фильтры делятся на два больших класса: нерекурсивные и рекурсивные. Термин рекурсивный связан с известным математическим приемом — рекурсией — циклическим обращением к вычисленным данным, полученным на предыдущих этапах математических операций. Подробно о цифровых фильтрах в курсе схемотехники.
Измерение нелинейных искажений
Измерение ряда величин, характеризующих параметры сигналов или электрических цепей, осуществляют с помощью приборов, которые по построению аналогичны анализаторам спектра. К таким характеристикам относятся нелинейные искажения, которые возникают в цепях с нелинейной амплитудной характеристикой. При прохождении по таким цепям колебания теряют синусоидальную форму (искажаются) и в их спектре появляются высшие гармоники.
Возникающие при нелинейных искажениях гармоники можно исследовать и измерить с помощью анализаторов спектра. Известны несколько количественных показателей уровня нелинейных искажений. Наибольшее распространение получил такой показатель как коэффициент нелинейных искажений (коэффициент гармоник), представляющий собой отношение среднего квадратического значения всех высших гармоник напряжения (или тока)

к среднему квадратическому значению его первой гармоники U1.

Для измерения относительного значения напряжения гармоник можно использовать анализатор спектра, если его разрешающая способность позволяет наблюдать раздельно спектральные составляющие. Если детектор анализатора линейный, то вместо напряжений U1, U2,..., Un можно подставить значения их амплитуд, измеренных на экране анализатора в единицах длины.
Существуют специальные приборы, измеряющие коэффициент нелинейных искажений, называемые измерителями нелинейных искажений.

Упрощенная структурная схема аналого-цифрового измерителя нелинейных искажений.
В основе измерительной методики таких приборов лежит метод подавления основной частоты исследуемого сигнала.
Входное устройство служит для согласования измерительного прибора с источником исследуемого сигнала. Перед измерением переключатель Кл ставят в положение Калибровка. Затем с помощью усилителя уровень исследуемого напряжения повышают до такого фиксированного значения, при котором электронный цифровой вольтметр среднего квадратического значения будет проградуирован в величинах коэффициента нелинейных искажений. При этом измеряется среднее квадратическое значение напряжения всего исследуемого сигнала

Затем переключатель Кл прибора ставят в положение Измерение. Настраивая заграждающий фильтр, подавляют напряжение основной частоты (первой гармоники U1). Полное подавление гармоники U1, будет при минимальном показании прибора. В этом случае цифровой вольтметр показывает среднее квадратическое значение суммы высших гармонических составляющих сигнала Uг.
Сравнивая показания во втором и первом случаях, находят коэффициент гармоник

Практически при положении переключателя Кл Измерение будет измеряться коэффициент Кг1. При этом коэффициент гармоник Кг можно вычислить как:

При небольших нелинейных искажениях исследуемого сигнала (Кг<0,1) коэффициенты Кт и Кт1 отличаются меньше чем на 1 %. Обычно измерители нелинейных искажений применяются для измерения коэффициента гармоник Кт в пределах 0,1...30 %, в диапазоне частот от 0,01 кГц до 25 МГц и более.
Контрольные вопросы
1. Для каких целей используется спектральный анализ сигналов?
2. Какой физический смысл лежит в основе прямого и обратного преобразований Фурье?
3. Как аналитически записываются прямое и обратное преобразования Фурье?
4. На чем основан параллельный и последовательный анализ спектра исследуемых сигналов?
7. Как выглядит упрощенная структурная схема анализатора параллельного действия?
8. Что называется разрешающей способностью анализатора?
9. Как разрешающая способность связана с полосой пропускания фильтра анализатора?
10. Какова упрощенная структурная схема анализатора спектра последовательного типа?
11. Как связана скорость анализа с полосой пропускания анализатора?
12. Чему равно время анализа в схемах последовательного типа?
13. На чем основан принцип построения гетеродинного анализатора спектра последовательного типа?
14. Каковы основные характеристики гетеродинного анализатора?
17. Как записывается математическое выражение для коэффициента гармоник?
18. Каков алгоритм практического определения коэффициента гармоник?
