Разработка и совершенствование способов компенсации неактивной мощности дуговых сталеплавильных печей
| Вид материала | Автореферат |
- Задачи обследования компенсации реактивной мощности на предприятии Готман В. И., Маркман, 170.29kb.
- Аварка порошков предназначена для восстановления изношенных деталей машин и оборудования,, 23.29kb.
- Разработка рационального режима плавки стального полупродукта в сверхмощных дуговых, 291.01kb.
- Лекция №11 измерение мощности, 338.91kb.
- Діагностика в електромеханічних І енергетичних системах, 102.58kb.
- О. осадчая моральный вред в российском законодательстве и его регулирование конституцией, 145.86kb.
- Разработка оптимальных режимов термической обработки тяжелонагруженных деталей с переменным, 244.32kb.
- Совершенствование технологического процесса переработки сои с использованием различных, 53.51kb.
- Планов предприятия, их взаимосвязь, 40.37kb.
- Отчет о научно-исследовательской работе за 2008 год Тема нир: Разработка новых нанотехнологий, 100.77kb.
На правах рукописи
Панова Олеся Сергеевна
РАЗРАБОТКА И СОВЕРШЕНСТВОВАНИЕ СПОСОБОВ КОМПЕНСАЦИИ НЕАКТИВНОЙ МОЩНОСТИ
ДУГОВЫХ СТАЛЕПЛАВИЛЬНЫХ ПЕЧЕЙ
Специальность 05.09.12 – «Силовая электроника»
АВТОРЕФЕРАТ
диссертации на соискание ученой степени
кандидата технических наук
Москва 2010
Работа выполнена на кафедре Промышленной электроники Московского энергетического института (Технического университета)
Научный руководитель: кандидат технических наук, доцент
Чаплыгин Евгений Евгеньевич
Официальные оппоненты: доктор технических наук, профессор
Розанов Юрий Константинович;
кандидат технических наук
Сухов Александр Валерьевич
Ведущее предприятие: Научно-исследовательский институт
электроэнергетики ОАО «ВНИИЭ»
Защита состоится « 28 » мая 2010 года в 14 часов на заседании диссертационного совета Д 212.157.12 при Московском энергетическом институте (Техническом университете) по адресу 111250, Москва, ул. Красноказарменная, д. 13, аудитория Е-603
С диссертацией можно ознакомиться в библиотеке Московского энергетического института (Технического университета).
Отзывы на автореферат в двух экземплярах, заверенные печатью учреждения, просим присылать по адресу: 111250, Москва, ул. Красноказарменная, д. 14, Ученый совет МЭИ.
Автореферат разослан «___» ________2010 года.
Ученый секретарь
Диссертационного совета Д 212.157.12 Буре И.Г.
кандидат технических наук, доцент
З
ОБЩАЯ ХАРАКТЕРИСТИКА РАБОТЫ
Актуальность проблемы. В настоящее время доля стали, выплавляемой в дуговых сталеплавильных печах (ДСП) в объеме мировой выплавки стали превышает 30%. Увеличение выплавки сопровождается ростом вместимости печей и их мощности. В настоящее время мощность ДСП, рассчитанных на питающее напряжение 35 кВ, достигает 100 - 200 МВА.
Дуговые сталеплавильные печи как нагрузки негативно влияют на качество электрической энергии питающей сети. Характер потребления активной и реактивной электроэнергии печными агрегатами соответствует их резкопеременным, повторно кратковременным режимам работы. Работа ДСП с нестабильным потреблением реактивной мощности сопровождается в электрической сети потреблением неактивной мощности и возникновением колебаний напряжения (эффект фликера). Несинусоидальность и несимметричность фазных токов, потребляемых печью, приводит к искажению формы кривой и несимметрии напряжения и появлению медленно изменяющейся постоянной составляющей тока, что в свою очередь оказывает негативное влияние на сетевое оборудование, увеличивая потери и уменьшая срок его службы.
Эффективным энергосберегающим мероприятием по повышению качества электроэнергии является установка средств компенсации неактивной мощности. Для компенсации неактивных составляющих полной мощности ДСП применяются различные сетевые компенсаторы (фильтры), подключаемые параллельно входу ДСП. Высокий уровень мощностей и напряжений ДСП ограничивает до настоящего применение в компенсаторах полностью управляемых полупроводниковых ключей. Поэтому главное внимание уделено бестрансформаторным компенсаторам на базе однооперационных тиристоров, успешно применяющихся в высоковольтных устройствах. Тиристорно-реакторная группа (ТРГ) в сочетании с резонансным пассивным сетевым фильтром является наиболее распространенным компенсатором реактивной мощности и давно находит применение в промышленности. Компенсация реактивного тока ДСП позволяет повысить рабочее напряжение ДСП и повысить ее производительность на 20 %.
Этим вопросам посвящен ряд работ отечественных и зарубежных авторов: Матура Р.М, Штейнмеца Ч.П., Железко Ю.С., Тропина В.В., Розанова Ю.К., Чаплыгина Е.Е., Жежеленко И.В, L. Gyugyi, N.G. Hingorani и др. В их работах успешно использованы различные методы для решения задач, связанных с обеспечением качества электроэнергии, потребляемой резкопеременной нагрузкой.
Однако недостаточно изученными остаются вопросы выбора величины реактивных элементов компенсатора при работе на стохастическую нагрузку. Практически не рассматривался вопрос о способах компенсации низших гармоник спектра тока ДСП – медленно изменяющейся постоянной составляющей.
Функции компенсации постоянной составляющей тока ДСП могут возлагаться как на ТРГ, так и на активный сетевой фильтр, выполненный на базе выпрямителя на однооперационных тиристорах (ВСФ), на стороне постоянного тока которого подключен индуктивный накопитель энергии. Работа ТРГ и ВСФ в режиме компенсации низкочастотных составляющих тока практически не исследовалась, не проводилось и сопоставление различных способов решения этой задачи, включая исследование динамических режимов работы компенсаторов и способов построения систем управления.
При выполнении работы использован опыт работы ЗАО «Ансальдо-ВЭИ» над созданием компенсаторов для ДСП мощностью 40 МВА для предприятия Новоросметалл, а также результаты экспериментальных исследований указанной ДСП.
Цель работы заключается в исследовании возможных способов компенсации неактивных составляющих тока ДСП и усовершенствовании их, в том числе для компенсации медленно изменяющейся постоянной составляющей тока ДСП, определении оптимальных алгоритмов управления компенсатором с точки зрения качества подавления неактивных составляющих полной мощности.
Основные задачи. Для достижения поставленной цели в диссертации решены следующие задачи:
- Разработан метод статистического моделирования для определения реактивных токов, требуемых для компенсации реактивной мощности ДСП. Рассчитана требуемая мощность пассивного фильтра.
- Разработаны быстродействующие модели для исследования электромагнитных процессов в ТРГ и ВСФ, основанные на модифицированном спектральном методе переключающих функций.
- Разработаны алгоритмы управления ТРГ и ВСФ в режиме компенсации постоянной составляющей, построены регулировочные характеристики, проведено сопоставление решений по энергетическим параметрам сети и аппаратным затратам, необходимым для выполнения указанной задачи.
- Проведен анализ способов построения систем управления ВСФ и ТРГ при управлении стохастическим объектом, исследован вопрос выбора частоты управления и на основе сопоставления различных вариантов выбраны алгоритмы управления, обеспечивающие максимально возможную для устройств на однооперационных тиристорах компенсацию неактивных составляющих токов ДСП.
Методика исследований. Для решения поставленных задач использованы методы гармонического анализа и теории вероятностей, статистические модели на базисе MathCad, спектральные модели на основе метода переключающих функций, моделирование на основе пакетов прикладных программ Matlab-Simulink, программы математических расчетов в среде SharpDevelop с использованием осциллограмм реальных напряжений и токов печи. Проведены эксперименты на физических моделях (макетах) ТРГ полной мощностью 2 кВА и ВСФ полной мощностью 5 кВА.
Достоверность научных результатов обеспечена сопоставлением основных результатов, полученных на основе различных методов математического моделирования, и воспроизведением зависимостей на физических моделях (макетах) ТРГ и ВСФ.
Научная новизна работы заключается в следующем:
- Предложен оригинальный способ статистического моделирования для определения требуемых реактивных токов для компенсации реактивной мощности ДСП.
- Разработаны быстродействующие спектральные модели компенсаторов ТРГ и ВСФ.
- Определены возможности и способы компенсации медленно изменяющейся постоянной составляющей тока печи с помощью ТРГ либо ВСФ, проведено сопоставление эффективности компенсации и затрат, показаны преимущества ВСФ для решения этой задачи, и предложена система управления компенсатором.
- Предложен оригинальный алгоритм управления ТРГ, обеспечивающий высокое качество компенсации колебаний реактивного тока ДСП при упрощении построения микропроцессорной системы управления.
Практическая ценность работы заключается в следующем:
- Применение статистического метода по определению мощности компенсатора, что позволяет более точно рассчитать параметры реактивных элементов и ключей, используя реальные данные с объекта.
- Применение ВСФ позволяет компенсировать медленно изменяющуюся постоянную составляющую токов ДСП, что улучшает качество сетевого тока, позволяет снизить затраты на трансформаторное оборудование, уменьшая потери и продлевая срок его службы.
- Применение предложенных алгоритмов управления при компенсации постоянной составляющей и реактивной мощности позволяет достичь высоких показателей подавления неактивных составляющих тока ДСП при использовании микропроцессоров массового применения.
На защиту выносится:
- Методика оценки мощности обобщенного компенсатора с учетом стохастических характеристик объекта.
- Анализ работы ТРГ при компенсации реактивной мощности и медленно изменяющейся постоянной составляющей тока ДСП и результаты этого анализа, построение регулировочных характеристик ТРГ.
- Анализ работы ВСФ в режиме компенсации медленно изменяющейся постоянной составляющей тока ДСП, способ построения регулировочных характеристик, обеспечивающий минимизацию установленной мощности накопительного элемента.
- Результаты сопоставления способов подавления медленно изменяющейся постоянной составляющей тока печи базе ТРГ либо ВСФ.
- Сравнительный анализ способов управления ТРГ и ВСФ и результаты анализа.
Апробация работы. Основные положения работы докладывались на научных семинарах кафедры Промышленной электроники МЭИ и на международных научно-технических конференциях студентов и аспирантов в 2008, 2009 и 2010 г.
Публикации: по результатам работы опубликовано 5 работ: 2 статьи и 3 публикации тезисов докладов.
Структура и объем работы. Диссертация состоит из введения, четырех глав, заключения, списка литературы, приложений. Содержит 173 стр. текста, 9 таблиц и 68 рисунков. Список литературы содержит 90 наименований на 6 страницах.
ОСНОВНОЕ СОДЕРЖАНИЕ РАБОТЫ
Во Введении обоснована актуальность темы, сформулированы цель и задачи исследований, дана краткая характеристика работы.
В главе 1 вначале дан обзор основных положений теории мощности и проведен анализ основных составляющих неактивного тока печи. ДСП является стохастической несимметричной нагрузкой, спектр тока печи содержит субгармонические (0-50 Гц) и высокочастотные (100, 150, 200, 250, 300 Гц и т.д.) колебания. Временная диаграмма тока ДСП и спектр приведены на рис. 1 а, б.

а)

б)
Рис. 1.
При анализе неактивного тока ДСП выделяются следующие составляющие:
1) Основная гармоника тока, модулированная во времени по случайному закону (составляющие спектра тока от 25 до 75 Гц). Анализ основной гармоники показал, что математическое ожидание фазового угла тока печи составляет 30 град. Амплитуда активной и реактивной составляющих модулирована по случайному закону. Заметная корреляция процессов в разных фазах отсутствует, хотя сумма фазных токов равна нулю.
2) Низкочастотные гармоники спектра ДСП (частоты от 0 до 25 Гц) могут быть представлены как медленно изменяющаяся от периода к периоду постоянная составляющая тока. Корреляция между фазами также очень слабая, хотя сумма постоянных составляющих токов равна нулю.
3) Высокочастотные составляющие, искажающие форму тока печи.
Каждая из этих составляющих негативно влияет на работу сети и силового оборудования. Реактивный ток вызывает снижение питающего напряжения и производительности печи на 20 %. Флуктуации амплитуды реактивного тока снижают качество напряжения сети и вызывают эффект фликера. Медленно изменяющаяся постоянная составляющая и несимметричная нагрузка по фазам негативно влияют на работу трансформатора, увеличивает потери и приводит к завышению его установленной мощности. Высокочастотные гармоники вызывают дополнительные потери и снижают срок службы оборудования.
Для компенсации неактивных составляющих полной мощности ДСП применяются различные сетевые компенсаторы (фильтры), подключаемые параллельно входу ДСП. Компенсаторы подразделяются на пассивные, состоящие исключительно из реактивных элементов, и активные, содержащие мощные полупроводниковые ключи. Широко распространено применение гибридных фильтров, представляющих собой совокупность пассивных и активных компенсаторов. Высокий уровень мощностей и напряжений ДСП ограничивает применение в компенсаторах полностью управляемых полупроводниковых ключей. Поэтому, учитывая несимметричность токов, рассматриваются бестрансформаторные компенсаторы на базе однооперационных тиристоров.
Тиристорно-реакторная группа ТРГ (рис. 2) в сочетании с резонансным пассивным сетевым фильтром – фильтро-компенсирующими цепями (ФКЦ) является наиболее распространенным компенсатором реактивной мощности и давно находит применение в промышленности. ФКЦ содержит резонансные контуры и в значительной мере подавляет высокочастотные составляющие тока печи, и является источником постоянной емкостной реактивной мощности. ТРГ при фазовым управлении позволяет изменять основную гармонику реактивного тока.
В существующих компенсаторах задача ограничивается лишь компенсацией реактивной мощности и подавлением флуктуаций реактивного тока.

Рис. 2.
Функции компенсации постоянной составляющей тока ДСП могут возлагаться как на ТРГ, так и на активный сетевой фильтр ВСФ, выполненный на базе выпрямителя на однооперационных тиристорах, на стороне постоянного тока которого подключен индуктивный накопитель энергии. Работа ТРГ и ВСФ в режиме компенсации постоянной составляющей тока практически не исследовалась, как не проводилось и сопоставление различных способов решения этой задачи.
Глава 2 посвящена разработке метода статистического моделирования для определения мощности компенсатора с учетом стохастических характеристик ДСП и анализу тиристорно-реакторного компенсатора. Несмотря на опыт применения гибридных компенсаторов для ДСП, отсутствует методика определения мощностей его звеньев при учете вероятностных параметров печи.
Токи ДСП в каждой фазе имеют активные и реактивные составляющие первой гармоники. Для осуществления полной компенсации необходимо, чтобы в фазах компенсатора протекали такие реактивные токи, чтобы они были равны и противоположны по знаку соответствующим реактивным фазовым токам печи. Данное условие будет выполнено, если реактивные сопротивления обобщенного компенсатора будут соотноситься с токами печи по следующим выражениям:
,
, (1)
. Поскольку ДСП является стохастическим объектом, то для выбора мощности компенсатора необходимо охватить все режимы плавки, получить значения токов для каждого режима и выбрать из них максимальные.
Проводится модельный эксперимент, в котором ток печи задается постоянной и переменной составляющими, для имитации последней используется датчик случайных чисел (при проведении эксперимента моделировалось 10000 режимов):
(2)где ΔImax – максимальное отклонение тока от стационарного значения Iстац;
η(n) – случайное число, принимающее значения от 0 до 1:
n – номер режима.
Но в этом случае возникает проблема, связанная с тем, что сумма токов ДСП в каждом режиме должна быть равна нулю и статистически фазы печи должны быть идентичны. При независимом задании статистически идентичных трех фазных токов данное условие не выполняется. В случае задания двух токов переменная составляющая третьего тока определяется суммой отклонений двух других токов и в соответствии с Теорией ошибок имеет иные статистические характеристики и отклонения, выходящие за заданный диапазон разброса. Проблема решается путем определения параметров эквивалентной схемы для каждой фазы и их корректировки на основе метода Рунге-Кутта.
На рис. 3 приведены результаты эксперимента – требуемые токи в ветвях компенсатора. Для рассматриваемой в работе ДСП в одном плече треугольника компенсатора требуется изменять реактивный ток от 900 А емкостного тока до 200 А индуктивного. Таким образом, с учетом стохастических характеристик объекта определяются требуемые токи компенсатора, максимальные токи пассивного фильтра и ТРГ.

Рис. 3
Индуктивно-тиристорный компенсатор ТРГ является полифункциональным устройством. В симметричном режиме это плавнорегулируемый потребитель реактивной мощности (режим I). При несимметрии углов проводимости тиристоров ТРГ может быть не только потребителем реактивной мощности, но и источником регулируемой постоянной составляющей тока (режим II).
Для анализа электромагнитных процессов в ТРГ создана быстродействующая спектральная модель, обладающая высокой производительностью. Результаты спектрального моделирования выборочно проверены на модели в базисе MATLAB-SIMULINK и на макете ТРГ.
В режиме I ТРГ компенсирует разницу между емкостной реактивной мощностью пассивных фильтров ФКЦ и индуктивной мощностью ДСП. В соответствии с проведенным анализом для рассматриваемой ДСП требуется генерация основной гармоники реактивного тока с амплитудой Iосн.m от 0 до 1100 А (основной ток), при этом максимальная мощность трехфазного компенсатора равна 82 МВАр, реактивное сопротивление в ветви ТРГ на частоте сети 45 Ом, при этом величина индуктивности равна 143 мГн.
В режиме II ТРГ одновременно с компенсацией реактивной составляющей может компенсировать медленно изменяющуюся постоянную составляющую сети при работе в несимметричном режиме, когда за счет несимметрии углов задержки включения тиристоров среднее значение одной из полуволн тока в ветви ТРГ больше, чем на другой. Таким образом, ток ТРГ должен помимо основного тока содержать дополнительную постоянную составляющую:
IТРГ = Iосн.m·sin(ωсети t) + Iдоп. (3)
Поскольку отсутствует заметная корреляция между величиной реактивного тока печи и постоянной составляющей тока, то Iосн.m и Iдоп могут принимать любые значения в заданных пределах. Таким образом, выделяются два критических режима:
Режим A. Токи Iосн.m = 0, а Iдоп максимален. В этом режиме компенсатор формирует ток только одной полярности, так что его среднее значение равно Iдоп.макс. При этом ток ТРГ в этом режиме содержит дополнительную реактивную составляющую, так называемый балластный ток Iбалл, который должен быть скомпенсирован емкостным током пассивного компенсатора:
IТРГ = Iосн.m·sin(ωсети t) + Iдоп+ Iбалл.макс·sin(ωсети t). (4)
Режим B. Токи Iосн.m и Iдоп максимальны. При этом, как показывает расчет, максимальный ток через ветвь ТРГ равен:
IТРГ.m = Iосн.m + 2,8 Iдоп.макс. (5)
Для рассматриваемой ДСП IТРГ.m = 1660 А. Реактивное сопротивление в ветви ТРГ на частоте сети 32 Ом, при этом величина индуктивности равна 102 мГн.
На рис. 4, а - г приведены результаты спектрального моделирования симметричного режима I (а, б) и несимметричного режима II, В (в, г).
Таким образом, при работе ТРГ в режиме II требуемая реактивная мощность ТРГ и ФКЦ увеличивается на 40%, при этом мощность искажения ТРГ увеличивается в 2,8 раза (см. табл. 1).
а) | в) |
б) | ![]() г) |
Рис. 4.
Табл. 1.
| Компенсатор | Режим | QMAX, МВАР | TMAX, МВА | IMAX, А |
| ТРГ | Режим I | 82 | 11,4 | 560 |
| Режим II | 115 | 31,6 | 860 | |
| ФКЦ | Режим I | 67 | - | - |
| Режим II | 94 | - | - |
В главе 3 проводится анализ выпрямительного компенсатора ВСФ в режиме компенсации медленно изменяющейся постоянной составляющей.
Тиристорный сетевой фильтр (см. рис. 2) повторяет схему выпрямителя с индуктивным накопителем в цепи постоянного тока, осуществляющий двухсторонний обмен энергией. Активная мощность, потребляемая таким компенсатором в установившемся режиме, равна мощности потерь в самом компенсаторе.
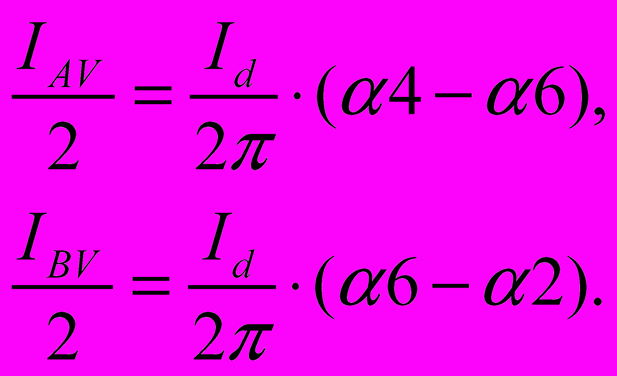
ВСФ является полифункциональным устройством, но его работа в качестве компенсатора медленно изменяющейся постоянной составляющей ранее не исследовалась. При работе ВСФ в режиме компенсации постоянной составляющей на периоде задаются значения постоянных токов в фазах фильтра: IAV, IBV, ICV = -(IAV + IBV).
При регулировании осуществляется независимое управление углами задержки включения всех шести тиристоров, причем для однозначного определения всех углов управления тиристоров ВСФ вводятся дополнительные условия – симметричность работы анодной и катодной групп, при этом обеспечивается равенство нулю напряжения, формируемого каждой группой на стороне постоянного тока:


(6)
При выполнении режима компенсации постоянной составляющей токов печи на ВСФ возлагаются задачи оптимизации параметров схемы:
- ВСФ должен обеспечивать формирование медленно изменяющихся постоянных составляющих фазных токов в пределах от -200 А до +200 А.
- Необходимо минимизировать максимальный реактивный фазовый ток. Этот ток является балластным током, поскольку он должен быть скомпенсирован в каждой фазе емкостным током пассивного фильтра ФКЦ.
- Необходимо минимизировать величину индуктивности накопительного элемента в цепи постоянного тока и его установленную мощность.
С учетом заданных требований на основе модельного эксперимента выявлен критический режим, в котором выбираются значения индуктивности накопителя и усредненного значения тока накопителя, который должен оставаться непрерывным. Результаты модельного эксперимента представлены на рис. 5, а – в.
Для ВСФ при проведении модельного эксперимента построены регулировочные характеристики в режиме компенсации постоянной составляющей. На рис. 6 представлена регулировочная характеристика для угла управления α1.

а)

б)

в)
Рис. 5

Рис. 6
Система управления ВСФ содержит два контура управления. Первый из них обеспечивает формирование сетевых токов с нужными параметрами. Второй стабилизирует средний ток накопительного элемента. При наличии коммутационных процессов и активных потерь ток накопителя падает, при этом необходимо уменьшить углы управления тиристоров. Таким образом, в систему управления вводится корректирующая поправка по углу, величина которой позволяет восстановить среднее значение тока накопителя, при этом, как показало моделирование в базисе MATLAB-SIMULINK, достаточно корректировать углы управления всех тиристоров на одну и ту же величину.
Проведенные исследования компенсации медленно изменяющейся постоянной составляющей тока печи с помощью ТРГ и ВСФ позволяют сравнить эти варианты. В таблице 2 приведены максимальные значения мощностей и токов тиристоров. При компенсации постоянной составляющей токов печи с помощью ВСФ мощность ФКЦ увеличиваются на 20% вместо 40% при использовании ТРГ. Мощность искажения уменьшается на 9,2 МВА, реактивная мощность снижается на 12 МВАР, при этом увеличения суммарных токов тиристоров не наблюдается.
Таким образом, показана целесообразность введения в компенсатор неактивной мощности для компенсации постоянных токов печи именно ВСФ.
Табл. 2.
| Компенсатор | Режим | QMAX, МВАР | TMAX, МВА | IMAX, А |
| ТРГ | Режим I | 82 | 11,4 | 560 |
| Режим II | 115 | 31,6 | 860 | |
| ВСФ | Режим II | 14 | 11 | 300 |
| ФКЦ | Режим I | 67 | - | - |
| Режим II ТРГ | 94 | - | - | |
| Режим II ВСФ | 80 | - | - |
В главе 4 рассматриваются способы построения систем управления ВСФ и ТРГ при управлении стохастическим объектом.
По результатам исследований, проведенных в главе 2 и 3, найдены способы, позволяющие сформировать компенсирующие токи требуемой величины – реактивную составляющую или постоянную составляющую. Но для компенсации неактивных составляющих тока печи необходимо априорное определение их значений на текущем периоде. Поскольку ДСП представляет собой стохастическую резкопеременную нагрузку, то априорное определение составляющих токов возможно лишь на основе прогноза. Прогноз составляется на основе измерения тока печи на одном или нескольких периодах управления (например, на периоде сети).
На рис. 7 построены частотные характеристики, отражающие эффективность компенсации в зависимости от частоты. Чем выше частота, тем менее эффективна компенсация, высшие гармоники могут усиливаться. При увеличении интервала усреднения увеличение высших гармоник незначительно, но хуже подавляются низкочастотные составляющие. Поэтому увеличение интервала усреднения нецелесообразно. Для ограничения высокочастотных составляющих предложено ограничить скорость изменения тока компенсатора, но и при оптимальном уровне ограничения 50 А, но, как показал модельный эксперимент, в при этом способ управления по периодам не является достаточно эффективным.

Рис. 7.
При увеличении частоты управления (управление по полупериодам) возникает проблема выделения постоянной составляющей из мгновенных значений тока печи на полупериоде. Рассматривалось несколько вариантов вычисления постоянной составляющей по полупериодам, и выявлено, что наименьшие погрешности получаются при сдвиге интервала усреднения относительно момента перехода фазного напряжения через ноль на плюс 60 град. При этом способе управления амплитуды гармоник в среднем снижаются на 60 %, при этом высокочастотная область остается практически нетронутой (рис. 8).

а)

б)
Рис. 8.
В таблице 3 приведены среднеквадратические значения составляющих спектра при рассмотренных способах компенсации медленно изменяющейся постоянной составляющей тока ДСП. Значения получены при рассмотрении различных режимов работы ДСП.
Табл. 3.
| Интервал управления | Способы управления | Сс.кв |
| ДСП без компенсатора | - | 110 |
| Период сети | При w=1 без ограничения производной | 102 |
| То же | При w=2 без ограничения производной | 101 |
| То же | При w=3 без ограничения производной | 97 |
| То же | При w=1 с ограничением производной на уровне 200 А | 101 |
| То же | При w=1 с ограничением производной на уровне 100 А | 98 |
| То же | При w=1 с ограничением производной на уровне 50 А | 95 |
| Половина периода сети | Отставание интервала управления от момента перехода напряжения через ноль на 30º | 85 |
| То же | Опережение интервалом управления момента перехода напряжения через ноль на 60º | 57 |
Управление ВСФ по полупериодам было проверено на математической модели ВСФ и на макете, результаты моделирования представлены на рис. 9. ВСФ обладает требуемыми динамическими свойствами и позволяет осуществить компенсацию медленно меняющейся постоянной составляющей тока печи при управлении по полупериодам. Высокие динамические свойства компенсатора достигнуты за счет симметрирования углов управления тиристоров, которое было произведено при выборе алгоритма работы ВСФ и построении его регулировочных характеристик. Работа при управлении по полупериодам не сопровождается кумуляцией энергии в накопительном элементе.

а)

б)

в)

г)

д)
Рис. 9
При компенсации реактивной составляющей тока с помощью ТРГ рассматривается также управление по полупериодам. Важным отличием системы компенсации реактивного тока от компенсации медленно изменяющейся постоянной составляющей является то, что необходимо компенсировать фазовый ток системы (ДСП, пассивный фильтр, ВСФ) в то время как ТРГ соединена по схеме треугольника и управление током осуществляется в ветвях этого треугольника за счет изменения реактивной проводимости ветвей. Если обозначить амплитуды реактивных фазовых токов печи как IAp, IBp, ICp., а амплитуды реактивных токов в ветвях треугольника ТРГ IAB, IBC, ICA, то токи компенсатора будут связаны следующими соотношениями:
(7)Для определения закона модуляции амплитуды реактивной составляющей тока фазы используется разложение в ряд Фурье на половине периода частоты сети. При синусоидальности тока результат интегрирования не зависит от сдвига момента начала интегрирования и дает тот же результат, что и интегрирование на периоде. Значительное влияние на результат интегрирования оказывают низкочастотные составляющие, в частности постоянная составляющая (формула 1):
(8)
(9)Второе слагаемое в выражении (8)
– ошибка в определении амплитуды реактивной составляющей. Для компенсации ошибки амплитуда несинусоидального реактивного тока iнс(t) может вычисляться по формуле (9). Наиболее эффективным способом управления ТРГ является следующий: реактивные токи всех фаз определяются одновременно на интервале длительностью 180 град. Сразу по завершении измерений происходит загрузка модуляторов всех фаз ТРГ. Параллельно во времени происходит интегрирование на втором интервале длительностью 180 град., который отстает от первого на 60 град. По завершении второго интервала также происходит загрузка (обновление) сигналов на входе модуляторов всех фаз. Далее процесс развивается аналогично. Перезагрузка модуляторов происходит шесть раз за период сети. Ошибка по скорости, вызванная приращениями амплитуды реактивного тока минимальна. Таким образом, обеспечивается минимальная задержка в отработке возмущений и повышенное быстродействие.
На рис. 10 представлены результаты исследования способа – спектры огибающих амплитуд реактивного тока ДСП и суммарного тока системы «ДСП-компенсатор». В среднем гармоники подавляются на 60%.

а)

б)
Рис. 10.
В таблице 4 приведены значения среднеквадратического и максимального отклонения при рассмотренных способах компенсации реактивной составляющей тока ДСП. Значения предельных отклонений получены при рассмотрении различных режимов работы ДСП.
Табл. 4.
| Интервал управления | Способы управления | Хс.кв | |xmax| |
| ДСП без компенсатора | - | 180 | 875 |
| Половина периода сети | Способ 1 | 155 | 700 |
| Способ 2 | 95 | 440 | |
| Способ 3 | 75 | 360 |
Динамика работы ТРГ проверена на компьютерной модели и на макете ТРГ в характерных режимах. Высокие динамические свойства компенсатора объясняются тем, что в нем не может быть кумуляции энергии, поскольку он функционирует в режиме прерывистых токов.
В заключении главы рассматриваются принципы реализации микропроцессорных систем управления ТРГ и ВСФ. Составлены алгоритмы микропроцессорного управления ТРГ и ВСФ, которые использованы для управления моделями компенсаторов.
ВЫВОДЫ
1. Предложен способ статистического моделирования для определения требуемых реактивных токов для компенсации реактивной мощности ДСП на основе анализа обобщенного компенсатора. Рассчитаны требуемые мощности пассивного фильтра и активного компенсатора реактивной мощности.
2. Предложены способы спектрального моделирования ТРГ и ВСФ. С помощью разработанных спектральных моделей проведен анализ электромагнитных процессов в компенсаторах в режимах генерации реактивного тока и медленно изменяющейся постоянной составляющей. Определена требуемая полная мощность и ее составляющие активных компенсаторов, получены регулировочные характеристики, реализация которых в ВСФ исключить кумуляцию энергии в накопительном элементе и осуществлять управление по полупериодам частоты сети.
3. Проведен анализ ТРГ в режиме компенсации постоянной составляющей, который показал, что для осуществления данного режима необходимо увеличение мощности ТРГ на 40% и увеличение мощности ФКЦ на 40%.
4. Определена минимальная мощность накопительного элемента ВСФ. Проведено исследование ВСФ на математических моделях в среде MatLab-Simulink с учетом коммутационных процессов и потерь. Установлено, что для возвращения в расчетный режим компенсации постоянной составляющей достаточно коррекции углов задержки включения всех тиристоров на одинаковую величину, что может быть практически осуществлено с помощью обратной связи по току накопительного элемента.
5. Проведен сравнительный анализ затрат на оборудование при работе ТРГ и ВСФ в режиме компенсации постоянной составляющей. Установлено, что преимущества обеспечивает использование для этой цели ВСФ, при этом не увеличиваются затраты на полупроводниковые приборы, уменьшаются затраты на конденсаторы ФКЦ на 20%, снижается мощность искажения в системе.
6. Исследована динамика процессов компенсации неактивных составляющей полной мощности стохастического объекта. Установлено, что для качественной компенсации медленно изменяющейся постоянной составляющей и флуктуаций реактивного тока необходимо управление по полупериодам частоты сети. Рассмотрены способы выделения постоянной составляющей и флуктуаций реактивного тока при измерениях на половине периода сети. Предложены способы управления, позволяющие снизить погрешности при измерениях и задержку в отработке возмущений. Разработаны алгоритмы управления микропроцессорными системами управления ТРГ и ВСФ.
7. Проведены исследования динамики ВСФ и ТРГ на компьютерных и физических моделях, которые показали, что данные устройства обладают требуемыми динамическими свойствами и позволяют осуществить компенсацию неактивных составляющих полной мощности ДСП. Применение предложенных алгоритмов управления по полупериодам позволяет снизить медленно меняющуюся постоянную составляющую в 2 раза. Подавление флуктуаций реактивного тока составляет 60% в области частот фликера (от 5 до 15 Гц).
СПИСОК ПУБЛИКАЦИЙ ПО ТЕМЕ ДИССЕРТАЦИИ
- Чаплыгин Е. Е., Ковырзина О. С. Компенсация неактивных составляющих полной мощности дуговых сталеплавильных печей // Электричество, № 11, 2009, с. 30-38.
- Чаплыгин Е. Е., Ковырзина О. С., Мологин Д. С. Исследование токов дуговой сталеплавильной печи с целью выбора оптимальной схемы компенсации // Практическая силовая электроника, № 34, 2009, с. 47-50.
- Ковырзина О. С. Математическое моделирование дуговых сталеплавильных печей. // XIV международная научно-техническая конференция студентов и аспирантов/Тезисы докладов. – М.МЭИ, 2008. с. 218.
- Ковырзина О. С. Выбор элементов статического тиристорного компенсатора неактивной мощности в сетях с дуговыми сталеплавильными печами. // XV международная научно-техническая конференция студентов и аспирантов/Тезисы докладов. – М.МЭИ, 2009. с. 199.
- Ковырзина О. С. Метод скользящего среднего для систем компенсации неактивной мощности в сетях с дуговыми сталеплавильными печами. // XVI международная научно-техническая конференция студентов и аспирантов/Тезисы докладов. – М.МЭИ, 2010. с. 250.

а)
в)
б)