Конспект лекций по курсу «анализ и диагностика финансово-хозяйственной деятельности предприятия»
| Вид материала | Конспект |
- Конспект лекций по дисциплине «анализ и диагностика финансово-хозяйственной деятельности, 1438.3kb.
- Курсовая работа на тему: Анализ и диагностика финансово хозяйственной деятельности, 735.02kb.
- Анализ и диагностика финансово-хозяйственной деятельности предприятия, 6551.71kb.
- Рабочая программа по дисциплине "Анализ и диагностика финансово-хозяйственной деятельности, 159.79kb.
- Анализ экономической эффективности финансово-хозяйственной деятельности предприятия, 481.25kb.
- Задачи анализа и диагностики финансово-хозяйственной деятельности предприятия в условиях, 51.87kb.
- Задачи анализа и диагностики финансово-хозяйственной деятельности предприятия в условиях, 54.11kb.
- Рабочая учебная программа дисциплины «анализ и диагностика финансово-хозяйственной, 458.65kb.
- Отчетности предприятия, 21.89kb.
- Учебно-методический комплекс дисциплины: «Анализ и диагностика финансово-хозяйственной, 437.62kb.
Фролова Т.А. 2008г.
Конспект лекций по курсу
«АНАЛИЗ И ДИАГНОСТИКА ФИНАНСОВО-ХОЗЯЙСТВЕННОЙ ДЕЯТЕЛЬНОСТИ ПРЕДПРИЯТИЯ»
Содержание:
Тема 1. ПРЕДМЕТ И МЕТОДЫ ЭКОНОМИЧЕСКОГО АНАЛИЗА 2
1. Экономический анализ: сущность, виды и задачи 2
2. Методы экономического анализа 4
3. Способы обработки экономической информации 5
4. Способы оценки влияния факторов в анализе 6
Тема 2. АНАЛИЗ ФИНАНСОВОГО СОСТОЯНИЯ ПРЕДПРИЯТИЯ 10
1. Анализ изменений в составе и структуре активов и пассивов 10
Аналитическая группировка и анализ статей пассива баланса 12
2. Оценка платежеспособности 13
3. Оценка кредитоспособности 15
4. Оценка финансовой устойчивости 16
5. Анализ ликвидности баланса 19
Тема 3. АНАЛИЗ ОБЪЕМА ПРОИЗВОДСТВА И РЕАЛИЗАЦИИ ПРОДУКЦИИ 21
1. Анализ объема и структуры выпуска продукции 21
2. Анализ выполнения договорных обязательств и реализации продукции 24
3. Анализ резервов роста объема производства 26
4. Анализ безубыточности и оценка запаса финансовой прочности 28
Тема 4. АНАЛИЗ ОБОРОТНОГО КАПИТАЛА 30
1. Анализ эффективности использования оборотных средств 30
2. Анализ эффективности использования материальных ресурсов 33
3. Анализ обеспеченности материальными ресурсами 39
Тема 5. АНАЛИЗ ИСПОЛЬЗОВАНИЯ ОСНОВНЫХ ПРОИЗВОДСТВЕННЫХ ФОНДОВ 40
1. Анализ движения и технического состояния ОПФ 40
2. Анализ эффективности использования ОПФ 42
3. Анализ использования технологического оборудования 44
4. Факторный анализ фондоотдачи 46
Тема 6. АНАЛИЗ ТРУДОВЫХ РЕСУРСОВ ПРЕДПРИЯТИЯ 49
1. Анализ обеспеченности предприятия трудовыми ресурсами 49
2. Анализ использования рабочего времени 51
3. Анализ производительности труда 56
4. Анализ фонда заработной платы 58
Тема 7. АНАЛИЗ СЕБЕСТОИМОСТИ 59
1. Анализ общей суммы затрат на производство продукции 59
2. Анализ затрат на рубль товарной продукции 61
Тема 8. АНАЛИЗ ФИНАНСОВЫХ РЕЗУЛЬТАТОВ 67
1. Анализ состава и динамики балансовой прибыли 67
2. Анализ прибыли от реализации 68
3. Анализ рентабельности продукции 72
6. Анализ распределения и использования прибыли предприятия 73
Тема 1. ПРЕДМЕТ И МЕТОДЫ ЭКОНОМИЧЕСКОГО АНАЛИЗА
1. Экономический анализ: сущность, виды и задачи
Анализ означает в переводе с греческого разложение изучаемого объекта на части, на присущие этому объекту составляющие. Экономический анализ как наука представляет собой систему специальных знаний, базирующихся на законах развития и функционирования систем и направленных на познание методологии оценки, диагностики и прогнозирования финансово-хозяйственной деятельности предприятия.
Предметом экономического анализа являются хозяйственные процессы, их социально-экономическая эффективность и конечные финансовые результаты деятельности, складывающиеся под воздействием факторов и отражающиеся через систему экономической информации.
На хозяйственную деятельность влияют объективные и субъективные (внутренние) факторы. Внутренние связаны с деятельностью человека и зависят от него.
Цель анализа и диагностики финансово-хозяйственной деятельности предприятия — повышение эффективности его работы на основе системного изучения всех видов деятельности и обобщения их результатов.
Задачи экономического анализа:
- повышение научно-экономической обоснованности бизнес-планов, нормативов;
- объективное и всестороннее исследование выполнения бизнес-планов и соблюдения нормативов;
- определение результативности использования трудовых, материальных и финансовых ресурсов;
- контроль за осуществлением требований коммерческого расчета;
- выявление внутренних резервов;
- проверка оптимальности управленческих решений.
Объектом анализа и диагностики финансово-хозяйственной деятельности предприятия является работа предприятия в целом и его структурных подразделений (цехов, бригад, участков), а субъектами могут выступать органы государственной власти, научно-исследовательские институты, фонды, центры, общественные организации, средства массовой информации, аналитические службы предприятий.
Функциями анализа и диагностики финансово-хозяйственной деятельности предприятия являются: контрольная, учетная, стимулирующая, организационная и индикативная.
Таблица 1.1
Классификация видов анализа
| Классификационный признак | Вид анализа |
| Объект | Структурный. Функциональный |
| Периодичность проведения | Систематический. Эпизодический |
| Цель | Внутренний. Сравнительный |
| Характер | Динамический. Статический |
| Масштаб | Комплексный (системный). Локальный (объектный) |
| Содержание | Предметный. Операционно-процедурный |
| Форма оценки результатов | Количественный. Качественный |
| Субъект | Анализ хозяйствующего субъекта (самоанализ). Анализ внешних структур (внешний анализ) |
| Содержание процесса управления | Перспективный (предварительный) анализ. Ретроспективный (последующий) анализ. Оперативный анализ. |
Структурный анализ основан на структуризации изучаемого объекта. Каждый структурный элемент является самостоятельным предметом детального исследования и характеризуется определенными параметрами
Функциональный анализ исследует процесс функционирования предприятия.
Систематический анализ предполагает постоянное исследование изменения технико-экономического состояния предприятия.
Эпизодический (точечный) анализ основан на разовых специальных исследованиях изменения технико-экономического состояния предприятия.
Внутренний анализ служит для выявления состояния данного предприятия.
Сравнительный анализ нужен для сравнения состояния данного предприятия с другими однотипными предприятиями.
Динамический анализ базируется на изучении конкретных показателей в динамике, развитии. Он основан на расчете таких показателей, как абсолютный прирост, темп роста, темп прироста, абсолютное значение одного процента прироста, на построении рядов динамики.
Статический анализ исходит из неизменности, статичности характеристик технико-экономического состояния предприятия.
Комплексный (системный) анализ исходит из того, что любой технико-экономический процесс представляет собой определенную систему, для которой характерны внутренние закономерности, отличительные особенности и свойства. Системный анализ имеет две разновидности – генетический (изучение системы в развитии) и функциональный (изучение реального функционирования системы).
Локальный (объектный) анализ базируется на изучении отдельных локальных характеристик технико-экономического развития.
Предметный анализ основан на изучении предметно определенных фрагментов технико-экономического развития предприятия, анализе предметных циклов технико-экономического процесса.
Операционно-процедурный анализ базируется на исследовании отдельных операций, процедур в технико-экономических циклах, имеющих достаточно большое значение для развития анализируемого предприятия.
Количественный анализ исходит из необходимости определения количественных характеристик технико-экономического состояния предприятия. Цель данного анализа состоит в измерении, сравнении результатов производства, уровня затрат, установлении количественной меры влияния различных факторов.
Качественный – основан на качественных сравнительных оценках. Его целью является выявление особенностей данного состояния и его внутренних взаимозависимостей.
В зависимости от функций управления анализ разделяют на:
- внутренний (самоанализ) – управленческий, составная часть управленческого учета, служит для информационно-аналитического обеспечения руководства предприятия. Выполняется внутри предприятия силами своих специалистов;
- внешний (финансовый) – составная часть финансового учета, обслуживающего внешних пользователей информацией о предприятии по данным, как правило, публичной отчетности. Он выполняется с привлечением экспертов, аудиторов, отдельных высококлассных специалистов по профилю работы предприятия.
Также классифицируют анализ по:
- субъектам (руководство, поставщики, налоговые органы);
- периодичности (квартальный, годовой);
- содержанию и полноте изучаемых вопросов (полный анализ хозяйственной деятельности, локальный анализ деятельности отдельных подразделений);
- методам изучения объекта (комплексный, системный, сравнительный, сплошной и выборочный);
- степени механизации и автоматизации вычислительных работ.
2. Методы экономического анализа
Экономический анализ – это прежде всего факторный анализ. Под факторным анализом понимается постепенный переход от исходной факторной системы к конечной факторной системе, раскрытие полного набора прямых, количественно измеримых факторов, оказывающих влияние на изменение результативного показателя.
Метод – это способ подхода к изучению реальной действительности, способ исследования природы и общества. Совокупность приемов и способов, которые применяются при изучении хозяйственных процессов, составляет методику экономического анализа.
На каждом этапе применяются определенные аналитические приемы и способы. Так, при первичной обработке информации используются методы группировки показателей, сравнение, графическое представление анализируемой информации, расчет относительных и средних величин. Изучение состояния и закономерностей развития исследуемых объектов осуществляется с помощью статистических методов анализа рядов динамики.
Таблица 1.2
Основные методы анализа
| Название метода | Содержание метода |
| Неформализованные методы | Логистическое, субъективное исследование |
| 1) экспертные | Оценка ситуации высококлассными специалистами |
| 2) морфологический | Систематизация наборов альтернативных решений по возможным сочетаниям вариантов и выбор сначала приемлемых, а затем наиболее эффективных вариантов |
| 3) рейтинговый | Систематизация, ранжирование и определение наилучших результатов по ряду показателей |
| 4) фактографический | Анализ зафиксированных фактов в СМИ, научных работах и т. п. |
| 5) мониторинг | Детальный, систематический анализ изменений |
| 6) логическое моделирование | Построение сценариев, систем показателей, аналитических таблиц |
| 7) фундаментальный | Изучение основных тенденций и определение основных направлений динамики |
| 8) технический | Отражение желаемых сглаженных ожиданий |
| Формализованные методы | Строгие формализованные аналитические зависимости |
| 1. Факторный | Выявление, классификация и оценка степени влияния отдельных факторов |
| 2. Конъюнктурный | Установление текущего состояния с позиций соотношения спроса и предложения |
| 3. Математический | Цепные подстановки, арифметическая разница, процентные числа, дифференциальный, логарифмический, интегральный анализ, расчет простых и сложных процентов, дисконтирование |
| 4. Статистический | Корреляционный, регрессионный, дисперсионный, кластерный, экстраполяционный, ковариационный анализ; методы главных компонент, средних и относительных величин, группировки; графический и индексный методы обработки рядов динамики |
| 5. Методы исследования операций и принятия решений | Использование теорий графов, игр, массового обслуживания; построение деревьев целей и ресурсов, байесовский анализ, сетевое планирование |
| 6. Эконометрические | Матричный, гармонический, спектральный анализ, производственные функции, межотраслевой баланс |
| 7. Экономико-математическое моделирование и оптимальное программирование | Дескриптивные (описательные), предикативные (предсказательные, прогностические) и нормативные модели; системный анализ, машинная имитация; линейное, нелинейное, динамическое, выпуклое программирование |
Научный подход позволяет выделить 3 группы методов:
- Общеэкономические (сравнение, графический, балансовой увязки, цепных подстановок, арифметических разниц, логарифмический);
- Статистические (средних и относительных величин, обработки рядов динамики, индексный, корреляционный, дисперсионный анализ);
- Математические (матричные, теория межотраслевого баланса, теория производственных функций, линейное и нелинейное программирование, теория графов, игр).
По характеру взаимосвязи различают методы детерминированного и стохастического факторного анализа.
Функционально-детерминированная связь – связь, при которой каждому значению факторного признака соответствует вполне определенное неслучайное значение результативного признака.
Стохастическая (вероятностная) связь – связь, при которой каждому значению факторного признака соответствует множество значений результативного признака.
Соответственно типу связи аналитические приемы делятся на:
- Методы детерминированного факторного анализа (цепные подстановки, способ относительных и абсолютных разниц, простое прибавление неразложимого остатка, взвешенных конечных разностей, логарифмический, интегральный, индексный, способ долевого участия);
- Методы стохастического факторного анализа (корреляционный, дисперсионный, многомерный, кластерный).
3. Способы обработки экономической информации
Способ сравнения. Применяется наиболее часто. Основными видами являются:
- сравнение фактических отчетных данных с плановыми;
- сравнение показателей в динамике;
- сравнение показателей анализируемого ПП со средними показателями по отрасли;
- сравнение результатов деятельности до и после принятия управленческого решения.
Различают:
- Горизонтальный сравнительный анализ – применяют для определения абсолютных и относительных отклонений фактического уровня показателей от базового;
- Вертикальный – для изучения структуры экономических явлений и процессов путем расчета удельных весов;
- Трендовый – при изучении относительных темпов роста и прироста показателей за ряд лет к уровню базисного года (при исследовании рядов динамики);
- Одномерный – сопоставляется один или несколько показателей одного объекта или несколько объектов по одному показателю;
- Многомерный – сопоставление результатов деятельности нескольких ПП по нескольким показателям.
Группировка. Предполагает определенную классификацию процессов, причин и факторов, их обусловивших. Группировочный признак должен быть основным. Например, при анализе издержек группировка статей идет по признаку зависимости их от объема производства. Результатом группировки является построение группировочных таблиц.
Балансовый способ. В качестве основного балансовый способ используется при изучении показателей, находящихся в балансовой зависимости (при анализе баланса, при анализе обеспечения ПП сырьем и материалами). Как вспомогательный балансовый способ используется для проверки результатов расчетов влияния факторов на результативный показатель.
Графический способ. Графики являются масштабным изображением показателей и их зависимости с помощью геометрических фигур.
4. Способы оценки влияния факторов в анализе
Детерминированный факторный анализ проводится по следующим этапам:
- Построение экономически обоснованной детерминированной факторной модели.
- Выбор приема анализа и подготовка условий для его выполнения.
- Реализация счетных процедур.
- Формулирование выводов.
Детерминированные модели могут быть разного типа:
1. Аддитивные – представляют собой алгебраическую сумму показателей. Математическая интерпретация:
n
y = ∑ xi.
i=1
Примером является модель товарного обеспечения:
Nн.п + Nп = Nр + Nвыб. + Nк.п,
где Nр – общий объем реализации;
Nн.п, Nк.п - запасы товаров на начало и конец периода;
Nп - объем поступивших товаров;
Nвыб. - прочее выбытие товаров.
2. Мультипликативные модели – представляют собой произведение факторов.
n
y = П xi.
i=1
Примером является двухфакторная модель объема реализации:
Nр = Ч * В,
где Nр – объем реализации;
Ч – среднесписочная численность работников;
В – выработка на одного работника.
3. Кратные модели представляют собой отношение факторов.
-
Z =
x
.
y
Например, модель оборачиваемости товаров или запасов в днях (Тоб.т):
-
Тоб.т =
Зт.ср.
,
nр
где Зт.ср. – средний запас товаров;
nр - однодневный объем реализации.
4. Смешанные модели представляют собой комбинацию трех моделей. Например:
-
Z =
∑ x
.
∑ y
Рассмотрим основные способы оценки влияния факторов, применяемые в анализе.
1. Способ цепных подстановок.
Данный способ основан на элиминировании, т.е. исключении воздействия всех факторов на величину результативного показателя, кроме одного. Способ заключается в определении ряда промежуточных значений результативного показателя путем последовательной замены базисных значений факторов на отчетные.
у0 = f (х10, х20, х30, …, хn0);
у1* = f (х11, х20, х30, …, хn0);
∆y (х1) = у1* - у0.
у2* = f (х11, х21, х30, …, хn0);
∆y (х2) = у2* - у1*.
у1 = f (х11, х21, х31, …, хn1);
∆y (хn) = уn* - уn-1*.
Общее изменение результата складывается из суммы результирующего показателя за счет изменения каждого фактора при фиксированных основных факторах, т.е.
∆y = ∑ ∆y (хi).
Преимущество данного способа – универсальность и простота применения.
Пример 1.
Таблица 1.3
Исходные данные для факторного анализа
| Показатели | Пред. год (0) | Отчетный год (1) | Изменение | |
| Абсолютное | Относит. (%) | |||
| 1. Товарная продукция ТП, тыс. руб. | 2920 | 3400 | +480 | 116,40 |
| 2.Среднесписочная численность работников Ч, чел. | 20 | 25 | +5 | 125,0 |
| 3.Среднегодовая выработка работника, тыс. руб. | 146 | 136 | -10 | 93,15 |
Анализ влияния количества работников и их выработки на объем товарной продукции проведем описанным выше способом на основе данных табл.1.3. Зависимость объема товарной продукции от данных факторов можно описать с помощью мультипликативной модели:
ТП=Ч*В;
TПо= Чо* Во = 20*146 = 2920 (тыс. руб.)
Тогда влияние изменения величины количества работников на обобщающий показатель можно рассчитать по формуле:
ТП усл1 = Ч1 * В0 = 25*146 = 3650 (тыс. руб.);
ΔТП усл1= ТПусл1 – ТП0 = 3650 – 2920 = 730 (тыс. руб.).
Далее определим влияние изменения выработки работников на обобщающий показатель
ТП усл2 = Ч1 * В1= 25*136 = 3400 (тыс. руб.);
ΔТПусл2 = ТП1 – ТПусл1 = 3400 – 3650 = -250 (тыс. руб.).
Таким образом, на изменение объема товарной продукции положительное влияние оказало изменение на 5 человек численности работников, что вызвало увеличение объема продукции на 730 тыс. руб. Отрицательное влияние оказало снижение выработки на 10 тыс. руб., что вызвало снижение объема на 250 тыс. руб. Суммарное влияние двух факторов привело к увеличению объема продукции на 480 тыс. руб.
2. Способ абсолютных разниц.
Является модификацией способа цепной подстановки. Изменение результативного показателя за счет каждого фактора способом разниц определяется как произведение отклонения изучаемого фактора на базисное или отчетное значение другого фактора в зависимости от выбранной последовательности подстановки:

Пример 2. Воспользовавшись данными табл.1, проведем анализ способом абсолютных разниц:
ΔТПусл1 = ΔЧ - Во = (+5) * 146 = 730 (тыс. руб.);
ΔТПусл2 = ΔВ - Ч1 = (-10) * 25 = -250 (тыс. руб.),
Проверка: 730 + (-250) = 480 (тыс. руб.)
3. Способ относительных разниц.
Применяется для измерения влияния факторов на прирост результативного показателя в мультипликативных и смешанных моделях вида у = (а-в)*с, используемых в случаях, когда исходные данные содержат определенные ранее относительные отклонения факторных показателей в процентах.
Для мультипликативных моделей типа у = а*в*с методика анализа следующая.
1) находят относительное отклонение каждого факторного показателя:

2) определяют отклонение результативного показателя у за счет каждого фактора:

Пример 3. Воспользовавшись данными табл. 1, проведем анализ способом относительных разниц. Относительные отклонения рассматриваемых факторов составят:

Рассчитаем влияние на объем товарной продукции каждого фактора:

Результаты расчетов те же, что и при использовании предыдущего способа.
4. Способ простого прибавления неразложимого остатка.
Предполагает деление неразложимого остатка на 2 и прибавление результата к величине влияния качественного и количественного факторов. Формулы определения влияния факторов принимают вид:
Z (x) = y0 * x + ½ x*y;
Z (y) = x0 * y + ½ x*y.
Однако данный способ неприменим, если количество факторов превышает два.
5. Способ взвешенных конечных разностей.
При этом методе величина влияния каждого фактора определяется по всем возможным подстановкам, затем результат суммируется, и от полученной суммы берется средняя величина.
Z1 (x) = y1 * x;
Z2 (x) = y0 * x;
Z1 (y) = x1 * y;
Z2 (y) = x0 * y;
_
Z (x) = ½ [Z1 (x) + Z2 (x)];
_
Z (y) = ½ [Z1 (y) + Z2 (y)].
6. Логарифмический метод.
Пропорциональное распределение неразложимого остатка по факторам достигается с помощью логарифмического метода. Он позволяет определить влияние большего количества факторов на результативный показатель без установления очередности подстановок.
Способ применим к кратным и мультипликативным моделям. Он основан на логарифмировании отклонения отчетного и базисного значений результативного показателя, равного отношению соответствующих произведений факторов.
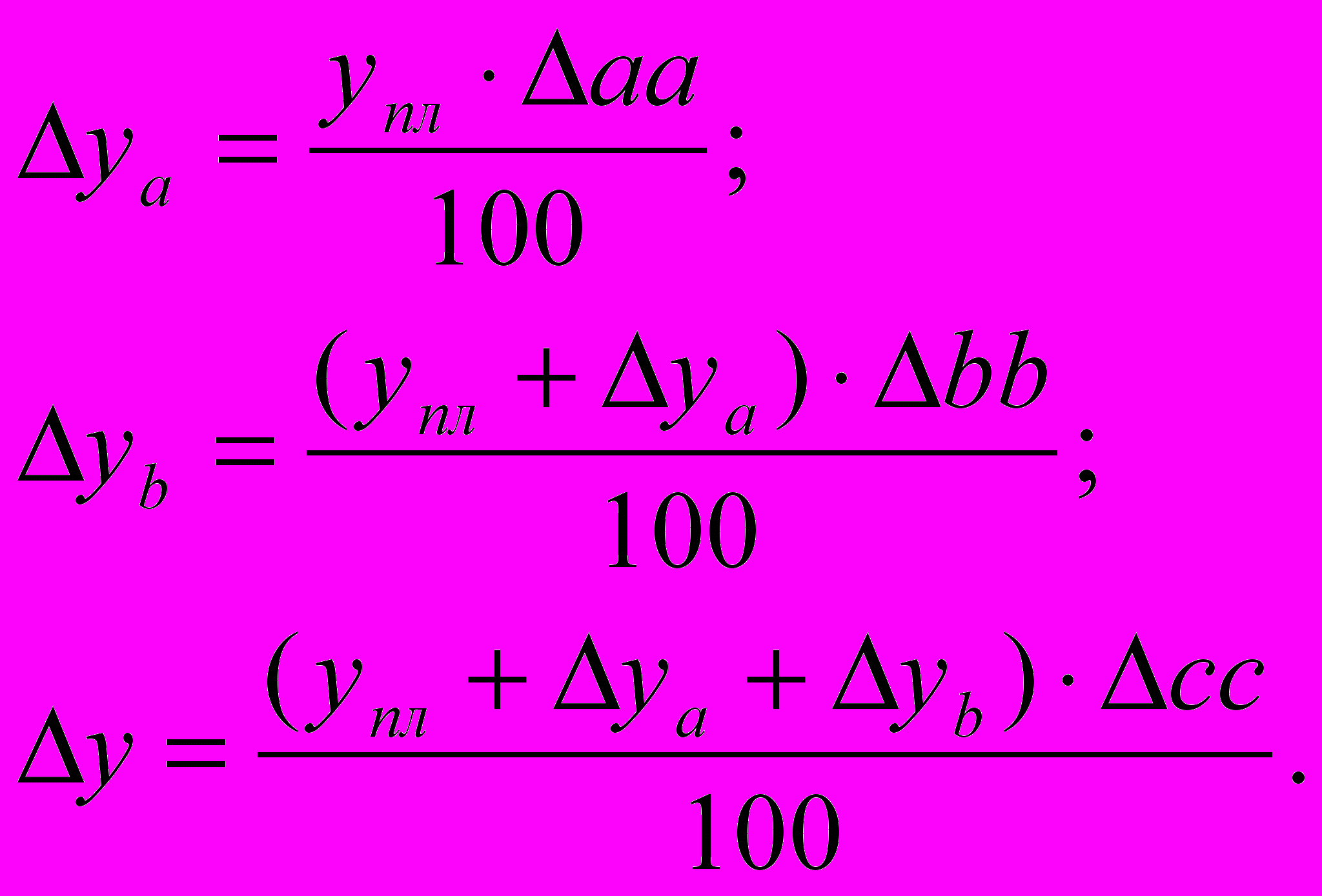
7. Способ долевого участия.
Способ заключается в определении доли каждого фактора в общей сумме их приростов, которая затем умножается на общий прирост совокупного показателя. Этот метод применяется к аддитивным моделям и чаще всего для оценки влияния факторов второго или третьего порядков.
8. Интегральный метод.
Позволяет достигнуть полного разложения результативного показателя по факторам и носит универсальный характер, т.е. применим к мультипликативным, кратным и смешанным моделям. Операция вычисления определенного интеграла решается с помощью ПЭВМ и сводится к построению подъинтегральных выражений, которые зависят от вида функции или модели факторной системы.
Можно также использовать уже сформированные рабочие формулы, приводимые в специальной литературе.
1. Модель вида у = а*b:
Δуа = Δа *bо +1/2 Δа*Δb;
Δуb = Δb ао + ½ Δа*Δb.
2. Модель вида у = а * b * с :
Δуа = ½ Δа*(b0 c1+b1с0) + 1/3 Δа* Δb*Δс;
Δуb= ½ Δb*(аос1 +а1с0) + 1/3 Δа*Δb*Δс;
Δуc = ½ Δс* (ао b1+ а1 b0)+ 1/3 Δа*Δb *Δс.
3. Модель вида у = а/в:
Δуа = Δа/ Δb * ln Ib1/ b0I;
Δуb = Δbобщ - Δуа;
Интегральный метод позволяет достигнуть полного разложения результативного показателя и поровну разделить между факторами его дополнительный прирост.
