Учебное пособие предназначено для студентов экономических вузов всех форм обучения, аспирантов, преподавателей, может быть полезно работникам инвестиционной сферы. © Попков В. П., Семенов В. П., 2001 © Издательский дом "Питер", 2001
| Вид материала | Учебное пособие |
- Учебное пособие для студентов специальности 271200 «Технология продуктов общественного, 2012.38kb.
- В. И. Молчанов Проектирование червячных передач с колёсами из неметаллических материалов, 538.53kb.
- Н. В. Кацерикова ресторанное дело учебное пособие, 1607.02kb.
- Учебное пособие Издательство Санкт-Петербургского университета экономики и финансов, 2322.15kb.
- Пособие может быть полезно психологам-практикам, педагогам, социальным работникам,, 2635.12kb.
- Учебное пособие предназначено для студентов всех специальностей и всех форм обучения,, 802.06kb.
- Жариков в. Д. Кривенцева м. К. Жариков, 3229.33kb.
- Предлагаемое учебное пособие предназначено для студентов, аспирантов и преподавателей, 2052.38kb.
- Экономика города, 4334.04kb.
- Учебное пособие предназначено для студентов вузов естественнонаучных, технических, 4646.64kb.
"Денежный поток для собственного капитала" (или "полный денежный поток"), работая с которым можно непосредственно оценивать рыночную стоимость собственного капитала предприятия (что и представляет собой рыночную стоимость последнего), отражает в своей структуре планируемый способ финансирования стартовых последующих инвестиций, обеспечивающих жизненный цикл продукта (бизнес-линии) [11, с. 57].
Иначе говоря, этот показатель указывает в том числе, сколько и на каких условиях для финансирования инвестиционного процесса будет привлекаться заемных средств, помимо собственных. Применительно к каждому будущему периоду в нем учитываются: ожидаемые прирост долгосрочной задолженности предприятия, уменьшение обязательств предприятия, выплата процентов по кредитам в порядке их текущего обслуживания.
Поскольку доля и стоимость заемных средств в финансировании инвестиционного проекта здесь учтена уже в самом прогнозируемом денежном потоке, дисконтирование ожидаемых полных денежных потоков может происходить по ставке дисконта, равной требуемой инвестором (с учетом рисков) минимальной доходности вложения только его собственных средств, то есть, по так называемой ставке дисконта для собственного капитала [30, с. 116].
Бездолговой денежный поток не отражает планируемого движения и стоимости кредитных средств, используемых для финансирования инвестиционного процесса. Поэтому если в расчетах оперируют с ним, то тогда дисконтирование ожидаемых по инвестиционному проекту денежных потоков производится по ставке, равной средневзвешенной стоимости капитала данного предприятия (на момент вероятной перепродажи).
При этом получаемая при суммировании дисконтированных бездолговых денежных потоков ожидаемая остаточная стоимость предприятия окажется оценкой стоимости всего инвестированного в предприятие к моменту его перепродажи капитала. Таким образом, для оценки стоимости его собственного капитала (то есть рыночной стоимости предприятия как такового) необходимо будет еще вычесть планируемую на рассматриваемый момент долгосрочную (выходящую за пределы рассматриваемой) финансового периода) задолженность предприятия.
Денежный поток для оценки собственного капитала (полный денежный поток) может прогнозироваться двояким образом:
* непосредственно из анализа сроков, величин и условий платежей и поступлений, предусмотренных заключенными закупочными, сбытовыми, трудовыми, арендными, кредитными и прочими договорами, если срок их действия полностью обеспечивает весь жизненный цикл рассматриваемых бизнес-линий или продукта (что вероятно лишь для достаточно краткосрочных проектов, по которым имеются хотя бы проекты соответствующих контрактов);
* на основе оценки потребности в инвестициях и прогноза будущих текущих доходов и расходов предприятия.
Наиболее реалистично отталкиваться от ожидаемых прибылей (убытков), не рассчитывая на возможность планировать будущие остатки средств на счете непосредственно из анализа заключаемых договоров.
Тогда денежный поток в определенном будущем периоде t (по состоянию на конец его, реже на середину) может быть выражен так:
"Денежный поток в период t" = "Прибыль (убытки) за период t" + "Износ ранее закупленных и созданных основных фондов (амортизационные отчисления за период t" - "Процентные выплаты в период t по кредитам" - "Налог с прибыли" - "Инвестиции в период t" + "Прирост долгосрочной задолженности за период t" - "Прирост собственных оборотных средств в период t".
Под приростом собственных оборотных средств здесь понимается увеличение запасов сырья и материалов, незавершенного производства, а также запаса готовой продукции, то есть всего того, в чем оказались связанными собственные оборотные средства и направленные на их пополнение денежные ресурсы.
Движение краткосрочной задолженности в данной формуле не учитывается, так как считается, что ее оборот "уложился" в оборот средств предприятия, имевший место внутри соответствующего отчетного периода (проценты же за нее оказались учтенными в калькуляции себестоимости продукции).
Бездолговой денежный поток может быть оценен по формуле, аналогичной приведенной выше, с той разницей, что в ней будут отсутствовать процентные выплаты, прирост и уменьшение долгосрочной задолженности.
Решающим элементом денежного потока в любом его виде является ожидаемая прибыль от реализации продукта. В общем виде формула для ее прогноза на период t выглядит так [11, с. 60]:
Пt = Pt * Qt - aPtk * Qtk - Wt
где: Пt - прибыль от реализации продукта предприятия в период t;
Рt - ожидаемая цена реализации продукта в период t;
Qt - планируемое количество продаж продукта предприятия по цене Pt в период t;
k = l,..., К - множество покупных ресурсов (включая рабочую силу разной квалификации), необходимых для выпуска продукта (k - номер покупного ресурса, К - их общее количество);
Ptk - цена приобретения покупного ресурса k в период t;
Qtk - объем (в натуральном выражении) покупного ресурса с номером k, необходимого для выпуска финального продукта Qt
Wt - ожидаемые в период t накладные расходы. Информация о возможных Pt во взаимосвязи с Qt может быть получена из маркетинговых исследований прогнозируемого спроса (его емкости и ценовой эластичности) на осваиваемый продукт. Сведения о вероятных Рtk должны быть представлены в результате маркетинговых исследований сегодняшнего и будущего предложения покупных ресурсов.
Величины же Qtk подлежат оценке из представлений (которым следует обязательно располагать менеджерам предприятия) о технологии выпуска продукта, которой располагает предприятие.
Очевидно, работа с номинальными денежными потоками может обеспечить более высокую точность инвестиционных расчетов, при условии, что оценщик действительно хорошо ориентируется в текущей и ожидаемой конъюнктурах на рынках сбыта осваиваемого продукта и рынках потребления для него покупных ресурсов, опирается на соответствующие маркетинговые исследования данных рынков.
Если же он лишь приблизительно ориентируется в указанных конъюнктурах, то следует использовать метод дисконтированного денежного потока, прогнозируя по осваиваемой продуктовой линии реальные денежные потоки. Они представляют собой ожидаемые в периоды t сальдо реальных поступлений и платежей по продажам продукта и закупкам ресурсов, которые будут оцениваться в ценах базисного периода (на момент проведения оценки).
Уже в связи с выбором типа денежного потока, который будет использоваться при оценке текущей остаточной стоимости продуктовой линии на момент предполагаемой перепродажи предприятия, надо отметить, что закладываемый в расчет тип денежного потока должен однозначно определить тип адекватной применяемому виду денежного потока ставки дисконта, по которой следует дисконтировать прогнозируемые по продукту денежные потоки.
Если работают с номинальными денежными потоками, учитывающими при расчете ожидаемых прибылей цены по их прогнозируемой и действительной величине, то и ставка дисконта должна быть номинальной, то есть включающей в себя средние за срок полезной жизни проекта в расчете на единичный период t инфляционные ожидания [26, с. 71].
Если денежные потоки планируют как реальные (в ценах базисного периода), то ставка дисконта также должна быть очищена от инфляционных ожиданий.
Используя в инвестиционных расчетах денежные потоки для собственного капитала, в качестве ставки дисконта достаточно применять номинальную или реальную безрисковую ставку процента (на практике - соответствующую ставку по государственным долгосрочным облигациям), которая наращивается на величину принятых на рынке премий за риск данного проекта.
Эта ставка называется ставкой дисконта для оценки собственного капитала предприятия.
Экономический смысл дисконтирования денежных потоков иногда трактуют как приведение их к определенному моменту (в рассматриваемом случае - к окончанию периода выхода предприятия на прибыльный режим работы) времени. Более глубокое понимание смысла дисконтирования денежных потоков сводится к следующему. Ценность инвестиционного проекта в указанный "момент заключается в том, насколько больше с учетом рисков проекта можно получить от него отдачи по сравнению со стандартным безрисковым способом вложения тех же денег (инвестиций в проект или в перекупку прав на него) путем их ссуживания надежному заемщику (им обычно является государство, выпускающее долгосрочные облигации, обеспеченные налоговыми поступлениями в государственный бюджет и по сроку принесения ими доходов сравнимые со сроком полезной жизни оцениваемого проекта).
Ожидаемый по проекту в каждый будущий период t денежный поток At должен быть, следовательно, уменьшен на некую величину, равную ссудному безрисковому (плюс рыночная премия за риски проекта) проценту, который можно было бы получить с капитала, вкладываемого в проект в момент прогнозирования его ценности (стоимости прав на проект или предприятие). Этот процент определяется (в расчете на каждый рубль вложений) принятой на рынке ставкой безрискового ссудного процента (плюс премия в виде дополнительных процентов с каждого рубля, так что в совокупности индивидуальная ставка дисконта для проекта оказывается равной i), помноженной на сумму вкладываемого капитала.
Стоимость однопродуктового предприятия, рассчитанная на момент его учреждения (начала освоения продукта), представит собой тогда не всю сумму ожидаемых превышений поступлений над платежами за весь срок полезной жизни продукта от t=0 до Т. Она будет отражаться лишь суммой ожидаемых денежных потоков, уменьшенных на недополученный (при альтернативном ссуживании с сопоставимыми рисками) процент с произведенных стартовых инвестиций.
Экономический смысл дисконтирования денежных потоков рассмотрим применительно к определению текущей стоимости будущих денежных потоков на момент учреждения предприятия и начала освоения продукта. Другими словами, проанализируем экономический смысл так называемой чистой текущей стоимости (Net Present Value) или "чистого дисконтированного дохода" вновь начинаемого инвестиционного проекта.
Дисконтирование будущих денежных потоков не всегда адекватно отражает описанную методологию выявления действительной сравнительной доходности инвестиционных проектов, хотя она и является традиционно общепризнанной (данная методология рекомендуется для применения, в частности, Организацией Объединенных Наций по промышленному развитию UNIDO - одной из специализированных организаций ООН).
Так, если рассматриваемый инвестиционный проект предполагает наличие отрицательных денежных потоков не только в нулевом (начальном, стартовом) единичном периоде (году, квартале/месяце) проекта, но и в ряде последующих его единичных периодов (хотя бы одном), то использование метода дисконтирования приводит к получению следующей картины: в нулевом периоде деление t стартовых инвестиций на коэффициент дисконтирования 1/(1+i), как полагается, не изменит значения текущей стоимости стартовых инвестиций (так как возведение любой не равной нулю величины в степень, равную нулю, дает единицу); однако применительно к последующим единичным периодам с еще отрицательными денежными потоками (когда текущие издержки и продолжающиеся инвестиции еще превышают доходы) это не увеличит абсолютную величину потерь, а, наоборот, преуменьшит ее.
По-настоящему единственным правильным выходом из подобных ситуаций (чтобы сохранить адекватность использования метода дисконтирования) тогда должно быть укрупнение в рассматриваемом анализе размера единичного периода t (квартал вместо месяца, год вместо квартала и т. д.), в результате чего структуру инвестиционного проекта во времени удалось бы свести к такой, когда, отражая денежные потоки по проекту в рамках более длительных единичных периодов учета, с отрицательным денежным потоком мы имели бы лишь один период - начальный (нулевой, стартовый).
Тогда бы также изменилась и экономическая суть показателя Iо: его уже нельзя было бы понимать в качестве стартовых инвестиций как таковых; этот показатель тоже стал бы всего лишь показателем сальдо платежей и поступлений в течение укрупненного стартового периода.
Метод дисконтирования денежных потоков в общем случае следует понимать как метод выявления действительного (по сравнению с альтернативным безрисковым ссудным инвестированием) дохода с тех же стартовых инвестиций Iо, который (метод) выполняет две самостоятельные функции:
1) он обеспечивает простой учет фактора времени при приведении к определенному (здесь текущему) моменту величины будущих доходов;
2) он позволяет вычесть из будущих доходов по рассматриваемому проекту выгоду, потерянную из-за того, что стартовые инвестиции были вложены в проект, а не в простое ссуживание с доходностью на уровне, например, государственных облигаций плюс требуемая при условии, если в сравниваемой ссудной альтернативе предполагается, что стартовые инвестиции Iо не извлекаются из ссуды в течение того же периода Т, что длится и оцениваемый проект.
Приведение к настоящему моменту времени будущих денежных потоков (или, наоборот - денежных потоков в прошлом к некоторому будущему моменту времени) предполагает умножение денежных потоков At на коэффициент (l+i)^t.
При определении текущей стоимости будущих денежных потоков суть этого способа сводится к ответу на вопрос о том, какой величине на настоящий момент времени эквивалентны будущие денежные потоки At. Или какой чистый доход, полученный сегодня, будучи перевложен по ставке i, позволил бы получить в будущий период t рассматриваемый денежный поток At.
Такая постановка вопроса относится и к отрицательным будущим At, дисконтируемым (здесь - делимым) на коэффициент (1+i)^t: больший по абсолютной величине убыток "завтра" эквивалентен меньшему убытку "сегодня" (так как меньший убыток "сегодня" тоже как бы "перевкладывается", наращивается, обусловливая, из-за потери возможности перевложить каждый рубль убытка на t единичных периодов, появление к будущему моменту t убытка, уже в (l+i)At раз большего).
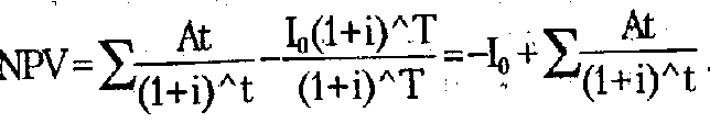
Не приведенный по фактору времени действительный по сравнению с указывавшейся потерянной выгодой суммарный доход по прог екту будет представлять собой разность всей совокупности будущих доходов At по проекту и не полученного с инвестиций 1о за срок Т ссудного дохода Io*(l+i)^T:

ссылка скрыта
Если привести по фактору времени этот действительный сравнительный доход, то он превращается в показатель чистой текущей стоимости рассматриваемого проекта:

ссылка скрыта
Различные методы оценки бизнеса адекватны различным оценочным ситуациям. Другими словами, цель оценки бизнеса, особенно если имеется в виду оценка "под конкретного инвестора" с его конкретной степенью информированности, деловых возможностей и конкурентных преимуществ, то есть если имеется в виду оценка не некой всеобщей (для всех потенциальных инвесторов фирмы) обоснованной рыночной стоимости предприятия, а его инвестиционной стоимости, всегда предопределяет то, какой из методов оценки в данной ситуации более пригоден.
Существенным является и тип оцениваемого предприятия в соответствии с долей на этом предприятии специальных материальных активов, возрастом и размером предприятия, его отраслевой принадлежностью и другими факторами.
Коротко остановимся на применении метода дисконтирования денежных потоков.
Метод дисконтированного денежного потока ориентирован на оценку предприятия как действующего, которое будет и дальше действовать (функционировать). Предприятие оценивают как источник будущих денежных потоков или прибылей от продаж продукта предприятия. При этом рыночная стоимость нефункционирующих активов, добавляемая в методе дисконтированного денежного потока к остаточной текущей стоимости продолжающихся продуктовых линий предприятия, составляет в оценке предприятия относительно незначительную дополнительную величину.
Метод дисконтированного денежного потока более применим для оценки молодых предприятий, не успевших за свою короткую предысторию заработать достаточно прибылей для капитализации в дополнительные активы, которые, тем не менее, имеют перспективный продукт и обладают явными конкурентными преимуществами по сравнению с существующими и потенциальными конкурентами.
Метод дисконтированного денежного потока является достаточно надежным, только если денежные потоки по указанному перспективному продукту уже показали нарастающий тренд в пределах области положительных денежных потоков. Данное ограничение может быть снято, если подобная ретроспективная прогнозируемость денежных потоков наблюдается у других предприятий - пионеров выведения на рынок рассматриваемого имеющего большой спрос продукта или если метод дисконтированного денежного потока основывается на высококачественном бизнес-плане вновь организуемого предприятия.
Литература
1. Балабанов И. Т. Основы финансового менеджмента. Как управлять капиталом. - М.: Финансы и статистика, 1997.
2. Балабанов И. Т. Финансовый менеджмент: Учеб. пособие. - М.: Финансы и статистика, 2000.
3. Баркан Д. И., Валдайцев С. В. Как создаются коммерчески успешные товары и услуги: Маркетинг и нововведение. - Л., 1991.
4. Белоглазова Г. Н. Роль российской банковской системы в корпоративном управлении // Сборник тезисов докладов научной конференции "Теория и практика финансов и банковского дела на современном этапе". - СПб: СПбГИЭУ, 2000.
5. Беренс В., Хавранек П. Руководство по подготовке промышленных технико-экономических исследований (пособие ЮНИДО). - М.: Инфра-М, 1995.
6. Бизнес-план инвестиционного проекта: отечественный и зарубежный опыт. Современная практика и документация: Учеб.-практ. пособие/Под ред. В. М. Попова. - М.: Финансы и статистика, 1999.
7. Бизнес-план: Методические материалы / Под ред. Р. Г. Маниловского. - М.: Финансы и статистика, 1999.
8. Бирман Г., Шмидт С. Экономический анализ инвестиционных проектов / Пер. с англ. - М.: Банки и биржи, ЮНИТИ, 1997.
9. Бочаров В. В. Методы финансирования инвестиционной деятельности предприятий. - М.: Финансы и статистика, 1998.
10. Бромвич М. Анализ экономической эффективности капиталовложений / Пер. с англ. - М.: Финансы и статистика, 1998.
11. Валдайцев С. В. Оценка бизнеса и инновации. - М.: Информационно-издательский дом "Филинъ", 1997.
12. Валдайцев С. В. Риски в экономике и методы их страхования.- СПб: СПбДНТП, 1992.
13. Васильев Н. М. Катырин С. Я., Лепе Л. Н. Лизинг как механизм развития инвестиций и предпринимательства. - М.: ООО Изда-тельско-консалтинговая компания "ДЕКА", 1999.
14. Воронцовский А. В. Инвестиции и финансирование: Методы оценки и обоснования. - СПб: СПбГУ, 1998.
15. Воропаев В. И. Управление проектами в России. - М.: Аланс, 1995.
16. Горенбургов М. А. Бизнес-планирование инвестиционных проектов: Учеб. пособие. - СПб: СПбГИЭА, 1996.
17. Деньги, кредит, банки: Учебник / Под. ред. О. И. Лаврушина. - М.: Финансы и статистика, 1998.
18. Доветов М. Ш. Введение в специальность "Коммерция": Учеб. пособие. - СПб: СПбГИЭА, 1996.
19. Завлин П. Н., ИпатовА. А., Кулагин А. С. Инновационная деятельность в условиях рынка. - СПб, 1994.
20. Иванова М. Ю. Понятия инвестиционного климата и его влияние на эффективность инвестиционного взаимодействия партнеров// Сборник методических материалов. - М.: Российская академия государственной службы при Президенте РФ, 1996.
21. Инновационный менеджмент / Под ред. Завлина П. Н.; Казанцева А. К., Миндели Л. Э. - СПб: Наука, 1997.
22. Иностранные инвестиции: мировой опыт: Учеб. пособие / Под ред. Б. Г. Дякина. - М.: РОСБИ, 1997.
23. Ипотечно-инвестиционный анализ: Учеб. пособие/Под ред. В. Е. Еси-пова. - СПб: СПбГУЭФ, 1998.
24. Ковалев В. В. Финансовый анализ: управление капиталом. Выбор инвестиций. Анализ отчетности. - М.: Финансы и статистика, 1997.
25. Ковалев В. В. Методы оценки инвестиционных проектов. - М.: Финансы и статистика, 2001.
26. Козлов А. Некоторые способы применения дисконтирования будущих поступлений и инвестиций при анализе инвестиционных проектов и принятия инвестиционных решений. - М.: Интелтех, 1993.
27. Коммерческая деятельность производственных предприятий (фирм): Учебник / Под ред. О. А. Новикова, В. В. Щербакова. - СПб: СПбГУЭФ, 1999.
28. Кныш М. И., Перекатов Б. А., Тютиков Ю. П. Стратегическое планирование инвестиционной деятельности: Учеб. пособие. - СПб: Изд. дом "Бизнес-пресса", 1998.
29. Крутик А. Б., Хайкин М. М. Основы финансовой деятельности предприятия: Учеб. пособие. - СПб: Бизнес-пресса, 1999.
30. Липсиц И. В., Коссов В. В. Инвестиционный проект. - М.: БЕК, 1995.
31. Лебедев В. М. Формирование инвестиционного климата в России // Финансы. - 1995. - № 4.
32. Лимитовский М. А. Основы оценки инвестиционных и финансовых решений. - М.: ООО Издательско-консалтинговая компания "ДЕКА", 1998.
33. Лунев Н., Макаревич Л. Бизнес-план для получения инвестиций: методические рекомендации. -. М.: Внешсигма, 1995.
34. Мелкумов Я. С. Организация и финансирование инвестиций: Учеб. пособие. - М.: Инфра-М, 2000.
35. Методические рекомендации по оценке эффективности инвестиционных проектов и отбору их для финансирования, утвержденные Минфином, Минэкономики, Госстроем и Госкомпромом РФ 31.03.1994.
36. Методические рекомендации по разработке инвестиционной политики предприятия. Утверждены Министерством экономики РФ от 1 октября 1997 г., № 118. - М.: 1998.
37. Молчанов Н. Н. Инновационный процесс: Организация и маркетинг. - СПб: СПбГУ, 1994.
38. Мотовилов О. В. Формы участия государственных и негосударственных инвесторов в создании системы инновационного финансирования. - СПб: СП6ГУД995.
39. Насущные проблемы функционирования банковской системы// Деньги и кредит. - 1998. - № 10.
40. Николаев И. А. Приоритетные направления науки и технологий: Выбор и реализация. - М., 1995.
41. Норткотт Д. Принятие инвестиционных решений / Пер. с англ. - М.: Банки и биржи, ЮНИТИ, 1997.
42. Обозов С. А. Привлечение инвестиций в экономику города: теория и практика. - Нижний Новгород, НИСОЦ - Издательство Волго-Вятской академии государственной службы, 1998.
43. Основные показатели экономического развития Санкт-Петербурга за 2000 год и прогнозные показатели на 2001-2003 годы. - СПб: 2001.
44. Попков В. П. Экономическая оценка инвестиционных решений: Учеб. пособие. - СПб: СПбГИЭА, 1996.
45. Савинская Н. А., Домбровский А. П. К вопросу о реструктуризации банковской системы// Деньги и кредит. - 1998. - № 10.
46. Санто Б. Инновация как средство экономического развития. - М.: Прогресс, 1990.
47. Сергеев И. В., Веретенникова И. И. Организация и финансирование инвестиций: Учеб. пособие. - М.: Финансы и статистика, 2000.
48. Учебное пособие для студентов организаций, осуществляющих брокерскую, дилерскую деятельность и доверительное управление ценными бумагами. - М.: Деловой экспресс, 1998.
49. Терехин В. И., Моисеев С. В., ТерехинД. В., Циганков С. Н. Финансовое управление фирмой / под ред. В. И. Терехина. - М.: ОАО Издательство "Экономика", 1998.
50. Финансы, денежное обращение и кредит Учебник / Под ред. В. К. Сен-чагова и А. И. Архипова. - М.: Проспект, 1999.
51. Фишер П. Прямые иностранные инвестиции для России: стратегия возрождения промышленности. - М., 1999.
52. Хорн Дж. К. Ван. Основы управления финансами / Пер. с англ. - М.: Финансы и статистика, 1996.
53. Шарп У. Ф., Александер Т Д., БэйлиД. В. Инвестиции / Пер. с англ. - М.: Инфра-М, 1997.
54. Шеремет В. В., Павлюченко В. М., Шапиро В. Д. Управление инвестициями. Т.1. - М.: Высшая школа, 1998.
55. Ценообразование на финансовом рынке: Учеб. пособие / Под ред. В. Е. Есипова. - СПб: СПбГУЭФ, 1998.
56. Ясин Е. Г. Инвестиционный климат в России// Общество и экономика. - 1999. - № 12.
