Рабочая программа учебной дисциплины мировые товарные рынки наименование дисциплины
| Вид материала | Рабочая программа |
- Программа дисциплины мировые товарные рынки и цены москва 2004 Программа дисциплины, 402.74kb.
- Рабочая программа дисциплины «мировые товарные рынки» Рекомендуется для направления, 264.18kb.
- Рабочая программа учебной дисциплины международные экономические отношения наименование, 619.09kb.
- Программа дисциплины [Мировые фондовые рынки] для направления/ специальности 080100., 475.73kb.
- Рабочая программа учебной дисциплины наименование учебной дисциплины Кафедра-разработчик, 336.98kb.
- Рабочая программа учебной дисциплины наименование учебной дисциплины Кафедра-разработчик, 301.9kb.
- Рабочая программа учебной дисциплины в. Од. 18 Методы и средства защиты информации, 439.49kb.
- Рабочая программа учебной дисциплины моделирование финансовых рынков наименование дисциплины, 177.58kb.
- Рабочая программа по учебной дисциплине Экономика наименование учебной дисциплины (полное,, 876.11kb.
- Рабочая программа учебной дисциплины общая физика (наименование учебной дисциплины), 562.73kb.
Федеральное агентство по образованию
Государственное образовательное учреждение высшего профессионального образования
«Санкт-Петербургский государственный политехнический университет»
| | | УТВЕРЖДАЮ Проректор __________________ ______________________________ ____________ _________________ (подпись) (ФИО) "____" ________ 2009 г. |
| Вводится в действие с "____" ________ 2009 г. | ||
| ^ РАБОЧАЯ ПРОГРАММА УЧЕБНОЙ ДИСЦИПЛИНЫ | ||
| Мировые товарные рынки | ||
| наименование дисциплины | ||
| | ||
| Составлена кафедрой ^ Мировая экономика | ||
| наименование кафедры для студентов специальности 080102 «Мировая экономика» | ||
| код и наименование направления подготовки (специальности) Форма обучения очная | ||
| Автор ^ Доцент, к.э.н. ____________ Конахина Н.А. (подпись) (ФИО) "____" ________ 2009 г | ||
| Санкт-Петербург 2009 г. | ||
^ Рабочая программа учебной дисциплины (РПД)
Мировые товарные рынки
(наименование дисциплины)
1. Цели и задачи изучения дисциплины
Целью дисциплины является формирование у студентов представления о развитии мировых товарных рынков под воздействием эндогенных и экзогенных факторов.
Дисциплина «Мировые рынки товаров и услуг» изучает теорию и практику функционирования мировых рынков, поэтому в процессе ее изучения студенту необходимо освоить следующие задачи:
- усвоить теоретические основы организации и функционирования рынков;
- иметь представление о механизме функционирования конкретного рынка;
- использовать статистическую информацию и соответствующие методы для анализа процессов имеющих место на мировых рынках.
^ 2. Место дисциплины в учебном плане
Изучение дисциплины предусмотрено учебным планом специальности 080102 «Мировая экономика». Дисциплина изучается в 9-м семестре, индекс цикла дисциплины СД.ДС.01.05, компонент специальные дисциплины – дисциплины специализаций.
Полученные студентами знания позволят более глубоко разбираться в событиях, происходящих на мировых рынках и рынках конкретных стран.
Для изучения курса необходимо знание экономической теории, в том числе макроэкономики, микроэкономики, международной экономики, статистики, информатики.
^ 3. Объем учебной дисциплины по видам учебных занятий и формы контроля
| Виды занятий и формы контроля | Объем по семестрам |
| 9 сем | |
| Лекции, (Л), ч. | 34 |
| Практические занятия, (ПЗ), ч. | 17 |
| Самостоятельные занятия, (СЗ), ч. | 34 |
| Экзамены, (Э), шт. | 1 |
| Общая трудоемкость дисциплины составляет по РПД 85 час. | |
^ 4. Содержание дисциплины
4.1. Разделы дисциплины по ГОС ВПО, разделы дисциплины по РПД и объемы по видам занятий
| № | ^ Разделы дисциплины по ГОС ВПО (дидактические единицы ГОС) | Разделы дисциплины по РПД | Объем занятий, час | Приме-чание | ||
| Л | ПЗ | С | | |||
| 1 | | Товарная структура международной торговли | 2 | 1 | 2 | |
| 2 | | Структура экспорта услуг | 2 | 1 | 2 | |
| 3 | | Классификация мировых рынков | 2 | 1 | 2 | |
| 4 | | Мировой рынок нефти | 2 | 1 | 2 | |
| 5 | | Мировой рынок газа | 2 | 1 | 2 | |
| 6 | | Мировой рынок драгоценных металлов и камней | 2 | 1 | 2 | |
| 7 | | Мировой рынок черных металлов | 2 | 1 | 2 | |
| 8 | | Мировой рынок цветных металлов | 2 | 1 | 2 | |
| 9 | | Мировой рынок лесотовара | 2 | 1 | 2 | |
| 10 | | Мировой рынок сельскохозяйственной продукции | 2 | 1 | 2 | |
| 11 | | Мировой рынок машин и оборудования | 2 | 1 | 2 | |
| 12 | | Мировой рынок военной техники | 2 | 1 | 2 | |
| 13 | | Мировой рынок компьютеров | 2 | 1 | 2 | |
| 14 | | Мировой рынок антиквариата и произведений искусств | 2 | 1 | 2 | |
| 15 | | Мировой рынок телекоммуникаций | 2 | 1 | 2 | |
| 16 | | Мировой рынок услуг | 2 | 1 | 2 | |
| 17 | | Методы анализа мировых рынков | 2 | 1 | 2 | |
| Итого | _ дидактических единиц по ГОС | _17____ разделов РПД | 34_ч. | 17_ч. | 34_ч. | |
| | Трудоемкость по ГОС ____ ч. | Трудоемкость РПД __85___ч. | ||||
^ 4.2. Содержание разделов дисциплины
Тема 1. Введение. Товарная структура международной торговли (табл. 1)
Таблица 1
Товарная структура международной торговли
| Category | Стоимость экспорта, млрд. USD | ^ Удельный вес в суммарном экспорте |
| Food Raw material Ores, ferrous minerals nonferrous metals Fuels | | |
| Total primary products Iron & steel Chemicals Other Semimanufactures Machinery & transport equipment Office & telecommunication equipment Automotive products Textiles Clothing Other consumer goods | ||
| Total manufactures Total export |
Международная стандартная промышленная классификация (International Standard Industrial Classification (ISIC).
Отраслевая структура мировой экономики (табл. 2)
^ Таблица 2
Отраслевая структура мировой экономики, 2000г.
| ^ Отраслевая структура МЭ | Занятость, млн. чел. | Структура занятости, % | Вклад в ВВП, млрд. USD по ППС | ^ Структура вклада, % |
| Материальное производство | | | | |
| Сельское хозяйство | 829,5 | 33,3 | 2475,0 | |
| Строительство | 124,0 | 5,0 | | |
| Промышленность | 345,5 | 13,9 | 10190 | 100 |
| Добывающая: | | | 1058 | 10,4 |
| Угольная | | | 132 | 1,3 |
| Нефтегазовая | | | 692 | 6,8 |
| Металлорудная | | | 101 | 1,0 |
| Обрабатывающая: | | | 8349 | 81,9 |
| Пищевая | | | 1115 | 10,9 |
| Легкая | | | 560 | 5,5 |
| Деревообработка | | | 165 | 1,6 |
| Целлюлозно-бумажная полиграфия | | | 519 | 5,1 |
| Химическая и нефтеперерабатывающая | | | 1350 | 13,2 |
| Стройматериалов | | | 371 | 3,6 |
| Металлургия | | | 589 | 5,8 |
| Машиностроение и металлообработка | | | 3658 | 35,9 |
| общее | | | 1183 | 11,6 |
| электротехническое | | | 1590 | 15,6 |
| транспортное | | | 885 | 8,7 |
| Электро-, газо-, водоснабжение | | | 785 | 7,7 |
| Производство услуг | | | | |
| Транспорт и связь | 91,5 | 3,7 | | |
| Торговля | 329,5 | 13,2 | | |
| Финансовые услуги | 257,0 | 10,3 | | |
| Прочие услуги | 733,0 | 29,4 | | |
| | 2490,0 | 100 | | |
Тема 2. Структура экспорта услуг
Категории услуг в соответствии с ISIC:
- wholesale and retail trade;
- restaurants and hotels;
- transport;
- storage;
- communications;
- financial services;
- insurance;
- real estate;
- business services;
- personal services;
- community services;
- social services;
- government services.
Международная торговля услугами состоит в основном из коммерческих услуг, услуг капитала/инвестиций, официальных услуг (табл. 3).
^ Таблица 3
Мировой экспорт услуг
| Category | |
| Commercial services Shipments Passenger services Port services Travel Other private services and income Investment Icome Other official good, services and income | |
Shipments: freight, insurance and other distributive services
Passenger services: passenger fares and related items
Port services: goods and services procured by carriers at port and charter fees for carriers
Travel: goods and services acquired by travelers
Other: communications, advertising, non merchandising, insurance, brokerage/banking services, management leasing, subscriptions to periodicals, processing and repair, merchanting, professional and technical services
Тема 3. Классификация мировых рынков товаров и услуг
Подходы к классификации мировых рынков товара:
- по нахождению товара на этапе его переработки;
- по степени наукоемкости товара;
- по уровню конкурентности.
Тема 4. Рынок нефти
Распределение запасов нефти. Крупнейшие разведанные месторождения: Саудовская Аравия, Иран, Ирак, Кувейт, ОАЭ, Россия.
Нефтяные шоки. Особенности рынка нефти. События на мировом рынке нефти в XX и в начале XXI в.
Состояние нефтяной отрасли отдельных стран, в том числе и России.
Тема 5. Рынок газа
Распределение запасов газа. Крупнейшие разведанные месторождения. Особенности рынка. Процедура ценообразования. Состояние газового мирового рынка.
Тема 6. Рынок драгоценных металлов и драгоценных камней
Драгоценные металлы: золото, серебро, платина и металлы платиновой группы (палладий, иридий, радий, рутений и осмий)
Драгоценные камни.
Мировые рынки золота, особенности функционирования, мировое предложение золота, мировой спрос на золото. Торговля золотом, центры торговли.
Золотодобывающая отрасль России
Рынки платины и платиновых металлов
Особенности рынка платиновых металлов
Рынки алмазов. Спрос на изделия с бриллиантами. Россия на рынке алмазов
Тема 7. Рынок черных металлов
Черные металлы – это железо и сплавы (чугун, сталь, ферросплавы).
Особенности рынка черных металлов
Факторы, влияющие на рынок
Ведущие экспортеры металлопродукции из черных металлов
Состояние черной металлургии в России
Тенденции развития мирового рынка черных металлов
Тема 8. Рынок цветных металлов.
Цветные металлы: алюминий, медь, свинец, олово, никель, титан, вольфрам, магний, кобальт.
Особенности металлов
Продукция цветной металлургии: первичный, вторичный металл
Отраслевая структура цветной металлургии
Особенности рынков цветных металлов
Мировое производство цветных металлов и место в нем России
Важнейшие факторы, влияющие на конъюнктуру рынка
Механизм ценообразования
Тема 9. Рынок лесотовара
Лесной комплекс стран мира: выращивание, заготовка и промышленное использование лесных ресурсов
Древесина и изделия из нее: древесный уголь, пробка, материал для плетения, корзины, бумажная масса
Мировой лесной рынок: деловая древесина, пиломатериалы, бумага, картон
Мировой рынок готовых изделий из древесины, включая рынок мебели
Особенности рынка лесотовара
Географическая структура мирового рынка лесобумажных товаров
Экспорт из России лесоматериалов: лесоматериалы необработанные; лесоматериалы обработанные; фанера; целлюлоза древесная; бумага газетная
Тема 10. Рынок сельскохозяйственной продукции
Классификация рынков:
- рынки продовольствия (зерно, мясо, фрукты, овощи, молочные продукты и т.д.)
- рынки сельскохозяйственного сырья для производства непищевых товаров (кожи, шкуры, хлопок, каучук, табак, шерсть и т.д.).
Общие и специфические факторы, влияющие на рынок: природный, навыки населения, транспортный, научно-технический прогресс, потребительский спрос на продукцию сельского хозяйства, изменение в демографической структуре населения.
Особенности рынка:
- поставщики основных видов продовольствия развиты страны и НИС;
- поставщики продукции тропического земледелия – развивающиеся страны;
- высокий уровень конкуренции;
- сильное колебание цен.
Тенденции развития рынка:
- обострение конкуренции;
- понижение цен на продукцию сельского хозяйства;
- рост объемов гуманитарной продовольственной помощи;
- рост самообеспеченности стран.
Место и роль России на рынке
Тема 11. Рынок машин и оборудования.
Товарная структура.
Географическая структура:
- Северная Америка;
- Западная Европа;
- Восточная и Юго-Восточная Азия;
- Россия и страны СНГ.
Структура по группам отраслей:
- Общее машиностроение (станкостроение, сельско-хозяйственное машиностроение, тяжелое машиностроение);
- Электротехника и электроника;
- Транспортное машиностроение (cars, ships, авиакосмическое).
Характеристика стран по уровню развития машиностроения
Особенности рынка машин и оборудования
Важнейшие тенденции в развитии рынка машин и оборудования
Тема 12. Рынок военной техники
Характеристики рынка
Важнейшие особенности рынка. Первичный и вторичный рынок
Ценообразование на рынке:
- политические факторы;
- экономические факторы;
- НТП;
Тенденции на рынке:
- положительная динамика;
- увеличение стран экспортеров;
- изменения географической структуры;
- изменение товарной номенклатуры;
- другие.
Классификация товаров на рынке
Крупнейшие экспортеры
Место и роль России на рынке
Тема 13. Рынок компьютеров
Основные черты и особенности мирового компьютерного рынка
Факторы, формирующие спрос на мировом компьютерном рынке
Основные производители
Тема 14. Рынок предметов искусства и антиквариата
Предметы искусства – вещи, предназначенные для удовлетворения эстетических потребностей.
Предметы антиквариата – вещи (обиходные), произведенные в период, далеко предшествующий тому, в котором они уже не используются.
Особенности предметов искусства, как товаров:
- невоспроизводимость;
- конечность;
- объекты преступных посягательств;
- двойственное начало (оценка как с художественной стороны, так и с материальной).
Специфические факторы, действующие на рынке:
- психологические;
- социальные;
- мотивационные;
- эстетические.
Факторы, влияющие на цены:
- возраст произведения;
- психологические;
- характер спроса и предложения.
Тема 15. Рынок телекоммуникаций (Telecommunications)
Этапы развития рынка
Сегменты мирового рынка:
- телекоммуникационные услуги (сотовая связь, спутниковая связь, INTERNET, телефонные сети общего пользования);
- телекоммуникационное оборудование.
Ведущие производители телекоммуникационного оборудования
Потребители телекоммуникационного оборудования:
- операторы сетей связи;
- крупные компании;
- мелкие и средние фирмы;
- государственные организации;
- физические лица.
Важнейшие тенденции развития рынка:
- глобализация;
- динамичный рост всех показателей;
- усложнение телекоммуникационных устройств;
- обострение конкуренции;
- расширение сферы неценовой конкуренции;
- расширение международной кооперации;
- ускорение внедрения новых технологий;
- унификация стандартов связи.
Телекоммуникационный рынок России:
- услуги связи;
- оборудование.
Тема 16. Рынки услуг
Классификация торгуемых услуг
Не торгуемые услуги
Различие между международной торговлей товарами и услугами
Изменение роли услуг в системе материального воспроизводства
Транспортные услуги (перевозка, страхование)
Обслуживание пассажиров
Путешествия: товары и услуги, приобретаемые путешественниками (туристами)
Рекламные услуги
Подписка на периодическое издание
Другие
Доход от инвестиции (услуги связанные с движением факторов производства)
^ 5. Лабораторный практикум
не предусмотрен
6. Практические занятия
На практических занятиях лекционный материал закрепляется при помощи торговли на рынке в режиме реального времени с комментариями и пояснениями преподавателя.
^ 7. Курсовой проект (курсовая работа)
не предусмотрена
8. Учебно-методическое обеспечение дисциплины
8.1. Рекомендуемая литература
Основная
- Кокушкина И.В., Воронин М.С. Международная торговля и мировые рынки: Учебное пособие, - С-Пб.: Техническая книга, 2007
- Диденко Н.И. Основы внешнеэкономической деятельности в РФ, С-Пб.: Питер, 2004
- Сайт журнал «Эксперт»
- Stockholm International Peace Research Institute (SIPRI)
- Постников С.Л. Состояния и проблемы развития оборонно-промышленного комплекса РФ// Политический вестник СФРФ, 2004. №111(204)
Дополнительная литература
- ссылка скрыта. 2000 – Dataquest
- ссылка скрыта. 2000 – International Data Corporation
- Актуальные проблемы внешнеэкономической стратегии России / Под ред. Акад. Ситаряна М., 2003
- ссылка скрыта – Wored Communication and Information Report 1999-2000
- ссылка скрыта - Солонин В. Рынок телекоммуникаций России
- ссылка скрыта – Статистика отраслевых телекоммуникаций
- ссылка скрыта – Международные туристические прибытия
- ссылка скрыта – Показатели
- ссылка скрыта – Показатели
- Поляков В.В. Мировой рынок: вопросы прогнозирования. М., 2004
- Поляков В.В. Прогнозирования мирового товарного рынка: теория и практика, М., 2002
- Фомичев В.И. Основы внешнеэкономической деятельности. С-Пб.: Издательство СПбУЭФ, 1994
8.2. Технические средства обеспечения дисциплины
^ 9. Материально-техническое обеспечение дисциплины
Проведение аудиторных занятий по дисциплине «Мировые товарные рынки» не требует специализированных аудиторий и учебно-лабораторного оборудования.
10. Методические рекомендации по организации изучения дисциплины
^ МЕТОДИКА АНАЛИЗА МИРОВОГО РЫНКА АЛМАЗОВ
- Определить уравнение тренда, показывающего мировую динамику добычи алмазов с 1901 по 2005 и составить прогноз по добыче алмазов на 10 лет вперед для России и для мира в целом. Используются данные (таблица 1 и таблица 2)
- Построить график суммарной мировой добычи алмазов во времени
- Провести исключение случайной компоненты методом экспоненциального сглаживания и представить результаты на одном графике с исходными значениями.
- Построить график суммарной мировой добычи алмазов во времени
Алгоритм расчета экспоненциально сглаженных значений в любой точке ряда i основан на трех величинах: наблюдаемом значении Yi в данной точке ряда i, рассчитанном сглаженном значении для предшествующей точки ряда Ei-1 и некотором заранее заданном коэффициенте сглаживания W, постоянным по всему ряду. Понятно, что в первой точке ряда нет сглаженного значения для предшествующей точки (нет самой такой точки), и сглаженным значением E1 считается сама наблюдаемая в этой точке величина отклика Y1. Для всех следующих точек действует простое правило вычислений:

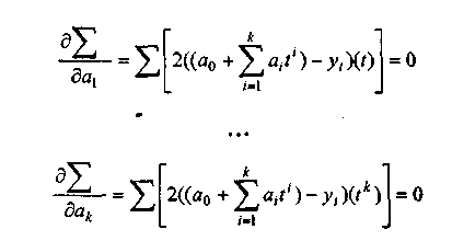
- Рассчитать коэффициенты уравнения тренда с помощью метода наименьших квадратов и выбрать наилучшую функцию для представления тенденции развития ряда динамики по коэффициенту детерминации:

где
- исходные данные;
-значение t-го года, вычисленное по математическому уравнениюДля описания динамики, выбирается полином вида:

После преобразования следует продифференцировать функцию по каждому неизвестному параметру:


Получаем систему линейных уравнений:

Данную систему линейных уравнений, где аргументами являются коэффициенты а0,...,ак, можно решить с помощью матриц:

Решение системы:

Матрица X содержит коэффициенты уравнения, описывающего данный процесс.
Таким образом, находятся коэффициенты уравнения.
Для того, чтобы осуществить выбор наилучшей функции, необходимо осуществить сравнение дисперсий. Общую вариацию исследуемого ряда динамики можно разделить на две части

где SSy - вариации исследуемого показателя;
SSmp. - вариация вследствие тенденции;
SSсл.. - случайная вариации.


Тесноту связи измеряют коэффициентом детерминации R2

Наиболее подходящей является та функция, которая имеет максимальное значение R2.
- Проверить значимость уравнения тренда и его коэффициентов
Значимость уравнения тренда проверяют, сформулировав гипотезы:

Для этого используется F-статистика:

где k- число параметров уравнения тренда;
N - число уровней ряда динамики.
Находится табличное значение F-статистики .

α -уровень значимости (ошибка первого рода);
R - кол-во степеней свободы дисперсии вследствие тенденции;
R = k-1;
Y - число степеней свободы для случайной дисперсии, равное уу=N-к.
Сравниваются значения
и
и принимается решение о значимости модели.Если
>
, то математическая модель значима, если - нет, то математическая модель не значима.- Выполнить прогноз добычи алмазов на 10 лет для России и для мира в соответствии с полученным уравнением тренда
- Определить тесноту связи показателя, описывающего добычу алмазов в натуральном выражении и показателя доли промышленности в ВВП страныдля алмазодобывающих стран с помощью корреляционного анализа. Используются данные (табл. 3)
- Определить зависимую и независимую переменные.
- Определить зависимую и независимую переменные.
Пусть Y - (доля промышленности в ВВП страны, %) - зависимая переменная, а X -(добыча алмазов, тыс. кар.) - независимая переменная (категориальная).
- Провести первичную проверку неоднородной совокупности на наличие в ней грубых ошибок с использованием метода трех сигм.
Последовательность использования метода трех сигм следующая: а) Собрать информацию для анализа и представить её в виде таблицы. Найти интервал трех сигм для показателя Р

где
- среднее значение показателя Р, определяемое как
n - число объектов в выборке;
xi - значение показателя по i-y объекту;
- среднеквадратическое отклонение, определяемое как

Среди данных по странам выявить те, которые не попадают в найденный интервал и удалить их.
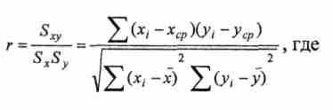
- Определить тесноту линейной связи между переменными X и Y с помощью коэффициента корреляции Пирсона
Формула коэффициента линейной корреляции Пирсона выглядит следующим образом:

Sx, Sy -вариация для переменных X и Y;
Sxy - ковариация между переменными X и Y;
xi, уi; - значения переменных х и у для объекта с номером i:
хср, уср- средние арифметические для переменных X и Y.
- Оценить значимость коэффициента корреляции
Значимость коэффициента корреляции показывает зависимость или независимость признаков.
Если коэффициент незначим, то признаки х и у считаются независимыми. Для этого проверяется гипотеза Н0: = 0. Для этого вычисляется tнабл.- и находится tтабл. по таблице t - распределения Стьюдента

tнабл - находится для определенного значения α (α = 10%, 5%, 2%, 1%) и =n-2
Если | tнабл | > tтабл, то гипотеза Н0 отвергается с вероятностью ошибки а.
Если | tнабл | ≤ tтабл, то гипотеза Н0 не отвергается
- Интерпретировать результаты
- Определить степень влияния добычи алмазов на удельный вес промышленности в ВВП страны с использованием дисперсионного анализа
- Разбить исходные данные на n групп для дисперсионного анализа.
- Разбить исходные данные на n групп для дисперсионного анализа.
Результаты разбиения представить в табл. 8 и 9.
^ Таблица 8
Категории независимой переменной X
| Категории X | ^ Кол-во стран (m) |
| | |
Таблица 9
Результаты разбиения
| Страна | Добыча алмазов, тыс. кар. (X) | ^ Доля промышленности в ВВП страны, %. (Y) |
| Категория I | ||
| … | … | … |
| Категория II | ||
| … | … | … |
3.2 Разложить полную вариацию зависимой переменной
Полную вариацию Y, обозначенную SSy разложим на два компонента:
SSy = SSмежду + SSвнутри,
где SSмежду - это вариация переменной Y, связанная с различием средних между группами переменной X. Другими словами, это вариация между категориями переменной X, поэтому её также обозначают как SSx;
SSвнутри - это вариация переменной Y, связанная с вариацией внутри каждой группы переменной X, её вычисляют, не учитывая фактор X и называют вариацией ошибки (SSошибки)
SSy = SSx + SSошибки,

где уi- отдельное наблюдение;
- среднее для групп j;
- среднее для всей выборки (общая средняя);
- i-e наблюдение в j-й группе3.3. Измерить эффект влияния переменной X на Y
Идея разложения на две компоненты заключается в том, чтобы наглядно представить, и изучить различия в групповых средних. С помощью SSX можно определить силу влияния переменной х на у.
Эффект влияния X на Y определяется по формуле:

где 2 - корреляционное отношение (О < < 1)
2 равно 0, когда все групповые средние равны, т. е. переменная X не влияет на Y.
2 равно 1, когда внутри каждой группы переменной X изменчивость отсутствует, но имеется некоторая изменчивость между группами/
3.4. Проверить значимость
В однофакторном дисперсионном анализе проверяют нулевую гипотезу, утверждающую, что групповые средние в рассматриваемой совокупности равны:
Н0: 1 = 2 = 3 = 4
В соответствии с нулевой гипотезой значения SSx и SSошибки зависят от одного источника вариации. Нулевую гипотезу можно проверить с помощью F-статистики, рассчитываемой как отношение между двумя оценками дисперсий:

F - статистика подчиняется F-распределению с числом степеней свободы df=(p-l) и (N-p). Таблица распределения F- статистики приводится в учебниках. Сравниваются Fтабл и Fрасч.
Например, если Fтабл(α;p-1;N-p)
3.5. Интерпретировать результаты
Если нулевую гипотезу о равенстве групповых средних не отклоняют, то независимая переменная не оказывает статистически значимого влияния на зависимую переменную. Если нулевую гипотезу отклоняют, то среднее значение зависимой переменной различают для различных групп независимой переменной.
4. Разделить алмазодобывающие страны на группы на основе показателей ВВП, ВВП на душу населения, доли промышленности в ВВП, доли городского населения, и исследовать полученные группы на предмет существования значимых различий между ними, определения факторов, вносящих наибольший вклад в межгрупповые различия, и определения дискриминантных функций. Используются данные (табл. 4)
4.1. Провести первичную проверку неоднородной совокупности на наличие в ней грубых ошибок с использованием метода трех сигм
4.2. Провести кластерный анализ методом k-cредних по указанным показателям
Результаты представить в таблицах (табл. 10, 11).
Таблица10
Кластерные центры
| Показатель | Кластер | |||
| 1 | 2 | … | n | |
| ВВП, млн. $ | | | | |
| ВВП на душу населения, $/чел в год | | | | |
| Доля городского населения, % | | | | |
| Доля промышленности в ВВП, % | | | | |
Таблица 11
Кластерная принадлежность
| 1 группа | 2 группа | … | n группа |
| | | | |
^ 5. Проанализировать классификацию полученную в результате кластерного анализа групп алмазодобывающих стран с помощью дискриминантного анализа, проверить значимость
Результаты дискриминантного анализа трёх групп представить в таблицах (табл. 12 - 20)
^ Таблица 12
Среднее значение и среднеквадратичное отклонение независимых переменных
| Кластер | Показатель | Среднее арифметическое | ^ Стандартное отклонение |
| 1 | X1 | | |
| Х2 | | | |
| X3 | | | |
| Х4 | | | |
| 2 | … | | |
| … | … | | |
| n | … | | |
^ Таблица 13
Объединённая межгрупповая корреляционная матрица
| Переменная | X1 | Х2 | ХЗ | Х4 |
| X1 | 1 | | | |
| Х2 | | 1 | | |
| ХЗ | | | 1 | |
| Х4 | | | | 1 |
^ Таблица 14
Коэффициент Уилкса (U статистика), F критерий с двумя и 17 степенями свободы
| Переменная | ^ Коэффициент Уилкса | Значение F | Значимость |
| X1 | | | |
| Х2 | | | |
| ХЗ | | | |
| Х4 | | | |
^ Таблица 15
Канонические дискриминантные функции
| Функция | Собственное значение | Процент вариации | Кумулятивный процент | Каноническая корреляция |
| | | | | |
^ Таблица 16
Канонические дискриминантные функции
| Функция | Коэффициент Уилкса | Хи квадрат | Степени свободы | Значимость |
| | | | | |
^ Таблица 17
Нормированные коэффициенты канонической дискриминантной функции
| Показатель | Функция |
| X1 | |
| Х2 | |
| X3 | |
| Х4 | |
^ Таблица 18
Ненормированные коэффициенты канонической дискриминантной функции
| Показатель | Функция |
| XI | |
| Х2 | |
| ХЗ | |
| Х4 | |
^ Таблица 19
Канонические дискриминантные функции, оцененные по групповым средним (центроидам групп)
| Группа | Функция |
| 1 | |
| 2 | |
| … | |
| n | |
^ Таблица 20
Результаты классификации
| Изначально | Количество | Группа | Предсказанная групповая принадлежность | |||
| | 1 | 1 | 2 | … | n | |
| | 2 | | | | | |
| | .. | | | | | |
| | n | | | | | |
^
ЭКЗАМЕНАЦИОННЫЕ БИЛЕТЫ ПО ДИСЦИПЛИНЕ
«МИРОВЫЕ ТОВАРНЫЕ РЫНКИ»
Билет №1
1. Понятие «мирового рынка товаров»
2. Использование однофакторного дисперсионного анализа для изучения мирового рынка
Билет №2
- Понятие «мирового рынка услуг»
- Использование многофакторного дисперсионного анализа для изучения мирового рынка
Билет №3
- Классификация мировых рынков товаров
- Использование многомерного дисперсионного анализа для изучения рынка
Билет №4
- Классификация мировых рынков услуг
- Использование ковариационного анализа для изучения рынка
Билет №5
- Характеристика, особенности, тенденции мирового рынка нефти
- Использование корреляционного анализа (канонический коэффициент корреляции) для изучения рынка
Билет №6
- Характеристика, особенности, тенденции мирового рынка газа
- Выявление колебаний основных показателей рынка
Билет №7
- Характеристика, особенности, тенденции мирового рынка угля
- Выявление зависимости между показателями рынка во времени
Билет №8
- Характеристика, особенности, тенденции мирового рынка драгоценных металлов
- Использование неметрического дисперсионного анализа для изучения рынка
Билет №9
- Характеристика, особенности, тенденции мирового рынка древесины
- Использование регрессионного анализа для изучения рынка
Билет №10
- Характеристика, особенности, тенденции мирового рынка черных металлов
- Использование корреляционного анализа (парный коэффициент корреляции) для изучения рынка
Билет №11
- Характеристика, особенности, тенденции мирового рынка алюминия
- Построения тренда основных показателей рынка
Билет №12
- Характеристика, особенности, тенденции мирового рынка титана
- Прогнозирование показателей рынка с использованием авторегрессионных моделей
Билет №13
- Характеристика, особенности, тенденции мирового рынка лесоматериалов
- Прогнозирование показателей рынка с помощью авторегрессионных моделей
Билет №14
- Характеристика, особенности, тенденции мирового рынка зерна
- Нахождение основных факторов, определяющих конъюнктуру мирового рынка (факторный анализ)
Билет №15
- Характеристика, особенности, тенденции мирового рынка автомобилей
- Прогнозирование показателей рынка с использованием регрессионных моделей
Билет №16
- Характеристика, особенности, тенденции мирового рынка транспортных услуг
- Классификация мировых товарных рынков с использованием кластерного анализа
Билет №17
- Характеристика, особенности, тенденции мирового рынка телекоммуникаций
- Классификация мировых рынков услуг с использованием кластерного анализа
^ 11. Особенности организации учебного процесса при очно-заочной и (или) заочной формах обучения
Данные формы обучения отсутствуют
Выполнение требований ГОС ВПО в рабочей программе учебной дисциплины подтверждаем:
| Заказчик РПД Заведующий выпускающей кафедрой «Мировая экономика», ФЭМ ___________ ____Диденко Н.И.__ (подпись) (ФИО) "____" ________ 2009г. | Разработчик РПД Заведующий кафедрой «Мировая экономика», ФЭМ ___________ ____Диденко Н.И.__ (подпись) (ФИО) "____" ________ 2009г. |
