Вероятность произведения событий. Условная вероятность
| Вид материала | Документы |
- Основные простейшие теоремы теории вероятностей, 32.04kb.
- Программа курса лекций, 26.81kb.
- Лекция Условная вероятность, независимость, 67.33kb.
- Контрольная работа №4. по дисциплине «ТВиМС», 25.55kb.
- Лекция Управление рисками проекта, 216.18kb.
- Курс «Вероятность» является вторым в ряду вероятностно-эконометрических курсов Вероятность, 32.07kb.
- Основные виды случайных величин, 49.77kb.
- Введение, 58.17kb.
- Томский Государственный Университет Систем Управления и Радиоэлектроники (тусур) Томский, 19.19kb.
- Программа обсуждена на заседании кафедры Математики фнти, 75.2kb.
^ Функция распределения и плотность вероятности непрерывной случайной величины
Если функция распределения F (x) непрерывна, то случайная величина называется непрерывной случайной величиной.
Если функция распределения непрерывной случайной величины дифференцируема, то более наглядное представление о случайной величине дает плотность вероятности случайной величины p (x), которая связана с функцией распределения F (x) формулами
и
.Отсюда, в частности, следует, что для любой случайной величины
.Квантили
При решении практических задач часто требуется найти значение x, при котором функция распределения F (x) случайной величины принимает заданное значение p, т.е. требуется решить уравнение F (x) = p. Решения такого уравнения (соответствующие значения x) в теории вероятностей называются квантилями.
Квантилью xp (p-квантилью, квантилью уровня p) случайной величины
, имеющей функцию распределения F (x), называют решение xp уравнения F (x) = p, p
(0, 1). Для некоторых p уравнение F (x) = p может иметь несколько решений, для некоторых - ни одного. Это означает, что для соответствующей случайной величины некоторые квантили определены неоднозначно, а некоторые кванитили не существуют.Квантили, наиболее часто встречающиеся в практических задачах, имеют свои названия:
медиана - квантиль уровня 0.5;
нижняя квартиль - квантиль уровня 0.25;
верхняя квартиль - квантиль уровня 0.75;
децили - квантили уровней 0.1, 0.2, …, 0.9;
процентили - квантили уровней 0.01, 0.02, …, 0.99.
Вероятность попадания в интервал
Вероятность того, что значение случайной величины F (x) попадает в интервал (a, b), равная P(a < < b) = F (b) -F (a), вычисляется по формулам:
- для непрерывной случайной величины и
- для дискретной случайной величины.Если a= -
, то
,если b=
, то
.Математическое ожидание случайной величины ~ ^ Дисперсия случайной величины ~ Моменты ~ Ассиметрия ~ Эксцесс ~ Среднее геометрическое и среднее гармоническое
Каждая случайная величина полностью определяется своей функцией распределения.
В то же время при решении практических задач достаточно знать несколько числовых параметров, которые позволяют представить основные особенности случайной величины в сжатой форме. К таким величинам относятся в первую очередь математическое ожидание и дисперсия.
^ Математическое ожидание случайной величины
Математическое ожидание - число, вокруг которого сосредоточены значения случайной величины. Математическое ожидание случайной величины обозначается M .
Математическое ожидание дискретной случайной величины , имеющей распределение
| x1 | x2 | ... | xn |
| p1 | p2 | ... | pn |
называется величина
, если число значений случайной величины конечно. Если число значений случайной величины счетно, то
. При этом, если ряд в правой части равенства расходится, то говорят, что случайная величина не имеет математического ожидания.^ Математическое ожидание непрерывной случайной величины с плотностью вероятностей p (x) вычисляется по формуле
. При этом, если интеграл в правой части равенства расходится, то говорят, что случайная величина не имеет математического ожидания.Если случайная величина является функцией случайной величины , = f(x), то
.Аналогичные формулы справедливы для функций дискретной случайной величины:
,
.Основные свойства математического ожидания:
- математическое ожидание константы равно этой константе, Mc=c ;
- математическое ожидание - линейный функционал на пространстве случайных величин, т.е. для любых двух случайных величин , и произвольных постоянных a и b справедливо: M(a + b ) = a M( )+ b M( );
- математическое ожидание произведения двух независимых случайных величин равно произведению их математических ожиданий, т.е. M( ) = M( )M( ).
Дисперсия случайной величины
Дисперсия случайной величины характеризует меру разброса случайной величины около ее математического ожидания.
Если случайная величина имеет математическое ожидание M , то дисперсией случайной величины называется величина D = M( - M )2.
Легко показать, что D = M( - M )2= M 2 - M( )2.
Эта универсальная формула одинаково хорошо применима как для дискретных случайных величин, так и для непрерывных. Величина M 2 >для дискретных и непрерывных случайных величин соответственно вычисляется по формулам
,
.Для определения меры разброса значений случайной величины часто используется среднеквадратичное отклонение
, связанное с дисперсией соотношением
.Основные свойства дисперсии:
- дисперсия любой случайной величины неотрицательна, D
0;
- дисперсия константы равна нулю, Dc=0;
- для произвольной константы D(c ) = c2D( );
- дисперсия суммы двух независимых случайных величин равна сумме их дисперсий: D( ) = D( ) + D ( ).
Моменты
В теории вероятностей и математической статистике, помимо математического ожидания и дисперсии, используются и другие числовые характеристики случайных величин. В первую очередь это начальные и центральные моменты.
^ Начальным моментом k-го порядка случайной величины называется математическое ожидание k-й степени случайной величины , т.е. k = M k.
Центральным моментом k-го порядка случайной величины называется величина k, определяемая формулой k = M( - M )k.
Заметим, что математическое ожидание случайной величины - начальный момент первого порядка, 1 = M , а дисперсия - центральный момент второго порядка,
2 = M 2 = M( - M )2 = D .
Существуют формулы, позволяющие выразить центральные моменты случайной величины через ее начальные моменты, например:
2= 2- 12, 3 = 3 - 3 2 1 + 2 13.
Если плотность распределения вероятностей непрерывной случайной величины симметрична относительно прямой x = M , то все ее центральные моменты нечетного порядка равны нулю.
Асимметрия
В теории вероятностей и в математической статистике в качестве меры асимметрии распределения является коэффициент асимметрии, который определяется формулой
, где 3 - центральный момент третьего порядка,
- среднеквадратичное отклонение.Эксцесс
Нормальное распределение наиболее часто используется в теории вероятностей и в математической статистике, поэтому график плотности вероятностей нормального распределения стал своего рода эталоном, с которым сравнивают другие распределения. Одним из параметров, определяющих отличие распределения случайной величины , от нормального распределения, является эксцесс.
Эксцесс случайной величины определяется равенством
.У нормального распределения, естественно, = 0. Если ( ) > 0, то это означает, что график плотности вероятностей p (x) сильнее “заострен”, чем у нормального распределения, если же ( ) < 0, то “заостренность” графика p (x) меньше, чем у нормального распределения.
Среднее геометрическое и среднее гармоническое
Среднее гармоническое и среднее геометрическое случайной величины - числовые характеристики, используемые в экономических вычислениях.
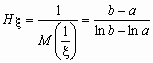
^ Средним гармоническим случайной величины, принимающей положительные значения, называется величина
.Например, для непрерывной случайной величины, распределенной равномерно на [a, b],
0 < a < b, среднее гармоническое вычисляется следующим образом:
и
.^ Средним геометрическим случайной величины, принимающей положительные значения, называется величина
.Название “среднее геометрическое” происходит от выражения среднего геометрического дискретной случайной величины, имеющей равномерное распределение
| | a1 | a2 | a3 | ... | an |
| p | 1/n | 1/n | 1/n | ... | 1/n |
Среднее геометрическое, вычисляется следующим образом:
,т.е. получилось традиционное определение среднего геометрического чисел a1, a2, …, an.
Например, среднее геометрическое случайной величины, имеющей показательное распределение с параметром , вычисляется следующим образом:
,
. Здесь С 0.577 - постоянная Эйлера.
^ Биномиальное распределение ~ Геометрическое распределение ~ Гипергеометрическое распределение ~ Пуассоновское распределение
Биномиальное распределение
Пусть проводится серия из n независимых испытаний, каждое из которых заканчивается либо “успехом” либо “неуспехом”. Пусть в каждом испытании (опыте) вероятность успеха p, а вероятность неуспеха q = 1- p. С таким испытанием можно связать случайную величину , значение которой равно числу успехов в серии из n испытаний. Эта величина принимает значения от 0 до n. Ее распределение называется биномиальным и определяется формулой Бернулли
, 0 < p <1, k = 0, 1, …, n,
, M = np, D = npq,
. Геометрическое распределение
Со схемой испытаний Бернулли можно связать еще одну случайную величину - число испытаний до первого успеха. Эта величина принимает бесконечное множество значений от 0 до +
и ее распределение определяется формулой pk = P(= k) = qk-1 p, 0 <p <1, k=1, 2, … ,
,
,
.^ Гипергеометрическое распределение
В партии из N изделий имеется M (M < N) доброкачественных и N - M дефектных изделий. Если случайным образом из всей партии выбрать контрольную партию из n изделий, то число доброкачественных изделий в контрольной партии - случайная величина, которую обозначим. Распределение такой случайной величины называется гипергеометрическим и имеет вид:
, k = 0, 1, …, min(n,M),
,
,
.^ Пуассоновское распределение
Пуассоновское распределение c параметром имеет случайная величина , принимающая целые неотрицательные значения k = 0, 1, 2, … с вероятностями pk:
,
, M =, D = , > 0 - параметр распределения.Равномерное распределение ~ Экспоненциальное (показательное) распределение ~ Нормальное распределение ~ Распределение хи-квадрат (c 2- распределение) ~ F-распределение Фишера ~ Распределение Парето ~ Логистическое распределение ~ Логнормальное распределение ~ Вета-распределение ~ Распределение Вейбулла ~ Распределение Коши ~ Гамма-распределение ~ Распределение Лапласа
Равномерное распределение
Непрерывная случайная величина , принимающая значения на отрезке [a, b], распределена равномерно на [a, b], если ее плотность распределения p (x) и функция распределения Fx (x ) имеют соответственно вид:


,
.^ Экспоненциальное (показательное) распределение
Непрерывная случайная величина имеет показательное распределение с параметром > 0, если она принимает только неотрицательные значения, а ее плотность распределения p (x )и функция распределения F (x) имеют соответственно вид:


,
.^ Нормальное распределение
Нормальное распределение играет исключительно важную роль в теории вероятностей и математической статистике.
Случайная величина нормально распределена с параметрами a и , >0, если ее плотность распределения p (x ) и функция распределения F (x) имеют соответственно вид:
,
, M = a, D = 2.Часто используемая запись ~ N(a, ) означает, что случайная величина имеет нормальное распределение с параметрами a и .
Говорят, что случайная величина имеет стандартное нормальное распределение, если a = 0 и = 1 ( ~ N(0, 1)). Плотность и функция распределения стандартного нормального распределения имеют вид:
,
, M = 0, D = 1. Здесь
- функция Лапласа. Функция распределения нормальной величины ~ N(a, ) выражается через функцию Лапласа следующим образом:
.Если ~ N(a, ), то случайную величину = (x-a)/ называют стандартизованной или нормированной случайной величиной; ~ N(0, 1) - имеет стандартное нормальное распределение.
