Isbn 5-7262-0634 нейроинформатика 2006
| Вид материала | Документы |
СодержаниеАвтоматизированная система управления технологическими процессами |
- Isbn 5-7262-0634 нейроинформатика 2006, 188.49kb.
- Isbn 5-7262-0634 нейроинформатика 2006, 96.9kb.
- Isbn 5-7262-0634 нейроинформатика 2006, 95.41kb.
- Isbn 5-7262-0634 нейроинформатика 2006, 112.72kb.
- Isbn 5-7262-0634 нейроинформатика 2006, 104.27kb.
- Isbn 5-7262-0634 нейроинформатика 2006, 75.04kb.
- Isbn 5-7262-0634 нейроинформатика 2006, 165.42kb.
- Isbn 5-7262-0634 нейроинформатика 2006, 103.98kb.
- Isbn 978-5-7262-1377 нейроинформатика 2011, 107.92kb.
- Isbn 978-5-7262-1226 нейроинформатика 2010, 142.85kb.
ISBN 5-7262-0634-7. НЕЙРОИНФОРМАТИКА – 2006. Часть 3
П.Ю. ТЯПКИН
Московский государственный технический университет «МАМИ»
tanechkanet@yandex.ru
АВТОМАТИЗИРОВАННАЯ
ИНФОРМАЦИОННО-УПРАВЛЯЮЩАЯ СИСТЕМА
ТЕХНОЛОГИЧЕСКИМ ПРОЦЕССОМ СБОРКИ
РЕДУКТОРА АВТОБУСА ЛИАЗ 5256 ПРИ ПОМОЩИ
НЕЙРОСЕТЕВЫХ ТЕХНОЛОГИЙ В ПРОГРАМНОЙ СРЕДЕ
MATLAB
Аннотация
Для обеспечения качества селективной сборки узлов редуктора разработана автоматизированная информационно-управляющая система на основе нейросетевых технологий. Предложены новые программные решения по управлению процессом подбора деталей для передачи на сборочный конвейер – система подготовки «пакетов» деталей для сборочного конвейера. Для решения задачи использована программная среда МАТLАВ с пакетами расширения Neural Network Toolbox и Fuzzy Logic Toolbox.
Автоматизированная система управления технологическими процессами – совокупность аппаратно-программных средств, осуществляющих контроль и управление производственными и технологическими процессами; поддерживающих обратную связь и активно воздействующих на ход процесса при отклонении его от заданных параметров; обеспечивающих регулирование и оптимизацию управляемого процесса.
Для обеспечения качества селективной сборки узлов редуктора разработана автоматизированная информационно-управляющая система (АИУС) на основе нейросетевых технологий, в использовании системы предложены новые программные решения по управлению процессом подбора деталей для передачи на сборочный конвейер – система подготовки «пакетов» деталей для сборочного конвейера с использованием ЭВМ. На ЭВМ установлена программная среда МАТLАВ с пакетами расширения Neural Network Toolbox и Fuzzy Logic Toolbox [1]. С помощью этих пакетов расширения создаются нейронные сети, которые обрабатывают поступающую с датчиков информацию (рис. 1) и через промежуточные устройства управляют манипуляторами, перемещающими заготовки в нужные ячейки (рис. 2).
При построении устройств, использующих ЭВМ для управления и контроля сложными производственными процессами, можно обрабатывать в реальном масштабе времени сигналы, поступающие одновременно от многих источников и датчиков, и восстанавливать аналоговую информацию на выходе МП или ЭВМ, и распределять ее между различными исполнительными устройствами, используя аналого-цифровые преобразования многоканальной информации, имеющие особенности, связанные с различием характеристик сигналов отдельных каналов: динамического диапазона изменения, уровня помех, частотного спектра и т.д. Отсюда вытекает необходимость нормализации сигналов различных датчиков. Устройства, осуществляющие нормализацию и аналого-цифровое преобразование сигналов с последующим вводом информации в ЭВМ, называют системами сбора данных (ССБ) [2].
В рассматриваемой АИУС процессом сборки (рис. 1) используется один АЦП с УВХ, работающий совместно с аналоговым мультиплексором, который преобразует многоканальную информацию в одноканальную и подает ее последовательно на АЦП, откуда она, соответствующим образом сформированная (высокая производительность ССБ достигается совмещением коммутации очередного канала данных с преобразованием в АЦП информации из предыдущего канала), поступает на ЭВМ, содержащую операционную систему Windows 2000 (на которой так же базируется локальная сеть, соединяющая цеха, для осуществления обратной связи, служащей для повышения качества сборки) и не посредственно специально обученные нейросети (программа Matlab v6.0).
Автоматизированная информационно-управляющая система процесса сборки [3, 4] при помощи обученных нейросетей с системой обратной связи включает (рис. 2):
- измерение диаметров внутреннего и внешнего колец подшипника,
- измерение диаметра вала ведущей шестерни,
- измерение внутреннего диаметра стакана ведущей шестерни,
- систему подбора оптимально соответствующих друг другу деталей для сборки под управлением нейросети.

Рис. 1. Система сбора данных и их обработки на ЭВМ
с использованием нейросетей

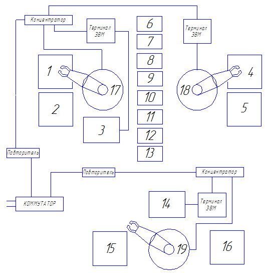
Рис. 2. Схема компоновки участка информационно-управляющей системы
На рис. 2 приняты обозначения:
1. Стол для поступающих стаканов ведущей шестерни
2. Стол для поступающих подшипников
3. Измерительный стенд
4. Стол для отобранных стаканов вал-шестерни
5. Стол для отобранных подшипников
6. Тара для подшипников с dвнеш. макс и dвнутр. макс.
7. Тара для подшипников с dвнеш. макс и dвнутр. мин.
8. Тара для стаканов ведущей шестерни с d макс.
9. Тара для подшипников с dвнеш. сред. и d внутр. сред.
10. Тара для стаканов ведущей шестерни с d сред..
11. Тара для стаканов ведущей шестерни с d мин.
12. Тара для подшипников с d внутр. мин и d внутр. макс.
13. Тара для подшипников с d внутр. мин и d внутр. мин.
14. Измерительный стенд
15. Стол для поступающей вал-шестерни
16. Стол для отобранных вал-шестерен
17. Манипулятор для перемещения деталей
18. Манипулятор для перемещения деталей
19. Манипулятор для перемещения деталей
Структура работы нейросети и алгоритмы подбора деталей.
Подбор деталей (рис. 2) и обработка результатов в нейросети осуществляется в следующей последовательности.
Поступающая вал-шестерня со стола (15) манипулятором (19) устанавливается на контрольно-измерительное приспособление (14). Далее посредством ЭВМ, концентраторов и коммутаторов данные о диаметре вала-шестерни заносятся в базу данных обучающей последовательности нейросети. После этого манипулятором (19) вал-шестерня передается на стол для отправки на сборочный участок. Одновременно с этими операциями подшипник поступающий на стол (2) манипулятором (17) устанавливается на контрольно-измерительное приспособление (3), где производится измерение диаметров внутреннего и внешнего колец подшипника. Посредством ЭВМ, концентраторов и коммутаторов данные об измеренных диаметрах подшипника заносятся в базу данных обучающей последовательности нейросети. После этого манипулятором (17) по команде поступившей от обученной нейросети (рис. 3) на основе расчетов, подшипник перемещается в определенную ячейку (6 – 13). Далее манипулятором (17) на контрольно-измерительное приспособление (3) перемещается стакан ведущей шестерни, поступающий на стол (1). На контрольно-измерительном приспособлении (3) производится измерение внутреннего диаметра стакана вал-шестерни в месте, где устанавливается подшипник. Посредством ЭВМ, концентраторов и коммутаторов данные об измеренном диаметре стакана вал-шестерни заносятся в базу данных обучающей последовательности нейросети. Затем манипулятором (17) по команде поступившей от нейросети на основе расчетов, стакан вал-шестерни перемещается в определенную ячейку (6 – 13).
Следующим шагом является подбор в нейросети оптимально подходящих друг другу для сборки подшипника и стакана вал-шестерни, который производится в следующей последовательности:
- С контрольно-измерительного стенда (3) данные об измеренных диаметрах деталей, посредством ЭВМ, концентраторов и коммутаторов передаются в базу данных обучающей последовательности нейросети. В базе данных поле допуска на каждый из измеряемых диаметров подшипника и стакана вал-шестерни, условно делится на 3 диапазона: «А» – с минимальным значением (нижняя граница поля допуска); «Б» – со средним значением; «В» – с максимальным значением (верхняя граница поля допуска).

Рис. 3. Алгоритм настраивания нейросети по подбору подходящих деталей
- Полученные данные о диаметрах распределяются нейросетью по этим диапазонам и на их основе сеть отдает команду манипулятору (17) на перемещение детали в определенную ячейку (6 – 13), в соответствии со следующим алгоритмом:
- если значение измеренного диаметра внешнего кольца подшипника попадает в диапазон «В» и значение измеренного диаметра внутреннего кольца попадает в диапазон «В», то манипулятор (17) перемещает подшипник в ячейку (6);
- если значение измеренного диаметра внешнего кольца подшипника попадает в диапазон «В», а значение измеренного диаметра внутреннего кольца попадает в диапазон «А», то манипулятор (17) перемещает подшипник в ячейку (7);
- если значение измеренного диаметра стакана вала-шестерни попадает в диапазон «В», то манипулятор (17) перемещает стакан вала-шестерни в ячейку (8);
- если значение измеренного диаметра внешнего кольца подшипника попадает в диапазон «Б» и значение измеренного диаметра внутреннего кольца попадает в диапазон «Б», то манипулятор (17) перемещает подшипник в ячейку (9);
- если значение измеренного диаметра стакана вала-шестерни попадает в диапазон «Б», то манипулятор (17) перемещает стакан вала-шестерни в ячейку (10);
- если значение измеренного диаметра стакана вала-шестерни попадает в диапазон «А», то манипулятор (17) перемещает вал-шестерню в ячейку (11);
- если значение измеренного диаметра внешнего кольца подшипника попадает в диапазон «А» и значение измеренного диаметра внутреннего кольца попадает в диапазон «В», то манипулятор (17) перемещает подшипник в ячейку (12);
- если значение измеренного диаметра внешнего кольца подшипника попадает в диапазон «А» и значение измеренного диаметра внутреннего кольца попадает в диапазон «А», то манипулятор (17) перемещает подшипник в ячейку (13);
- Затем в нейросеть записываются номера ячеек и соответствующие им значения измеренных диаметров, которые разбиваются условно на три группы в соответствии с диапазонами полей допусков по следующей схеме:
- В первую группу попадают стаканы вал-шестерни со значениями измеренного диаметра, попадающими в диапазон «В» – ячейка (8) и оптимально подходящие им подшипники из ячеек (6) и (7);
- Во вторую группу попадают стаканы вал-шестерни со значениями измеренного диаметра, попадающими в диапазон «Б» – ячейка (10) и оптимально подходящие им подшипники из ячейки (9);
- В третью группу попадают стаканы вал-шестерни со значениями измеренного диаметра, попадающими в диапазон «А» – ячейка (11) и оптимально подходящие им подшипники из ячеек (12) и (13);
- В результате такого условного разделения на группы, нейросеть автоматически даст команду манипулятору на перемещение строго подобранного стакана вала-шестерни требуемому подшипнику, по запрашиваемому значению диаметра внутреннего кольца этого подшипника.
- Далее в базу данных обучающей последовательности нейросети заносятся данные об измеренном диаметре вала-шестерни получаемые посредством ЭВМ, концентраторов и коммутаторов от контрольно-измерительного стенда (14), которые также сортируются по трем диапазонам: «А» – с минимальным значением (нижняя граница поля допуска); «Б» – со средним значением; «В» – с максимальным значением (верхняя граница поля допуска).
- На основе полученных описанных выше данных нейросеть производит подбор оптимально подходящих друг другу для сборки подшипника и вал-шестерни, который производится по следующему алгоритму:
- если значение измеренного диаметра вала-шестерни попадает в диапазон «В», то нейросеть отдает команду манипулятору (18) на перемещение подшипника из ячейки (6) и соответствующего ему стакана вал-шестерни из ячейки (8) на столы (5) и (4) соответственно или подшипника из ячейки (12) и соответствующего ему стакана вал-шестерни из ячейки (11) на столы (5) и (4) соответственно;
- если значение измеренного диаметра вала-шестерни попадает в диапазон «Б», то нейросеть отдает команду манипулятору (18) на перемещение подшипника из ячейки (9) на стол (5) и соответствующего ему стакана вал - шестерни из ячейки (10) на стол (4);
- если значение измеренного диаметра вала-шестерни попадает в диапазон «А», то нейросеть отдает команду манипулятору (18) на перемещение подшипника из ячейки (7) и соответствующего ему стакана из ячейки (8) на столы (5) и (4) соответственно, или подшипника из ячейки (13) и соответствующего ему стакана вал-шестерни из ячейки (11) на столы (5) и (4) соответственно.
Разработанные и описанные функциональная и программная модель системы управления и информации, а также выбранная и обученная нейронная сеть для перемещения заготовки и подбора оптимальных значений полей допусков деталей протестированы программным методом и согласно полученным результатам, сеть работает правильно и не допускает ошибок.
В результате применения предлагаемой автоматизированной информационно-управляющей системы на основе обученной нейросети и системы сортировки поступающих деталей, на сборочный участок доставляются максимально подходящие друг к другу для сборки подшипники, стаканы вал-шестерни и вал-шестерни, что значительно снижает вероятность возможной отбраковки отдельных узлов в процессе сборки.
Список литературы
- Медведев В.С., Потемкин В.Г. Нейронные сети. MATLAB 6. – М.: ДИАЛОГ-МИФИ, 2002. – 496 с.
- Герасимов В.Д. Основы промышленной электроники. – М.: Высш. шк., 1990. – 223 с.
- Мельников А.А. Теория автоматического управления техническими объектами автомобилей и тракторов. – М.: Академия, 2003. – 280 с.
- ТУ14.47-104.771-91. Линии производственные автоматические. – М.: Издательство стандартов., 1991. – 37 с.
УДК 004.032.26(06) Нейронные сети
