Героя Советского Союза И. П. Серикова Шебекинского района Белгородской области Публичный доклад
| Вид материала | Доклад |
- Героя Советского Союза Калинина Н. Н. Волоконовского района Белгородской области имеет, 2364.13kb.
- Публичный доклад директора муниципального общеобразовательного учреждения Волоконовская, 822.48kb.
- Публичный доклад директора моу лукинской средней общеобразовательной школы имени Героя, 621.81kb.
- Героя Советского Союза Василия Фабричнова Гарькавой Татьяны Владимировны. Основными, 880.25kb.
- Публичный доклад муниципального бюджетного общеобразовательного учреждения «Купинская, 2774.22kb.
- Героя Советского Союза Н. Л. Яценко доклад, 48.61kb.
- Утвердить план первоочередных мероприятий по реализации Стратегии (прилагается). Определить, 563.68kb.
- Конституцией Российской Федерации; закон, 132.32kb.
- Героя Советского Союза полковника Винокурова Ф. И. Волоконовского района Белгородской, 201.31kb.
- Героя Советского Союза Дементьева А. А. Вейделевского района Белгородской области Тема, 129.94kb.
Средняя оценка 3 Средний балл 14,8
Химия
Класс | Ф.И.О. учителя | Сдавали экзамен | Количество учащихся, сдавших экзамен на | ||||
| «5» | «4» | «3» | «2» | Качество знаний | |||
| 9А,Б | Куропата Т.Л. | 1 | - | - | 1 | - | 0% |
Средняя оценка 3 Средний балл 20
Английский язык
Класс | Ф.И.О. учителя | Сдавали экзамен | Количество учащихся, сдавших экзамен на | ||||
| «5» | «4» | «3» | «2» | Качество знаний | |||
| 9А,Б | Астанина Л.Л. | 1 | - | - | 1 | - | 0% |
Средняя оценка 3, Средний балл
Физика
Класс | Ф.И.О. учителя | Сдавали экзамен | Количество учащихся, сдавших экзамен на | ||||
| «5» | «4» | «3» | «2» | Качество знаний | |||
| 9А,Б | Рыбальченко О.М. | 6 | - | 4 | 2 | - | 66,7% |
Средняя оценка 3, 7 Средний балл 27,2
Данные о поступлении в учреждения профессионального образования
Показателем успешной социализации и интеграции выпускников в общество служило стремление их к дальнейшему повышению своего образования после окончания школы.
Выпускники 9-х классов:
| Учебный год | Всего выпускников | В 10 кл. | Ссузы | ПУ |
| 2008-2009 | 52 | 26 | 11 | 2 |
| 2009-2010 | 61 | 42 | 13 | 6 |
| 2010-2011 | 49 | 23 | 13 | 5 |
Выпускники 11-х классов:
| Учебный год | Всего выпускников | Ввузы | Ссузы | ПУ |
| 2008-2009 | 33 | 23 | 1 | 3 |
| 2009-2010 | 36 | 25 | 3 | 1 |
| 2010-2011 | 44 | 36 | 3 | - |
Осуществляемая модернизация образования заставляет серьёзно проанализировать перспективу развития проблемы здоровья учащихся. Здоровье в обществе, в первую очередь - в силу низкой культуры, ещё не встало на 1 место в иерархии потребностей человека. Из этого вытекает важнейшая роль воспитания у каждого члена общества отношения к здоровью, как главной человеческой ценности.
Наиболее важная задача и для ребёнка, и для школы - это формирование сознательного отношения к здоровью, т.е. формирование здорового образа жизни.
Одним из приоритетных направлений работы школы в прошедшем учебном году было совершенствование применения здоровьесберегающих и здоровьеформирующих технологий в управлении, обучении и воспитании. Это было вызвано необходимостью создания активной среды, в которой обучение и воспитание школьников должно происходить не за счет ресурсов их здоровья, а вследствие специально организованной системы развития внутреннего потенциала обучающихся.
В инфраструктуре школы, обеспечивающей возможность рациональной организации учебного процесса и здоровьесберегающей деятельности, по-прежнему важное место отводилось контролю за состоянием здоровья обучающихся, созданию условий для спортивно - и физкультурно-оздоровительной работы не только со здоровыми детьми, но и с учащимися специальных медицинских групп, просветительской работе со школьниками, их родителями, педагогами.
Главные идеи оздоровительной деятельности:
- сохранение собственного здоровья - одна из основных обязанностей человека;
- образ жизни человека, отношение к своему здоровью определяет здоровье будущих поколений;
- воспитание привычки к постоянным занятиям физкультурой и спортом не с целью спортивных достижений, а с целью ежедневного оздоровления своего организма;
Задачи:
- знакомить учащихся с традициями и обычаями бережного отношения человека к собственному здоровью;
- создавать условия для формирования у учащихся культуры сохранения собственного здоровья;
- создавать возможность учащимся демонстрировать свои достижения и усилия по сохранению здоровья;
- способствовать преодолению вредных привычек учащихся средствами физической культуры и занятием спортом.
Цель анализа: выявить факторы образовательного процесса, влияющие на состояние здоровья обучающихся.
Объекты анализа:
- состояние здоровья обучающихся;
- оздоровительная инфраструктура;
- медицинское сопровождение обучающихся;
- кадровое обеспечение физкультурно-оздоровительной деятельности, медико-социально-психологичекого сопровождения
Основные показатели эффективности данной работы:
- доля практически здоровых детей;
- доля детей с отклонениями в состоянии здоровья и имеющих наиболее распространенные заболевания;
- доля пропусков занятий по болезни;
- распределение детей по группам здоровья;
- количество пропущенных занятий по болезни.
- охват обучающихся профилактическими и физкультурно-оздоровительными мероприятиями;
Соотношение количества практически здоровых детей и детей с различными отклонениями в здоровье
| | 2008-2009 (478 уч.) | 2009-2010 (478 уч.) | 2010-2011 (480 уч.) |
| Практически здоровы | 254(53%) | 265 (55%) | 265 (52,20%) |
| Имеют отклонения | 224 (47 %) | 213(45%) | 215 (44,8%) |
Анализ соотношения количества практически здоровых детей и детей с различными отклонениями в здоровье за 3 года показывает, что снижается процент учащихся, имеющих отклонения в здоровье, в сравнении с 2008-2009 учебным годом.
Распределение учащихся по физкультурным группам
| Группы здоровья | 2008-2009 (465уч.) | 2009-2010 (478 уч.) | 2010-2011 (478 уч.) |
| основная | 391 (84%) | 404 (84,5%) | 400 (83,6%) |
| подготовительная | 49 (10,5%) | 49 (10,2%) | 51 (10,6%) |
| специальная | 22 (4,7%) | 20 (4,1%) | 22 (4,6%) |
| освобожденные | 3 (0,6%) | 5 (1%) | 5 (1%) |
Уменьшилось число детей, относящихся к основной группе. Увеличилось число учащихся, относящихся к специальной и подготовительной группе.
Уровень физической подготовленности обучающихся
| Классы | Количество учащихся | Уровни подготовленности (к-во обуч., %) | ||
| высокий | средний | низкий | ||
| 1-е | 39 | 4 | 30 | 6 |
| 2-е | 56 | 6 | 40 | 10 |
| 3-и | 41 | 8 | 16 | 6 |
| 4-е | 37 | 6 | 26 | 5 |
| 5-е | 45 | 8 | 26 | 10 |
| 6-е | 54 | 9 | 41 | 5 |
| 7-е | 44 | 8 | 30 | 5 |
| 8-е | 41 | 5 | 30 | 5 |
| 9-е | 49 | 6 | 40 | 5 |
| 10-е | 29 | 2 | 23 | 1 |
| 11-е | 44 | 4 | 36 | 4 |
| ИТОГО | 479 | 66/19,8% | 348/59,7% | 62/20,5 |
Учащихся со средним уровнем физической подготовки на 40% больше, чем с высоким уровнем.
Динамика заболеваемости (по основным видам заболеваний)
| Патология | 2008-2009 | 2009-2010 | 2010-2011 | ||||
| к-во | % | к-во | % | | | ||
| Нарушение слуха | 1 | 0,2 | 1 | 0,2 | 1 | 0,2 | |
| Нарушение зрения | 34 | 7,3 | 35 | 7,3 | 31 | 6,48 | |
| Заболевания опорно – двигательного аппарата | сколиоз | 41 | 8,8 | 32 | 6,7 | 13 | 2,7 |
| плоскостопие | 13 | 2,79 | 12 | 2,5 | 15 | 3,1 | |
| нарушение осанки | 122 | 26,2 | 115 | 24 | 95 | 19 | |
| Заболевания сердечно – сосудистой системы | 9 | 1,9 | 5 | 1 | 8 | 1,67 | |
| Заболевания ЖКТ | 2 | 0,43 | 3 | 0,6 | 4 | 0,8 | |
| Заболевания мочевыделительной системы | 1 | 0,2 | 7 | 1,46 | 7 | 1,46 | |
| Заболевания эндокринной системы | 7 | 1,5 | 8 | 1,67 | 9 | 1,88 | |
| Заболевания органов дыхания | 9 | 1,93 | 8 | 1,67 | 9 | 1,88 | |
| Заболевания нервной системы | 26 | 5,59 | 30 | 6,27 | 23 | 4,8 | |
| Отставание в физическом развитии | 6 | 1,29 | 6 | 1,25 | 5 | 1,0 | |
| «Д» группа по туберкулезу | 3 | 0,64 | 3 | 0,62 | 3 | 0,62 | |
| Всего выявлено: | 185 | 39,78 | 185 | 38,7 | 161 | 33,68 |
В 2010-2011 году наблюдается уменьшение процента учащихся страдающих заболеваниями опорно-двигательного аппарата с 26,2% на 24% и на 19% соответственно, но увеличилось количество детей, с заболеванием ЖКТ с 0,43% до 0,8%
Состояние здоровья первоклассников.
| Учебный год | Всего | I группа здоровья | II группа здоровья | III группа здоровья | IV группа здоровья | ||||
| | | Кол-во | % | Кол-во | % | Кол-во | % | Кол-во | % |
| 2009-2010 | 57 | 28 | 49,1% | 26 | 45,6% | 1 | 1,75% | 2 | 3,5% |
| 2010-2011 | 40 | 29 | 72,5% | 17,5% | 19 | 3 | 7,5% | 1 | 2,5% |

Состояние здоровья пятиклассников.
| Учебный год | Всего | I группа здоровья | II группа здоровья | III группа здоровья | IV группа здоровья | ||||
| | | Кол-во | % | Кол-во | % | Кол-во | % | Кол-во | % |
| 2009-2010 | 52 | 29 | 55,7 | 15 | 28,8% | 8 | 15.38 | 0 | 0% |
| 2010-2011 | 45 | 26 | 59 | 13 | 29,5% | 5 | 11,36 | 0 | 0% |

Состояние здоровья девятиклассников.
| Учебный год | Всего | I группа здоровья | II группа здоровья | III группа здоровья | IV группа здоровья | ||||
| | | Кол-во | % | Кол-во | % | Кол-во | % | Кол-во | % |
| 2009-2010 | 50 | 19 | 38% | 20 | 40% | 11 | 22% | 0 | 0% |
| 2010-2011 | 49 | | | | | | | | |

Распределение учащихся по группам здоровья в 2010-2011 учебном году

Здоровьесберегающая деятельность
Деятельность школы по сохранению и укреплению здоровья обучающихся осуществлялась по следующим направлениям:
- оптимизация учебной нагрузки;
- обеспечение двигательного режима учащихся начальной школы;
- организация физкультурно-оздоровительной работы с учащимися среднего звена и старшей школы;
- организация работы по формированию ценности здоровья и здорового образа жизни;
- внедрение в образовательный процесс современных образовательных технологий;
- организация отдыха обучающихся в каникулярное время.
Олимпиады
Одним из главных направлений работы МОУ «Новотаволжанская средняя общеобразовательная школа имени Героя Советского Союза И.П.Серикова Шебекинского района Белгородской области» является создание условий для оптимального развития учащихся, имеющих высокие интеллектуальные способности, мотивацию устойчивую к учебно-познавательной деятельности. Педагогический коллектив школы продолжает работу по реализации подпрограммы «Одаренные дети». В школе созданы благоприятные условия для развития одаренных детей в интересах личности, общества. Имеется программа «Одаренные дети», задачей которой является создание оптимальных условий для выявления, развития и реализации способностей одаренных детей. Сформирована база данных талантливых и одаренных детей. Утверждено расписание дополнительных занятий с детьми, стремящимися к получению более глубоких знаний по тем или иным предметам.
Традиционные декадники, олимпиады, турниры, предметные конкурсы, проводимые в нашей школе, помогают одаренным детям тоже проявить свои способности, определиться в выборе приоритетных предметов.
Работа с одаренными детьми в нашей школе ведется со второй ступени обучения. Ежегодно учащиеся школы принимают участие в заочных и дистанционных олимпиадах и конкурсах. Регулярное участие в олимпиадах различного уровня позволяет учащимся нашей школы проверить свои знания, почувствовать степень сложности, что является стимулом для дальнейшего совершенствования своих умений и навыков в той или иной области. На основании приказа управления образования администрации Шебекинского района от 10 марта 2010 года № 2033 «Об утверждении Положения о проведении школьного, муниципального этапов всероссийской олимпиады школьников» по графику был проведен 1 этап Всероссийской олимпиады школьников в соответствии с положением о школьном этапе Всероссийской Олимпиады школьников. Активность учащихся была намного выше, чем в предыдущие годы.
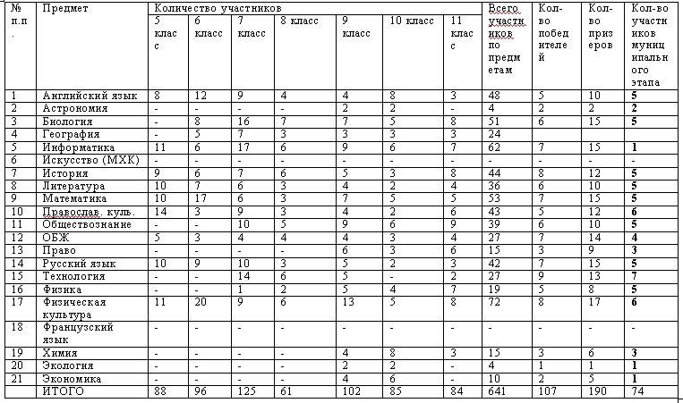
Информация о школьном этапе всероссийской олимпиады школьников

Из таблицы видно, что всего в школьных олимпиадах принимали участие 641 (67%) обучающихся, что на 28% больше, чем в 2009-2010 учебном году.
К сожалению, победителями и призёрами муниципального этапа Всероссийской олимпиады стали только 2 человека (православная культура) и 2 человека (технология), это намного ниже, чем в 2009-2010 учебном году.
Обучающиеся школы приняли участие в 21 предметной олимпиаде. Показали хороший уровень подготовки к олимпиадам по технологии и православной культуре. 1 ученица 8А класса защищала честь района на областной олимпиаде по православной культуре и заняла 3 место.
Кроме этого большую активность проявили ученики, приняв участие во Всероссийских молодежных предметных чемпионатах и конкурсах в 2010-2011 учебном году.
Сертификаты победителей и призёров школьники получили:
- по английскому языку:
5 классы - Ковтун Павел 1 место в районе, Бурденко Анна 3 место в районе, Ракитин Олег 3 место в районе, Беляев Юрий 2 место в районе;
4 классы - Сапова Анна 1 место в районе, Нелепа Виктория 1 место в районе, Валуйская Екатерина 3 место в районе, Валуйская Лилия 4 место в районе.
- по инфоматике:
5 классы- Афанасов Никита и Сухоиванов Максим - победители Всероссийской игры-конкурса по информатике «Инфознайка – 2011».
- по обществознанию 9-10 класс:
Даниелян Давид 1 место в районе и 2 в регионе, Нелепа Андрей 2 место в районе и 3 в регионе, Пухликова Анна 3 место в районе и 5 в регионе, Якубович Екатерина 1 место в районе и 5 в регионе.
- по математике в заочном «Молодёжном математическом чемпионате 2010 - 2011» 128 обучающихся, из них:
4 классы - Комисарова Анна 1 место в районе, 4 в регионе; Рашоян Константин 2 место в районе, 7 в регионе; Саян Мария Мария 2 место в районе, 7 в регионе.
5 классы – Сухоиванов Максим 1 место в районе, 14 в регионе; Чеглакова Валерия 2 место в районе, 22 в регионе; Афанасов Никита 3 место в районе, 30 в регионе.
6 классы – Гайдук Ирина 1 место в районе, 11 в регионе;ыДегтярёв Владислав 2 место в районе, 27 в регионе, Коженкова Анастасия 3 место в районе, 66 в регионе.
7 классы – Олянина Ирина 2 место в районе, 42 в регионе. 8 класс – Мозговая Юта 1 место в районе, Сорокина Людмила 2 место в районе, Рощупкин Алексей 3 место в районе.
9 класс – Ушакова Мария 1 место в районе.
10 класс – Маслова Анна 1 место в районе, Богатырёв Илья 2 место в районе, Гащенко Юлия 2 место в районе.
11 класс – Зубарева Татьяна 1 место в районе, Бахмутская Евгения 2 место в районе, Дмитренко Алина 3 место в районе.
- православная культура:
8 класс - Никулина Виктория – победитель муниципального этапа Всероссийской олимпиады школьников, Дегтярёв Владислав 6 класс - призёр муниципального этапа Всероссийской олимпиады школьников, Никулина Виктория – призёр регионального этапа Всероссийской олимпиады школьников.
- технология – 8 класс Рашоян Нина, 9 класс добросотских Елена - призёры.
- по физике в заочном «Молодёжном физическом чемпионате 2010 – 2011 г.» приняли участие 22 обучающихся, из них 2 победителя, 2 призёра.
