Конспект лекций по курсу "Основы психологии" Тема Предмет, задачи и значение психологии как науки на современном этапе развития общества
| Вид материала | Конспект |
- Конспект лекций по курсу "Основы психологии" Тема Предмет, задачи и значение психологии, 1063.81kb.
- Модуль Социальная психология как наука, 415.34kb.
- Рабочая программа по общей психологии для студентов ппф № п/п Тема и содержание занятия, 216.28kb.
- История психологии. Ответы на вопросы к экзамену 2010, 1003.28kb.
- Первые программы психологии как самостоятельной науки. 20. Роль Вундта в оформлении, 24.84kb.
- Программа вступительного экзамена в магистратуру, 98.51kb.
- План: Предмет и задачи психологии как науки > Место психологии в системе наук и структура, 1231.11kb.
- Предмет и задачи психологической науки и практики 4 Сравнение житейской и научной психологии:, 195.15kb.
- Курс ведет ст препод. Аймаутова Н. Е. Социальная психология Цель изучения дисциплины, 30.78kb.
- Вопросы к домашней контрольной работе дисциплина «этика деловых отношений» специальность, 96.89kb.
План лекции
- Мышление и чувственное познание.
- Единство мышления и речи.
- Мышление как процесс.
- Проблемная ситуация. Задача.
- Виды мышления.
- Индивидуальные особенности мышления.
Цель занятия: формировать у слушателей навыки самоорганизации мышления, способствовать самораскрытию их творческого потенциала.
Основные понятия: мышление, анализ, синтез, обобщение, понятие, суждение, умозаключение, абстракция, дедукция, индукция.
Проблема мышления долгое время не была предметом изучения психологии, а изучалась философией и логикой. В изучении мышления особенно отчетливо проявилась борьба между материализмом и идеализмом.
Исследование мышления занимает одно из центральных мест во всех философских учениях как прошлого, так и настоящего. Мышление в настоящее время исследуется не только психологией, но и различными другими науками — философией, логикой, физиологией, кибернетикой, лингвистикой. Современная наука идет ко все более глубокому раскрытию сущности мышления разными путями:
- через исследование мышления и его законов путем логического анализа;
- через его исследование с точки зрения психических функций человека, процессов, протекающих в нервной, системе;
- через его исследование с помощью средств и методов кибернетики.
Мышление как высшая форма познавательной деятельности человека позволяет отражать окружающую действительность обобщенно, опосредованно и устанавливать связи и отношения между предметами и явлениями
Мышление— наиболее обобщенная и опосредованная форма психического отражения, устанавливающая связи и отношения между познаваемыми объектами.
Обобщенности способствует что мышление носит знаковый характер, выражается словом.
Благодаря опосредованности оказывается возможным познать то, что непосредственно в восприятии не дано.
Мышление также дает возможность установить связи и отношения между предметами, в то время как ощущения и восприятия отражают преимущественно отдельные стороны явлений.
Процесс познания является чрезвычайно сложным. Прежде всего, для него необходимо получать непосредственные впечатления от предметов внешнего мира. Эти впечатления добываются с помощью различных органов чувств. Такая форма отражения чрезвычайно важна, существенна, но недостаточна для регуляции поведения. Для того чтобы осуществить в окружающей среде разумную деятельность, необходимо отражать отношения предметов между собой, что и осуществляется в процессе мышления.
Весь материал мыслительная деятельность получает только из чувственного познания. И через чувственное познание мышление непосредственно связывается с внешним миром.
Человеческое мышление качественно отличается от мышления животных. Важнейшим отличительным моментом оказывается речь и другие используемые при этом системы знаков, с помощью которых человек получает возможность существенно расширять свои моделирующие способности. Именно благодаря этому мышление человека дает возможность познать обобщенно и опосредованно.
Материальной основой мышления является речь. Мысль опирается на свернутую внутреннюю речь.
Эксперименты показали, что ни одна сложная мысль не протекает без .свернутых внутренних речевых процессов. Оказалось, что если зарегистрировать положение языка или органов гортани в спокойном состоянии, а затем предложить испытуемому начать придумывать любую задачу, то в речевом анализаторе начинается сложная деятельность, которую можно зарегистрировать. Следовательно, каждая мысль связана с внутренним речевым процессом (исследование А. Н. Соколова).
По своей функции регулятора мышление выступает как высший процесс, объединяющий всю деятельность человека. Начальным моментом мышления является проблемная ситуация, которая вовлекает личность в активный мыслительный процесс. Проблемная ситуация — это конфликт между тем, что дано субъекту, и тем, чего он должен достигнуть.
Под проблемой обычно понимают особый вид интеллектуальных задач, имеющих следующие характеристики :
- цель (ориентировочную основу для решения задач);
- условия, в которых задается данная цель,
- потребность в достижении цели;
- недостаточность стандартных средств решения, вытекающих непосредственно из условий.
Нет проблемы там, где отсутствует недостаток информации и неудовлетворенность потребностей. То, что является проблемой для данного человека, для другого может и не быть ею.
От осознания проблемы человек переходит к принятию решения.
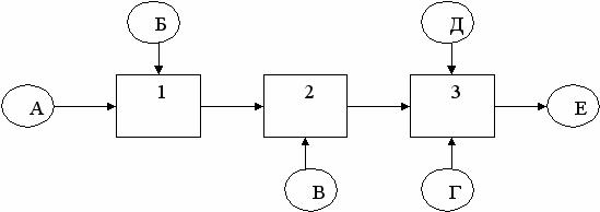
П

роцесс принятия решения: 1- отбор информации, 2 – распознавание образов, 3 – оценка возможностей выбора: А – внешняя среда, Б – критерии цели, В – память, хранящая образы, Г – память, хранящая результаты прежних решений, Д – критерии выбора, Е – решение.
Творческое мышление всегда возникает в ситуации поиска и открытия нового при решении различных задач. Само решение выступает как поиск недостающего звена. В результате анализа проблемной ситуации возникает задача. Задача — это цель, данная в определенных условиях. Возникновение задачи означает, что решающему ее удалось хотя бы предварительно и приблизительно выделить известное и неизвестное (искомое).
Большое значение при решении задач имеет подсказка или промежуточная задача. Причем особенно важно, на каком этапе решения дается такая задача.
Выделяют три типа мыслительных действий, характерных для процесса решения задач.
I. Ориентировочные действия
II. Исполнительные действия
III. Нахождение ответа
Ориентировочные действия начинаются с анализа условий.
Главное в мыслительном поиске — возникновение гипотезы.
Гипотеза -предположение, проект решения.
Она возникает на основе полученной информации, анализа условий и способствует дальнейшему поиску, направляет движение мысли, в итоге переходит в план решения. В возникновении гипотезы обычно проявляются творческие возможности личности.
Исполнительные действия сводятся в основном к выбору приемов решения задачи.
Мышление включает ряд операций, таких как сравнение, анализ, синтез, обобщение и абстракция. С их помощью осуществляются проникновение в глубь той или иной стоящей перед человеком проблемы, рассматриваются свойства составляющих эту проблему элементов, находится решение задачи.
Сравнение – мыслительная операция, основанная на установлении сходства и различия между объектами.
Сравнение характеризуется как более элементарный процесс, с которого, как правило, начинается познание. В ходе этого процесса субъект обнаруживает тождество и различие между вещами.
Анализ — мыслительная операция расчленения сложного объекта на составляющие его части или характеристики. с помощью анализа обнаруживаются наиболее существенные признаки.
С помощью анализа обнаруживаются наиболее существенные признаки. Синтез — мыслительная операция, позволяющая в едином аналитико-синтетическом процессе мышления переходить от частей к целому.
Анализ и синтез обычно выступают в единстве. Они неразрывны, не могут существовать друг без друга: анализ, как правило, осуществляется одновременно с синтезом, и наоборот.
К операциям мышления относятся также абстракция и обобщение.
Абстракция (отвлечение) – мыслительная операция, основанная на выделении существенных свойств и связей предмета и отвлечении от других, несущественных.
Обобщение – мысленное объединение предметов и явление по их общим и существенным признакам.
К

формам мышления относятся понятие, суждение, умозаключение.
Понятия могут быть общими и единичными, конкретными и абстрактными. Суждения могут быть истинными и ложными. Умозаключения могут быть индуктивными и дедуктивными.
Понятие – форма мышления, отражающая существенные свойства, связи и отношения предметов и явлений, выраженная словом или группой слов.
Суждение — форма мышления, отражающая связи между предметами и явлениями; утверждение или отрицание чего-либо.
Умозаключение — форма мышления, при которой на основе нескольких суждений делается определенный вывод. Различают у. индуктивное, дедуктивное, по аналогии.
Дедукция - логический вывод в процессе мышления от общего к частному.
Индукция - логический вывод в процессе мышления от частного к общему.
Выделение видов мышления производят по различным основаниям.
Наглядно (конкретно)-действенное мышление есть наиболее элементарная форма мышления, возникающая в практической деятельности и являющаяся основой для формирования более сложных форм мышления. Выделяют также наглядно-образное и абстрактно-логическое (или отвлеченное) мышление.
Наглядно-образное мышление — вид мышления, характеризующийся опорой на представления и образы.
Словесно-логическое мышление — вид мышления, осуществляемый при помощи логических операций с понятиями.
В зависимости от различных оснований выделяют такие виды мышления.
- По форме наглядно-действенное, наглядно-образное и абстрактно-логическое.
- По характеру решаемых задач теоретическое и практическое.
- По степени развернутости дискурсивное (вербализуемое) и интуитивное (невербализуемое).
- По степени новизны и оригинальности репродуктивное (воспроизводящее) и продуктивное (творческое).
Мыслительная деятельность, связанная с внезапным решением проблемы, называется эвристической. Эвристика — наука о закономерностях мыслительного поиска.
Инсайт— мгновенное осознание решения некоторой проблемы.
Важным условием принятия правильного решения и успешного решения задачи являются знания. Без знаний не может быть создано никакой гипотезы. При этом огромную роль играет словесная формулировка. Правильно поставленный вопрос нацеливает на решение задачи. В решении мыслительных задач велика также роль наглядных образов, схем, чертежей.
Для решения подавляющего большинства задач требуется привлечение теоретических знаний, обобщений. Многие задачи решаются путем применения правил, и результат мыслительной работы непосредственно переходит в область практического применения. В практике использования данного результата проверяется правильность решения, Возникают новые задачи, вытекающие из развития, уточнения, изменения первоначально принятых решений.
С
ХЕМА ЭТАПОВ МЫСЛИТЕЛЬНОГО ДЕЙСТВИЯ
Все виды мышления тесно взаимосвязаны. При решении задач словесные рассуждения опираются на яркие образы. В то же время решение даже самой простой, самой конкретной задачи требует словесных обобщений.
Для творческой работы необходимо обладать способностью самостоятельно и критично мыслить, проникать в сущность предметов и явлений, быть пытливым что в значительной мере обеспечивает продуктивность умственной деятельности.
СОСТАВЛЯЮЩИЕ ПРОДУКТИВНОСТИ УМА
![]() ![]() ![]() ![]() ![]() Продуктивность ума | ||||||||||
| | | | | | | | | | | |
| Критичность | | Глубина | | Гибкость | | Широта | | Творчество | | Быстрота |
Л

итература
- Фрейд З. Остроумие и его отношение к бессознательному // Я и Оно. – 2. – Тбилиси, 1991.
- Леонтьев А.Н. Мышление // Избранные психологические произведения. –2.- Метод, 1983.
- Красовский Ю. Руководитель принимает решение // Секреты умелого руководителя. – М., 1987.
Тема 12. Эмоции и чувства
План лекции.
- Эмоции и чувства. Их роль в познавательной деятельности личности.
- Физиологические основы эмоций.
- Виды эмоций.
- Социальная обусловленность человеческих чувств.
- Управленческая деятельность в экстремальных ситуациях.
- Стресс и его профилактика в деятельности менеджера.
Цель занятия: на основе знаний теории эмоций способствовать развитию психо-эмоциональной саморегуляции слушателей.
Основные понятия: эмоция, чувство, стресс, аффект, настроение, страсти, экстремальная ситуация, кризис, эмоциональная устойчивость работника.
Познавая действительность, человек так или иначе относится к предметам и явлениям, окружающим его: к вещам, событиям, к другим людям, к своей личности. Одни явления действительности радуют его, другие печалят, одни вызывают восхищение, другие возмущают и т. д. Радость, печаль, восхищение, возмущение, гнев и др. — все это различные виды субъективного отношения человека к действительности, (“переживания им того, что на него воздействует.
Чувства— это своеобразно выраженной и переживаемое человеком отношение к действительности, к окружающему миру.
Чувства человека носят социальный характер. В их основе лежат потребности, возникающие в процессе общественного развития. Круг потребностей человека широк и разнообразен. А это, в свою очередь, вызывает многообразие его чувств. В зависимости от направленности 'чувства делятся на:
- моральные (переживания человеком его отношения к другим людям, к обществу);
- интеллектуальные (чувства, связанные с познавательной деятельностью);
- эстетические (чувства красоты, особенно ярко проявляющиеся при восприятии произведений искусства, явлений природы, событий общественной жизни);
- праксические (чувства, связанные с деятельностью человека).
При удовлетворении сложных социальных потребностей, возникающих в процессе формирования личности, возникают высшие чувства; при удовлетворении органических потребностей возникают низшие чувства (эмоции).
Эмоции — реакции человека и животных на воздействия внутренних их и внешних раздражителей, имеющих ярко выраженную субъективную окраску.
Э. связаны с удовлетворением или неудовлетворением биологически значимых потребностей.
Говоря о переживании человека, употребляют два термина — “чувства” и “эмоции”. В широком смысле слова — это синонимы. В узком — под эмоция понимают переживания отношений, возникшие в данный момент. Эмоции обычно носят ситуативный характер и выражают оценку личностью определенной ситуации, связанной с удовлетворением потребностей человека в данный момент. У человека они проявляются в разнообразных эмоциональных состояниях.
Эмоциональные состояния, возникшие а процессе деятельности, могут повышать или понижать жизнедеятельность человека. Первые называются сценическими вторые — стеническими.
Стенические чувства (эмоции)— переживания, повышающие активность личности.
Астенические чувства (эмоции) — переживания, снижающие активность личности.
Состояния, характеризующиеся максимальной мобилизацией всех сил, напряжением, называются стрессовыми
Эмоции существенно влияют на ход деятельности человека. Как форма проявления личности, они выступают в качестве внутренних побуждений к деятельности и обуславливают ее динамику.
Возникновение и проявление чувств связано со сложной комплексной работой коры, подкорки и вегетативной нервной системы. Ведущая роль принадлежит коре, однако велика и роль подкорки, так как в подкорке находятся центры, управляющие вегетативной нервной системой и регулирующие работу внутренних органов. Этим определяется тесная связь эмоций и чувств с многообразными изменениями в функциях организма: с деятельностью сердца, кровеносных сосудов, органов дыхания, с изменениями в деятельности скелетных мышц, в частности выразительными движениями всего тела (пантомимика) и лицевых мышц (мимика), а также с изменениями в деятельности желез внешней (слюнные, слезные, потовые) и внутренней секреции. По этим изменениям можно судить, какую эмоцию переживает человек в данный момент. Например, в мимике смеха участвуют: скуловая мышца, круговая мышца глаза, круговая мышца рта, подкожная мышца шеи.
Человек испытывает легкость или трудность, удовлетворенность или огорчение, бодрость или усталость в зависимости от поддержания или разрушения сложившихся в нервной системе динамических стереотипов. Особенно острые переживания испытываются при ломке временных нервных связей. Благоприятные, привычные внешние условия облегчают образование временных связей и переживаются как положительные состояния.
На протекание эмоций и чувств человека влияет вторая сигнальная система. Переживания могут возникнуть не только при непосредственном воздействии явлений и предметов, но могут быть вызваны словами. Благодаря деятельности второй сигнальной системы эмоции и чувства становятся осознанными, приобретают общественный характер. Лишь при деятельности второй сигнальной системы возможно формирование таких сложных чувств человека, как моральные, интеллектуальные, эстетические.
Электрофизиологические исследования установили огромное значение для эмоциональных состояний особых образований нервной системы. Эмоциональный “настрой” личности в значительной мере определяется функциями таламуса, гипоталамуса и лимбической системы. Специальные эксперименты обнаружили там существование центров положительных и отрицательных эмоций, получивших название центров “ наслаждения” и "страдания". Подтверждена громадная роль эмоций в жизни высших животных и человека.
Человеческие эмоции преобразованы социальными условиями существования, исторически обусловлены, возникли на основе совместной трудовой деятельности, выполняют важнейшие сигнальную и регулирующую функции.
Сигнальная функция чувств отражается в том, что переживай возникают и изменяются в связи происходящими изменениями в окружающей среде или в организме человека.
Регулирующая функция чувств выражается в том, что стойкие переживания направляют наше поведение, поддерживают его, заставляя преодолевать встречающиеся на пути преграды.
У человека, испытывающего то или другое эмоциональное состояние — радость, скорбь, гнев, происходят определенные изменения не только во внутренних органах, но и во внешнем облике. Меняется выражение лица, глаз (мимика), появляются определенного характера жесты (пантомимика), возникают специфические оттенки в интонациях (голосовая мимика).
Выразительные движения и переживания взаимопроникают друг в друга, образуя подлинное единство. Выразительное движение, в котором внутреннее содержание раскрывается вовне,— это не внешний лишь спутник или сопровождение, а компонент эмоций, неотъемлемый от них самих. Поэтому выразительные движения и выразительные действия создают образ действующего лица, раскрывая его внутреннее держание во внешнем действии.
В жизни наблюдается самое разнообразное проявление эмоциональных переживаний. Среди них выделяются такие, которые отличаются особым своеобразием протекания и влияния на поведение и деятельность человека. Это настроения, аффекты, страсти, стрессы.
Настроение — устойчивое эмоциональное состояние, отражающееся на деятельности и поведении. В радостном настроении человек склонен все воспринимать в положительном свете. Вещи, обычно безразличные, могут вызвать в этих случаях радостные переживания. В тревожном настроении человек отовсюду ожидает опасности, неприятного и т. п.
Настроение вызывается как различными событиями, имеющими определенное значение для человека, так и физическим самочувствием.
Аффект — эмоциональное проявление, быстро овладевающее человеком, бурно протекающее, характеризующееся изменением сознания, нарушением волевого контроля.
Страсти — эмоциональное состояние повышенного напряжения, возникающего под влиянием различных причин.
Степень выраженности чувств разных людей различна. Иногда это обусловлено профессиональной деятельностью, что наиболее ярко проявляется в экстремальных ситуациях.
Дополнительные понятия по теме:
Амбивалентность — одновременное переживание противоположных эмоций и чувств (например, радости и горя, смеха и печали).
Апатия — психическое состояние, вызванное утомлением, тяжелым переживанием или заболеванием, проявляющееся в потере интереса и безразличии к окружающему.
Вдохновение — психическое состояние, в состав которого входят стенические эмоции и творческое мышление.
Депрессия — подавленное настроение, связанное со снижением побуждений, заторможенностью движений.
Ирония — тонкая, скрытая насмешка при внешнем вполне положительном, даже одобрительном отношении к тому, о ком идет речь.
Любознательность — интеллектуальное чувство, проявляющееся как потребность в познании.
Настроение — устойчивое переживание каких-либо эмоций.
Управленческая деятельность в экстремальных ситуациях имеет ряд особенностей.
Понятие "экстремальный" (от лат. ехtгеmum - крайность) употребляется для объединения понятии максимума и минимума. При употреблении понятия “экстремальность” обычно ясно, что речь идет не о нормальных, обычных условиях деятельности, а о существенно отличающихся от них обстоятельствах. Экстремальность может создаваться не только “максимизацией" (сверхвоздействием), а и “минимизацией" - (примером могут служить исследования в области авиационной и космической психологии, посвященные проблеме функционирования психики человека в условиях сенсорной изоляции). Экстремальность обусловливается не только интенсивностью воздействии на человека, но и другими параметрами: качественное своеобразие среды, в которой может проходить человеческая деятельность (температурные; барические, связанные с изменением давления, воздействия; гипоксия — нехватка кислорода; гиподинамия — ограниченность движений и т. п.); характер воздействии (неприятность, монотонность и т. п.); объективная сложность самой задачи (переработка огромных потоков информации, необходимой для выполнения тех или иных действий, отвлекающие воздействия, высокий темп работы и т. п.). Одним из важнейших факторов экстремальности является время. Это объясняется тем, что доступный человеку оптимальный темп деятельности у разных лиц неодинаков и переход через индивидуальные пределы этого темпа ведёт к возникновению психической напряженности.
Эффект воздействия обусловлен также особенностями личности и ситуации. Так, непосредственная опасность для жизни, сильная боль, которые признаются экстремальными, могут не быть таковыми в связи с выполнением определенной социальной роли, переживанием чувства патриотизма, по религиозным мотивам.
в последнее время понятие "экстремательность" стало употребляться весьма обширно как условие, порождающее эмоциональный стресс.
В экстремальных условиях нарушается привычный режим труда и отдыха человека. В тяжелых экстремальных ситуациях психические и другие перегрузки достигают пределов, за которыми могут следовать переутомление, нервное истощение, полнейший срыв деятельности, аффективные реакции, психогении (патологические состояния).
Существуют ключевые понятия, с помощью которых в современной психологии описываются критические жизненные ситуации: "кризис" и "стресс".
Кризис понимается чаще всего как кризис жизни, критический момент и поворотный пункт жизненного пути. Каждый человек, отдает он себе в этом отчет или нет, имеет некоторое содержательное психологическое “ядро” “смысл жизни”. Активность человека реализуется через многочисленные интеллектуальные мотивационные, волевые и др. механизмы. Психологический кризис - это невозможность осуществлять цикл воплощения себя, свой замысел. При этом нет нарушений функций мозга - человек практически здоров. Внешние обстоятельства дают возможности, при которых человек может действовать как и раньше. Но развивать прежнюю активность он уже не может по внутренним психологическим причинам, он как бы утратил понимание и чувство, что ему это нужно. Такое состояние сопровождается интенсивными, часто отрицательными по окраске эмоциями. Возможны труд непоправимые, тяжелые и даже трагические поступки как результат тяжелой болезни, при которой человек может оказаться психологически травмированным на всю жизнь.
По статистике более 80% самоубийств происходит вследствие появления чувства бессмысленности своего существования и страданий, связанных с этим. Самоубийца — это человек, безусловно, страдающий и тяжело переносящий эти страдания. В страдании, как ему кажется, он одинок, оставлен всем миром, а само страдание бессмысленно, случайно и незаслуженно. Русский философ Н. Бердяев писал: “Самое страшное для человека, когда весь окружающий мир — чужой, враждебный, холодный, безучастный к нужде и горю”.
На убийственную силу бессмысленности происходящих действий делали ставку нацисты, заставляя узников концлагерей переносить с места на место кучи песка. Отсутствие смысла происходящего можно с уверенностью назвать основной причиной самоубийства..
Но возможны и прямо противоположные последствия кризиса, когда человек может стать более зрелым, собранным, добрым, человечным, сильным, смелым и мудрым; подняться на новую ступень в своем развитии.
Человек в течение своей жизни не один раз переживает психологические кризисы. Выделяют различные виды кризисов в зависимости от причины, например кризисы резкой смены работы, профессии, отрыва от семьи, ухода на пенсию, изменения (понижения или повышение статуса).
Для обозначения состояния человека в трудной для него ситуации наиболее широко используется понятия “стресс” (Кэннон, Г. Селье). Термин “стресс” (от англ. stress — напряжение) стал интернациональным вследствие того, что понятие, им выраженное, получило широкое признание.
Известно, что Г. Селье, впервые выдвинувший концепцию стресса, обратил внимание на то, что организм как сложная, высокоорганизованная система в ответ на различные интенсивные воздействия реагирует адаптивно-защитными реакциями, всю совокупность которых он назвал адаптационным синдромов выделил его три стадии: а) тревоги, когда после некоторого снижения сопротивляемости организма начинается мобилизация его ресурсов; б) повышенной сопротивляемости организма; в) истощения организма, т. е. снижение его сопротивляемости. Если нагрузка продолжает увеличиваться, то может наступить срыв. Вначале Г. Селье считал, что стресс вызывается только вредными факторами, но затем чрезмерно расширил круг его причин, включив в их число любую напряженную работу.
В многочисленных отечественных и зарубежных исследованиях отмечается, что стресс сопровождается мобилизацией энергии организма и вызывает изменения в сердечно-сосудистой, дыхательной, мышечной, двигательной, эндокринной и в других системах. Эти сдвиги могут достигать особенно большой величины в опасных ситуациях. При этом, в частности, сильно выражены вегетативные симптомы стресса: учащенное сердцебиения, потливость, головокружение, сухость во рту, боли в желудке и т. п.
Психологические же проблемы стресса разработаны учеными в гораздо меньшей степени. В работах, относящихся к этой области, доказывается зависимость поведения во время стресса от степени значимости ситуации, от психологической структуры личности (отношение человека к трудностям в работе, успеху и неудаче, уверенности и неуверенности в своих силах, направленности личности, уровня его притязаний и реальных возможностей, уверенности и т. п. Отмечается особая роль в возникновении психологического стресса интеллектуальной деятельности и мотивации При анализе влияния стресса на деятельность одни авторы отмечают, что он ее дезорганизует, другие признают за ним и некоторые положительные эффекты.
В большинстве работ отечественных психологов распространёно понимание психологического стресса как состояний психологической напряженности, которое возникает под влиянием сложных условий. Повседневные наблюдения создают многозначную картину влияния положительных и отрицательных эмоций на поведение и деятельность человека. Например, страх, являясь биологически оправданной реакцией, в сложных условиях социального поведения человека часто становится препятствием к достижению цели, но может вызвать мобилизационную готовят обострить анализирующую и обобщающую способность мысли и т.д.
Многие, исследователи сходятся во мнении, что результат действия эмоций влияет не столько их качество, сколько интенсивность (активация) Высокая интенсивность эмоций может побудить в человеке значительные силы и мобилизовать на деятельность, но может оказать и парализующее действие на активность субъекта. Интенсивность эмоций часто приводит к неадекватной оценке событий и реакции на них, к психомышечной скованности, отсутствии объемности (целостности) видения всей ситуации и ее последствий; неправомерно большой затрате нервно-психической энергии. Следует выделить несколько главных причин, которые “переводят” эмоции в затяжные, длительные состояния на высоком уровне возбудимости и служат началом болезни:
- преодоление биологического оптимума возбудимости, “защелкивание” возбудимости на этом высоком уровне и переход се в хроническое состояние
- все более широкое вовлечение нервных структур в функцию первично чрезмерно возбудившихся элементов;
- стремительное нарастание тонизирующих гормонов в кровяном русле, что создает дополнительно “подстегивание” первично перевозбужденных нервных элементов и переводит течение патологической эмоции в хроническую форму по типу “порочного круга”;
- формирование утонченных и весьма расширенных сигнальных связей этого патологического подкоркового комплекса с факторами окружающего мира через опосредованное влияние коры головного мозга.
Сильные эмоции могут привести и к быстрому, адекватному реагированию субъекта и повышению эффективности деятельности. Это бывает, когда эмоциогенный фактор требует от субъекта быстрых и решительных действий, не дает ему времени проанализировать, оценить ситуацию, т. е. адекватность реакции поддерживается за счет интуиции. При этом эмоции не успевают достичь своей критической силы. В случае мобилизации субъекта на деятельность, ее реализация, при повышенном эмоциональном напряжении, достигается значительными энергетическими усилиями, что создает определенную угрозу здоровью субъекта. Повышение “цены деятельности ” (возрастание психофизиологических затрат) приводит к истощению внутренних ресурсов организма неизбежными последствиями в виде угрозы заболевания. При этом результативная сторона деятельности в течение определенного времени может не ухудшаться. Возникновение неблагоприятного состояния не всегда сразу приводит к снижению показателей профессионально значимых психофизиологических функций. Например, при высокой мотивированности деятельности нередко наблюдается стойкое повышение показателей функционирования наиболее ответственных систем, независимо от характера состояния. Высокий и низкий уровни эмоционального возбуждения могут способствовать дезорганизации деятельности.
Таким образом, с одной стороны, эмоции – это необходимый компонент творческой активности, связанной с определением препятствий, стоящих на пути удовлетворения потребностей. Но, с другой стороны, понятие эмоциональной устойчивости (ЭУ) приобретает законное право на существование ,так как эмоциональное возбуждение в ряде случаев выступает как фактор, дезорганизующий деятельность и поведение. В этой связи проблема надежности на психологическом языке может быть понята как “проблема ЭУ”.
Эмоциональная устойчивость человека может быть укреплена при помощи техник релаксации, концентрации и ауторегуляции дыхания.
Деловой человек может обладать стрессовым или нестрессовым стилем жизни.
Стрессовый стиль жизни
- Испытывает хронический неослабевающий стресс.
- Попадает в одну или несколько непрекращающихся стрессовых ситуаций.
- Тяжело преодолевает стрессовые межличные отношения (например, трудности в семье, осложнение отношений с супругом(ой), боссом, сотрудниками).
- Участвует в неинтересной, скучной, раздражающей или иным образом неприятной и неблагодарной работе.
- Испытывает постоянную нехватку времени, слишком много надо сделать за данный промежуток времени.
- Беспокоится по поводу потенциально неприятных наступающих событий.
- Обладает пагубными для здоровья привычками (например, в питании, курит, выпивает, испытывает недостаток физических упражнений, в плохой физической форме).
- Поглощен одним видом деятельности (например, работой, общественной деятельностью ,зарабатыванием денег, одиночеством или физической деятельностью).
- Считает, что трудно просто хорошо провести время, расслабиться и насладиться какой-нибудь кратковременной работой.
- Воспринимает отношения между полами как неприятные, неблагодарные или общественно запрограммированные (например, путем интриг, стремления “заманить”).
- Воспринимает жизнь как серьезную трудную ситуацию, отсутствует чувство юмора.
- Соглашается с выполнением угнетающих неблагодарных социальных ролей.
- Воспринимает тяжелые или стрессовые ситуации пассивно, страдает молча.
Нестроссовый стиль жизни
- Допускает наличие “творческого” стресса в определенные периоды напряженной деятельности.
- Имеет “пути спасения”, позволяющие хотя бы временно отстраниться и расслабиться.
- Отстаивает собственные права и потребности, устанавливает низкострессовые отношения, которые являются ободряющими и спокойными.
- Участвует в интересной, благодарной, стоящей работе, которая обеспечивает подлинное вознаграждение.
- Сохраняет стимулирующую рабочую нагрузку, где периоды перегрузки и кризисов уравновешиваются периодами “передышки”.
- Уравновешивает опасные события полезными целями и положительными событиями, к которым следует стремиться.
- Сохраняет хорошую физическую форму, хорошо питается, очень редко употребляет алкоголь и табак или совсем не употребляет.
- Вкладывает энергию в различные виды деятельности, что в целом приносит чувство удовлетворения (например, в работу, общественную деятельность, отдых, уединение, культурные мероприятия, семью и близких знакомых).
- Находит удовольствие в простой деятельности, не чувствуя необходимости оправдывать наигранное поведение.
- Наслаждается полной и кипучей сексуальной жизнью ,прямо выражая свой “сексуальный аппетит”.
- Наслаждается жизнью в целом, может смеяться над собой, имеет хорошо развитое чувство юмора.
- Проводит жизнь, относительно свободную от ролей, способен выражать естественные потребности, желания, чувства без оправдания.
- Эффективно распределяет время, избегает напряженных ситуаций.
Литература
- Селье Г. стресс без дистресса. – М., 1979.
- Василюк Ф.Е. Психология переживания. – М., 1984.
- Тимченко А.В. Психогении в экстремальных условиях: Боевая психическая травма и методы ее коррекции. – Харьков, 1995.
- Психология эмоций. Тексты. – М., 1984.

