Методические указания по выполнению дипломной работы для студентов всех форм обучения по специальности 080104. 65 «Экономика труда»
| Вид материала | Методические указания |
- Методические указания по выполнению дипломной работы для студентов всех форм обучения, 696.92kb.
- Методические указания к выполнению курсовой работы для студентов специальности «Экономика, 903.13kb.
- Методические указания к выполнению курсовой работы по специальности 060800 Экономика, 313.82kb.
- Тамбовский Государственный Технический Университет внешнеэкономическая деятельность, 218.63kb.
- Методические указания по выполнению и офрмлению квалификационной (дипломной) работы,, 331.89kb.
- Методические указания по выполнению дипломной работы для студентов специальности «Математика, 292.85kb.
- Методические указания по выполнению курсовой работы для студентов специальности 030508, 341.38kb.
- Методические указания к выполнению контрольной работы для студентов всех форм обучения, 330.41kb.
- Методические указания к выполнению лабораторной работы №6 для студентов всех форм обучения, 197.64kb.
- Методические указания к выполнению лабораторной работы №21 по физике для студентов, 119.29kb.
«Утверждаю»
Зав. кафедрой, профессор
Морозова Л.С.
________________________
з а д а н и е
на дипломную работу
Студенту ____________________________________________________________
1.Тема работы: ________________________________________________________
__________________________________________________________________________________________________________________________________________
Утверждена приказом по «РГУТиС» от _____________ за № _________________
2. Сроки сдачи студентом законченной работы ____________________________
3. Исходные данные к работе ___________________________________________
_____________________________________________________________________
_________________________________________________________________________________________________________________________________________________________________________________________________________________________________________________________________________________________________________________________________________________________
4. Содержание пояснительной записки: ___________________________________
____________________________________________________________________________________________________________________________________________________________________________________________________________________________________________________________________________________________________________________________________________________________________________________________________________________________________________________________________________________________________________________________________________________________________________________________________________________________________________________________________________________________________________________________________________________________________________________________________________________________________________________________________________________________________________________________________________________________________________________________________________________________________________________________________________________________________________________________________________________________________________________________________________________________________________________________________________________________________________________________________________________________________________________________________________________________________________________________________________________________________________________________________________________________________________________________________________________________________________________________________________________________________________________________________________________________________________________________________________________________________________________________________________________________________________________________________________________________________________________________________________
5.Перечень графического материала: _____________________________________
____________________________________________________________________________________________________________________________________________________________________________________________________________________________________________________________________________________
____________________________________________________________________
6. Дата выдачи задания «_____»________________________ 20 ___ г.
Руководитель ____________________
(подпись)
Задание принял к исполнению студент:
_________________________________
(подпись)
Приложение Г
Министерство образования и науки Российской Федерации
Федеральное государственное образовательное учреждение высшего профессионального образования.
«Российский государственный университет туризма и сервиса» (ФГОУВПО «РГУТиС»)
Экономический факультет
Кафедра «Экономика труда и управление персоналом»
ДИПЛОМНая работа
На тему________________________________________________________ _________________________________________________________________
специальность 080104.65 Экономика труда
специализация «Управление персоналом»
РУКОВОДИТЕЛЬ работы __________ _______________________
/подпись/ /уч. степень, уч. звание, Ф.И.О/
ДИПЛОМНИК: _____________ _______________________
(подпись) (Ф.И.О.)
«___ »_______________________ 20 _ г.
Допустить к защите
Зав. кафедрой «Экономика
труда и управление
персоналом» ________________ д.э.н., профессор Морозова Л.С.
/подпись/ /уч. степень, уч. звание, Ф.И.О/
«___ »_______________________ 20 _ г.
МОСКВА 20_ г.
Приложение Д
Таблица 1 – СОЦИАЛЬНО-ЭКОНОМИЧЕСКИЕ РЕЗУЛЬТАТЫ СОВЕРШЕНСТВОВАНИЯ ТРУДОВОЙ ДЕЯТЕЛЬНОСТИ
| Наименование | Социально-экономические результаты | Показатели |
| 1 | 2 | 3 |
| 1. Планирование и маркетинга персонала | Обеспечение полной реализации потенциала работников организации Обеспечение соответствия содержания труда квалификаций, индивидуальным способностям и интересам работников Обеспечение возможности занятости для ищущих работу в регионе Обеспечение возможности снижения негативных последствий высвобождения работников Обеспечение стабильности персонала Формирование благоприятного имиджа организации | Сокращение количества рабочих, занятых не по профилю профессии Сокращение числа сверхурочных часов на одного работающего Увеличение количества работников, принятых по направлению служб занятости Сокращение числа конфликтов в связи с необоснованным увольнением персонала рост числа случаев положительного освещения деятельности организации в средствах массовой информации |
| 2. Найм и учет персонала | Обеспечение использования персонала в соответствии с индивидуальными интересами, способностями и возможностями Обеспечение приема персонала, способного адаптироваться к организации (в том числе к ее корпоративной культуре) Повышение обоснованности кадровых решений о перемещении персонала | Увеличение удельного веса работников, удовлетворенных содержанием и режимом работы Сокращение числа обращений к администрации со стороны сотрудников с просьбой о переводе в другие подразделения в связи с неудовлетворенностью содержанием и режимом работы Снижение текучести кадров, проработавших в организации менее одного года, в связи с нереализованными ожиданиями |
Продолжение таблицы 1.
| 1 | 2 | 3 |
| 3. Условия труда | Обеспечение реализации системы требований психофизиологии и эргономики труда Обеспечение соблюдения требований технической эстетики Обеспечение реализации системы стандартов охраны труда и техники безопасности и санитарно-гигиенических требовании Гуманизация труда (обогащение содержания труда, снижение монотонности, объединение разрозненных элементов в работу, более соответствующую требованиям высокоразвитой личности и пр.) Сокращение загрязнения окружающей среды, сохранение живой природы и окружающего ландшафта | Снижение удельного веса рабочих, занятых на работах с неблагоприятными условиями труда Снижение удельного веса рабочих, занятых на работах с вредными условиями труда Снижение удельного веса рабочих, выполняющих работу вручную Увеличение удельного веса основных фондов природоохранного назначения в общей стоимости основных фондов Увеличение числа мер, направленных на обеспечение чистоты территории предприятия и близлежащих территорий Увеличение удельного веса работников, удовлетворенных условиями работы Сокращение частоты производственного травматизма Сокращение количества случаев профессиональных заболеваний Сокращение потерь рабочего времени из-за временной нетрудоспособности работников Увеличение продолжительности жизни работников |
| 4. Трудовые отношения | Обеспечение своевременного выявления проблем в групповых и индивидуальных взаимоотношениях Обеспечение соблюдения этических норм взаимоотношений Обеспечение возможности принятия решений в случаях, когда необходим поиск компромиссов Формирование благоприятного имиджа организации Наличие механизмов координации работ при решении проблем социально-трудовых отношений | Сокращение числа конфликтов по производственным вопросам в структурных подразделениях Сокращение числа социально-трудовых конфликтов в расчете на одного работника Сокращение потерь времени из-за социально-трудовых конфликтов Сокращение числа обращений к администрации со стороны сотрудников с просьбой о переводе в другие подразделения в связи с проблемами групповых и индивидуальных взаимоотношений. Удельный вес работников, удовлетворенных взаимоотношениями с руководством |
Продолжение таблицы 1.
| 1 | 2 | 3 |
| 5. Развитие персонала | Обеспечение условий для всесторонней адаптации персонала к условиям работы в организации Повышение содержательности труда Реализация и развитие индивидуальных способностей работников Повышение конкурентоспособности персонала Обеспечение согласования целей работников и администрации при управлении карьерой Обеспечение овладения социокультурными нормами организации | Увеличение удельного веса работников, владеющих смежными (двумя и более) специальностями и профессиями Увеличение удельного веса работников, повышающих квалификацию Увеличение удельного веса работников, выразивших удовлетворение возможностями личного возвышения Повышение удельного веса изобретателей и рационализаторов в общей численности работающих Увеличение числа поданных рационализаторских предложений и изобретений Снижение уровня текучести по причине неудовлетворенности возможностями развития Сокращение требуемой продолжительности периода адаптации |
| 6. Подсистема мотивации поведения персонала | Обеспечение связи между результативностью и оплатой труда Обеспечение возможностей личного развития работников Формирование чувства причастности работника к организации | Повышение удельного веса работников, выражающих удовлетворение осознанием полезности труда Повышение удельного веса работающих, выразивших удовлетворенность системой вознаграждения Снижение абсентизма Удельный вес работающих, выразивших удовлетворенность условиями для самовыражения Удельный вес работающих - членов творческих групп, советов |
Продолжение таблицы 1.
| 1 | 2 | 3 |
| 7. Подсистема социального развития | Повышение разнообразия удовлетворенных потребностей персонала Формирование благоприятного социально-психологического климата Противодействие вредным привычкам, ведущим к физическому нездоровью или антисоциальному поведению Обеспечение механизма обратной связи с работниками исходя из их желаний и нужд Обеспечение механизма обратной связи с потребителями и обществом Создание возможностей для общения вне работы и участия в общественной жизни Улучшение условий домашнего быта | Рост количества мероприятий, направленных на поддержание здорового образа жизни Увеличение удельного веса сотрудников, удовлетворенных социально-психологическим климатом в коллективе Сокращение числа случаев задержания органами милиции и общественными правоохранительными органами работников предприятия Увеличение удельного веса работников, удовлетворенных действиями администрации по личным заявлениям Увеличение удельного веса работников, положительно оценивающих условия для общения вне работы и участия в общественной жизни |
| 8. Подсистема развития оргструктур управления | Обеспечение способности организации к перестройке своих структур в зависимости от изменения целей' и внешней среды Обеспечение принятия руководящих решений с ясным и четким изложением Обеспечение четкого определения прав и обязанностей работников | Удельный вес работников, для которых. разработаны должностные инструкции Удельный вес подразделений, для которых разработаны положения Увеличение числа изменений в организационной структуре по причине изменения целей и факторов внешней среды Увеличение удельного веса научно обоснованных управленческих процедур |
| 9. Подсистема правового обеспечения системы управления персоналом | Обеспечение соответствия кадровых решений требованиям трудового законодательства Повышение обоснованности кадровых решений | Сокращение числа трудовых споров, вызванных нарушением трудовых прав работников Сокращение удельного веса работников, указывающих на недостаточную обоснованность кадровых решений (не учитываются интересы персонала) |
Приложение Е
Таблица 2 - Основные расчетные формулы оценки экономических результатов по совершенствованию системы и технологии управления персоналом организации по производственным факторам
| Наименование факторов | Расчетная формула | Показатели, составляющие формулу |
| 1 | 2 | 3 |
| 1. Повышение качества продукции и услуг | ![]() | Ц1, Ц2 – оптовая цена продукции до и после мероприятий, руб.; - себестоимость единицы продукции (услуги) до и после мероприятий, руб.;В1 – годовой выпуск изделий (услуг) до мероприятий, шт. |
| 2. Снижение брака | ![]() | БИ1, Би2 — количество забракованных изделий по отношению к количеству годных до и после внедрения мероприятий, %; С2 — себестоимость [без отчисления на амортизацию) единицы продукции после внедрения мероприятия, руб.; Ц — цена единицы годных изделий, руб.; ЦБ — цена единицы бракованных изделий (лома), руб. |
| 3. Высвобождение численности рабочих | ![]() | Чп — расчетная численность рабочих (определяется делением планового объема производства на выработку, достигнутую в базисном периоде), чел.; Чр — удельный вес основных рабочих в общей численности рабочих, %; Ф1 — годовой фонд рабочего времени одного рабочего, ч; Кн — коэффициент выполнения норм выработки до мероприятий; T-i, Т2 — потери рабочего времени в базисном и расчетном периодах, %; 3 — средняя годовая стоимость одного часа работы, руб. |
Продолжение таблицы 2
| 4. Улучшение использования рабочих. | ![]() | Ки — коэффициент, учитывающий долю экономического эффекта за счет улучшения использования рабочих кадров. Определяется экспертным путем |
| 5. Повышение производительности труда в основном производстве. | ![]() ![]() | Чнв — численность рабочих, повысивших процент выполнения норм выработки в результате повышения квалификации, чел,; Рнв — прирост процента выполнения норм выработки, %; Рнв1, Рнв2 — выполнение норм выработки до и после повышения квалификации, % |
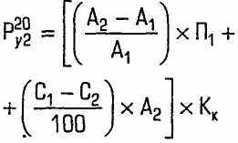
| 6. Повышение уровня квалификации рабочих. | ![]() | Вк — высвобождение рабочих в результате осуществления мероприятий, чел.; Зс — среднемесячный заработок одного рабочего, руб.; Чн — численность рабочих, повысивших уровень выполнения норм выработки в результате повышения квалификации; ∆РН — процент выполнения норм выработки, % |
| 7. Сокращение потерь рабочего времени | ![]() | ДВ — сокращение потерь и непроизводительных затрат, времени работников в течение рабочего дня, ч; Ч — численность работников, сокративших потери и непроизводительные затраты, чел.; Ф3 — годовой фонд рабочего времени одного работника, ч; Р1 Р2 — потери рабочего времени до и после мероприятий, % |
| 8. Снижение текучести рабочих кадров. | ![]() | Р — среднегодовой ущерб, причиненный предприятию текучестью кадров (снижение производительности труда в течение периода ожидания увольнения, а также вновь принятых на работу и затраты на |
Продолжение таблицы 2
| | | их обучение, а также затраты, связанные с увольнением, наймом и приемом на работу); - фактический и ожидаемый коэффициенты текучести, %;Зд – среднедневной заработок одного рабочего, руб.; Чд – количество человеко-дней неработы в связи с уходом с работы или обучением вновь принятого рабочего |
| 9. Повышение уровня трудовой дисциплины | ![]() | — число прогулов рабочих в год, дн.;Пф — годовой полезный фонд времени одного рабочего, дн. |
| 10. Повышение культуры производства | ![]() | Кк — коэффициент, учитывающий долю экономического эффекта за счет повышения культуры производства. Определяется экспертным путем |
| 11. Сокращение производственного травматизма и заболеваний | ![]() | H1 Н2 — потери рабочего времени по временной нетрудоспособности в течение года до и после внедрения мероприятий, дн.; средний дневной размер ущерба предприятию в связи с травмами и производственно обусловленными заболеваниями, руб. Определяется по данным за период последних 3-5 лет и состоит из следующих слагаемых:Рн1 — выплата пособий по временной нетрудоспособности; Рн2 — оплата судебных исков за счет предприятия на возмещение ущерба лицам, получившим производственную травму; Рн3 — выплата пенсий при условии ухода на инвалидность; Рн4 — затраты на приобретение медицинского оборудования и |
Продолжение таблицы 2
| | | медикаментов; Рн5 — расходы на санаторно-курортное лечение за счет предприятия; Рнj — прочие расходы |
| 12. Уменьшение удельного веса ручного труда в технологических процессах. | ![]() | Крт – коэффициент, учитывающий долю экономического эффекта от уменьшения удельного веса ручного труда в технических процессах. Определяется экспертным путем; Чр — количество рабочих, занятых ручным трудом после, мероприятий, чел. |
| 13. Рост объема производства продукции и услуг | ![]() | Ч1, Ч2 – численность работающих (рабочих) в данном производственном подразделении соответственно до и после мероприятий, чел.; rА—-годовой прирост объема производства в результате внедрения мероприятий, % |
| 14. Снижение трудоемкости изготовления продукции и оказания услуг | ![]() | — средние затраты труда на 1000 руб. товарной продукции (услуг) до и после мероприятий, ч. |
Приложение Ж
Пример составления списка использованных источников
Список использованных источников приводится в алфавитном порядке. Минимальное количество источников – 25. Обязательное использование источников, опубликованных в период после 2003 г.
Примеры обозначения различных источников (ГОСТ 7.1-2003):
для монографий:
Морозова Л.С. Формирование сервисной экономики как фактор социально-экономического развития регионального рынка труда./отд-ние Экон РАН; - М.: ГОУВПО «МГУС», 2006.
для статей:
Мурашова Ю.В. Поведение работников организации как объект стимулирования // Совершенствование управления социально-экономическими системами. Выпуск второй: Сборник научных статей/ Под ред. д.э.н., проф. Морозова В.Ю. и д.э.н. Сульповара Л.Б. ГОУВПО «МГУС», 2008, с. 109-111.
для учебников:
Пашуто В.П. Практикум по организации, нормированию и оплате труда на предприятии. Учебное пособие / Гриф УМЦ, - М.: КНОРУС, 2010
для нормативных документов:
ГОСТ 7.1.84. Библиографическое описание документа. Общие требования и правила составления: Введ. 01.01.86. – М.: Изд-во стандартов, 1987. – (Система стандартов по информации, библиотечному и издательскому делу).
для источников на английском языке:
Van de Ven, A and Poole, M.S. (2005), “Explaining development and change in organizations”, Academy of Management Review, Vol. 20, pp.510–40.
для неопубликованных источников:
Ревенков А.Н. Инвестиционная политика акционерного общества в переходной экономике: Автореф. дис… канд. экон. наук. – Ульяновск; 2004, – 21 с.
для интернет-источников:
Венелин И. Ганев. Заметки о сетевых структурах на рынке труда/ Ресурсы интернет: – ru/kpvo231/reviews/ganev.phpl
Приложение К
Образец оформления рисунка

R

0

q0
q0
Рисунок. 1.3 - График зависимости прибыли от объема продаж,
R— прибыль; с— постоянные затраты; I, II, III —
варианты производства; q ~ объем продаж
Приложение Л
Образец оформления таблицы
Таблица 1 - Основные экономические показатели предприятия
| Показатели | 2008г. | 2009г. | 2010г. | Отклонение | |
| Абсолютное +/- | Относительное % | ||||
| 1. Объем реализации услуг, тыс.руб. | | | | | |
| 2.Численность, чел. | | | | | |
| 3.Выработка на одного работающего, тыс. руб. | | | | | |
| 4.Фонд заработной платы, тыс.руб. | | | | | |
| 5.Среднемесячная заработная плата одного работающего тыс. руб. | | | | | |
| 6. Себестоимость, тыс.руб. | | | | | |
| 7. Затраты на 1 рубль реализации услуг (руб). | | | | | |
| 8. Прибыль, тыс.руб. | | | | | |
| 9.Рентабельность деятельности, % | | | | | |
В том случае, если размер таблицы превышает 1 стр., то допускается перенос таблицы на следующую страницу
Продолжение таблицы 1
| 1 | 2 | 4 | 5 | 6 | 7 |
| 5 | | | | | |
Приложение М
Министерство образования и науки Российской Федерации
Федеральное государственное образовательное учреждение высшего профессионального образования.
«Российский государственный университет туризма и сервиса» (ФГОУВПО «РГУТиС»)
Экономический факультет
Кафедра «Экономика труда и управление персоналом»
Отзыв руководителя дипломной работы
На дипломную работу студента(ки)
________________________________________________________________________________________________________________________________________
(фамилия, имя, отчество)
выполненную на тему: ________________________________________________
________________________________________________________________________________________________________________________________________
1. Актуальность работы _______________________________________________
____________________________________________________________________
2. Научная новизна работы ____________________________________________
____________________________________________________________________
3. Оценка содержания дипломной работы ________________________________
____________________________________________________________________
4. Положительные стороны работы ______________________________________
____________________________________________________________________
5. Замечания к дипломной работе _______________________________________
____________________________________________________________________
6. Рекомендации по внедрению дипломной работы ________________________
____________________________________________________________________
7. Рекомендация по допуску дипломной работы к защите ___________________
____________________________________________________________________
8. Дополнительная информация для ГЭК _________________________________
____________________________________________________________________


- себестоимость единицы продукции (услуги) до и после мероприятий, руб.;







- фактический и ожидаемый коэффициенты текучести, %;
— число прогулов рабочих в год, дн.;

средний дневной размер ущерба предприятию в связи с травмами и производственно обусловленными заболеваниями, руб. Определяется по данным за период последних 3-5 лет и состоит из следующих слагаемых:


— средние затраты труда на 1000 руб. товарной продукции (услуг) до и после мероприятий, ч.