Повышение эффективности процесса торцового шлифования за счет использования сотс в качестве элемента виброгасящей системы (на примере пластин из хрупких неметаллических материалов)
| Вид материала | Автореферат |
- Вопросы методологии исследования влияния сотс на процесс резания э. Р. Ваниев;, 344.38kb.
- Повышение эффективности управления отделом продаж за счет использования информационных, 33.38kb.
- Повышение эффективности технологического процесса обработки деталей машин при интеграции, 291.71kb.
- Вопросы к ига по специальности Бух учет, 166.18kb.
- Программа семинара мсэ «Радиомониторинг и повышение эффективности использования спектра», 94.01kb.
- Повышение экономической эффективности коммунальной теплоэнергетики за счет использования, 323.58kb.
- Слайд Автоматизированная информационная система «Налог» представляет собой, 219.32kb.
- Голосования и тестирования votum как средство повышения эффективности процесса обучения, 113.22kb.
- Магистерской программы «Материаловедение металлических и неметаллических материалов, 24.46kb.
- Доклад по дипломной работе на тему «Управление предприятиями жилищно-коммунального, 80.19kb.
НИЖЕГОРОДСКИЙ ГОСУДАРСТВЕННЫЙ ТЕХНИЧЕСКИЙ
УНИВЕРСИТЕТ
На правах рукописи
ИГНАТЬЕВ ДМИТРИЙ АНАТОЛЬЕВИЧ
ПОВЫШЕНИЕ ЭФФЕКТИВНОСТИ ПРОЦЕССА ТОРЦОВОГО ШЛИФОВАНИЯ ЗА СЧЕТ ИСПОЛЬЗОВАНИЯ СОТС В КАЧЕСТВЕ ЭЛЕМЕНТА ВИБРОГАСЯЩЕЙ СИСТЕМЫ
(на примере пластин из хрупких неметаллических материалов)
Специальность: 05.03.01 - Технологии и оборудование механической
и физико-технической обработки.
Автореферат
диссертации на соискание ученой степени
кандидата технических наук
Нижний Новгород 2006
| Работа выполнена в Арзамасском политехническом институте Нижегородского государственного технического университета | |||
| | | | |
| Научный руководитель: | | кандидат технических наук, доцент Глебов Владимир Владимирович | |
| Научный консультант: | | доктор технических наук, профессор Сорокин Виталий Матвеевич | |
| Официальные оппоненты: | | Заслуженный деятель науки РФ, доктор технических наук, профессор Рыкунов Николай Стефанович | |
| | | кандидат технических наук, доцент Лаптев Игорь Леонидович | |
| | | | |
| Ведущее предприятие: | Нижегородский филиал Института машиноведения им. А.А. Благонравова РАН | ||
| | |||
| | |||
| Защита состоится ” ” декабря 2006 г. в ______ часов на заседании диссертационного совета Д212.165.09 при Нижегородском государственном техническом университете по адресу: 603600, г. Нижний Новгород, ГСП-41, ул. Минина, 24, корп.№1, ауд.1258. | |||
| С диссертацией можно ознакомиться в библиотеке Нижегородского государственного технического университета | |||
| Автореферат разослан ” ” ноября 2006 г. | |||
| Ученый секретарь диссертационного совета Д212.165.09 кандидат технических наук, доцент | | Б. В. Устинов |
| | | |
ОБЩАЯ ХАРАКТЕРИСТИКА РАБОТЫ
Актуальность темы
Одним из способов повышения эффективности обработки, проводимой абразивным инструментом, является создание и совершенствование оптимальных технологических процессов, обеспечивающих высокую производительность и требуемое качество обработанных поверхностей, за счет применения различных методов борьбы с вибрациями в системе ”инструмент-заготовка”. Сопутствующие обработке вибрации часто вызывают появление недопустимых дефектов: повышенной шероховатости и глубины дефектного слоя, оптической и механической неоднородностей, сколов, микротрещин. Особенно остро эта проблема стоит при торцовом шлифовании плоскостей хрупких неметаллических материалов (неорганических стекол, ситалла, керамики). Перечисленные материалы применяются для изготовления деталей типа ”подложка” для зеркал, линз и призм, которые широко используются в изделиях точного машиностроения и приборостроения, где совершенствование методов шлифования за счет применения методов борьбы с вибрациями, в большинстве случаев, проводится путем повышения жесткости оборудования и приспособлений, применения различных шлифовальных кругов с демпферами и др., и сопровождается интенсивным охлаждением (подачей в зону резания различных смазочно-охлаждающих технологических средств (СОТС)). Кроме того, на предварительных операциях (шлифование) возможно появление в поверхностном слое дефектов, которые приводят к увеличению припуска и времени на обработку при последующих финишных операциях (доводка-притирка, полирование), повышенному расходу основного и вспомогательного материалов, а также возможному возникновению неисправимого брака и увеличению себестоимости изготовления изделий.
Анализ показывает, что применяемые в промышленности методы борьбы с вибрациями при торцовом шлифовании хрупких материалов в большинстве случаев недостаточно эффективны по обеспечению требуемых характеристик качества обработанной поверхности.
Применяемые при этом СОТС используются в основном для отведения тепла из зоны резания. В тоже время, практика показывает, что преобладающая часть СОТС, находящаяся в зоне контакта инструмента с заготовкой обладает виброгасящими свойствами. Отсюда, при наличии достаточно надежной возможности обеспечения стабильности свойств СОТС, они могли быть использованы в борьбе с вибрациями в системе ”инструмент-заготовка”. Это для ряда промышленных производств, в частности, изготовления оптических приборов, могло бы явиться одним из средств обеспечения высокой производительности и требуемого качества обработанных поверхностей, что является актуальной задачей современного машино- и приборостроения.
Настоящая работа выполнена в соответствии с госбюджетной тематикой научно-исследовательских и опытно-конструкторских работ кафедры «Технология машиностроения» АПИ НГТУ и договорам по сотрудничеству с предприятием «Темп-АВИА» (г. Арзамас).
Целью работы является повышение эффективности (качества и производительности) процесса торцового шлифования изделий из хрупких неметаллических материалов (ХНМ) на основе разработки новых схем виброгасящих систем и входящих в них конструкций устройств, обеспечивающих снижение вибраций в системе ”инструмент - заготовка” с учетом использования в качестве элемента виброгасящей системы СОТС.
Для достижения поставленной цели сформулированы следующие задачи:
1. На основе анализа теории шлифования, гидродинамических и физических процессов математически описать процесс торцового шлифования с применением виброгасящей системы, СОТС, в качестве виброгасящего элемента системы, предложить марки СОТС и рациональные схемы устройств, входящих в состав виброгасящей системы при плоском торцовом шлифовании, которые обеспечивали бы эффективное гашение вибраций при заданной производительности устройств и повышение качества обрабатываемых изделий из хрупких неметаллических материалов.
2. Построить обобщенную математическую модель процессов торцового шлифования с учетом использования в качестве элемента виброгасящей системы СОТС и на этой основе разработать новые конструкции устройств, учитывающих поведение СОТС в зоне обработки, и обеспечивающих требуемую производительность и качество процессов.
3. Экспериментально проверить технологические возможности разработанных устройств и СОТС, входящих в состав виброгасящей системы применяемой при шлифовании, обеспечивающих эффективное гашение вибраций, а также повышающих параметры качества обработанных поверхностей изделий из кварцевых стекол и ситалла и производительность процесса.
4. Произвести рациональный выбор конструктивно-технологических параметров виброгасящей системы в сочетании с технологическими факторами обработки деталей из хрупких неметаллических материалов и выявить их влияние на основные параметры процесса торцового шлифования и его эффективность.
5. Разработать методику для инженерного расчета конструктивно-технологических параметров предложенной виброгасящей системы, устройств и СОТС, входящих в ее состав, с учетом ее использования при торцовом шлифовании деталей из хрупких материалов.
Объекты и методика исследований. Основными объектами экспериментальных исследований явились виброгасящая система в составе шлифовального технологического оборудования, с использованием СОТС на водной основе марок Оксидол ОС1 (3-5%), Ленол 10М (1-3%), Аквол - 10 (6-8%), реальные детали из неорганических стекол марок К108, КУ-1, КУ-2 и ситалла СО-115М, применяемые в гироскопических приборах, шлифовальные инструменты, технологические процессы торцового шлифования.
Теоретические исследования выполнялись на базе научных основ технологии машиностроения, теорий механической обработки и шлифования хрупких неметаллических материалов (стекол и ситаллов), теории вибрационных процессов, фундаментальных положений гидродинамики, математического и физического моделирования поведения тонкого слоя жидкости в поле центробежных сил инерции.
Экспериментальные исследования проводились в производственных и лабораторных условиях с использованием современной измерительной аппаратуры на основе методов оптической микроскопии, планирования многофакторного эксперимента и статистического анализа, рационализации процессов обработки. Математическая обработка результатов исследований производилась с использованием ПЭВМ.
Научная новизна работы. Разработан (решение о выдаче патента РФ на полезную модель по заявке № 2006115970/22(017355) от 10.05.2006г.) и теоретически обоснован более эффективный способ гашения вибраций при торцовом шлифовании с использованием технологической среды, обеспечивающий повышение качества обработанной поверхности, производительности обработки и снижение трудозатрат, связанных со снижением припуска под финишную обработку.
Разработана обобщенная математическая модель процесса торцового шлифования деталей из хрупких материалов с использованием виброгасящей системы, состоящей из технологической среды и виброустойчивого инструмента, оснащенного рабочей частью со спиральными канавками, отражающая влияние ее характеристик, а также конструктивно-технологических параметров предложенного инструмента и СОТС и других технологических факторов на эффективность процесса.
На основе теории и метода борьбы с вибрациями при торцовом шлифовании разработана новая конструкция инструмента (патент РФ № 53961 на полезную модель от 10.06.2006г.), оснащенного виброгасителем и новой конструкцией рабочей части (решение о выдаче патента РФ на полезную модель по заявке № 2006130270/22(032893) от 21.08.2006г.), обеспечивающего повышение качества поверхности, а также снижение трудоемкости изготовления деталей из хрупких материалов за счет интенсификации режимов шлифования, уменьшения припусков на финишные операции при заданной производительности и исключающего трудоемкие процессы по минимизации дефектного слоя.
Получены новые экспериментальные результаты исследований, определяющие эффективность предложенной системы виброгашения с использованием виброгасящих свойств СОТС при торцовом шлифовании изделий из ХНМ (кварцевых стекол и ситалла).
Получены интерполяционные математические модели, позволяющие расширить представления о механизме формирования параметров качества поверхностного слоя и с достаточной степенью достоверности прогнозировать его в зависимости от режимов обработки и конструктивных параметров виброгасящей системы, а также определять рациональные их значения при торцовом шлифовании деталей из хрупких неметаллических материалов.
Практическая ценность работы
1. Разработана методика инженерного расчета рациональных конструктивно-технологических параметров виброгасящей системы, применяемой при торцовом шлифовании, которая обеспечивает эффективное гашение вибраций и экспериментальная модель установки для определения упругих свойств технологической среды.
2. Разработан алгоритм нахождения конструктивно-технологических параметров предложенной виброгасящей системы.
3. Разработана и передана к внедрению на ОАО АНПП «Темп-АВИА» (г. Арзамас) технология торцового шлифования, обеспечивающая эффективное гашение вибраций, в процессе обработки заготовок из кварцевых стекол и ситалла, повышение качества и производительности обработки, снижение трудозатрат по минимизации дефектного слоя.
Апробация и реализация работы
Апробация основных положений и результатов диссертационной работы осуществлялась в виде докладов и выступлений на: ежегодных научных конференциях и семинарах Нижегородского государственного технического университета в 2001-2004 г.г.; заседаниях кафедр «Технология машиностроения» НГТУ и Арзамасского филиала НГТУ в 2001-2006 г.г.; Всероссийских научно-технических конференциях «Прогрессивные технологии в машино- и приборостроении». – Нижний Новгород – Арзамас, 2002-2005 г.г.; Региональном молодежном научно-техническом форуме «Будущее технической науки нижегородского региона». – Нижний Новгород: НГТУ, 2002; Всероссийской научно-технической конференции «Современные технологии в машиностроении». – Пенза, 2002; Международной юбилейной технической конференции «Наука о резании материалов в современных условиях». – Тула: ТулГУ, 2005; Международной юбилейной научно-технической конференции «Обеспечение и повышение качества машин на этапах их жизненного цикла» - Брянск: БГТУ, 2005; 10-ой нижегородской сессии молодых ученых «Технические науки» - Нижний Новгород, 2005; Международной научно-технической конференции «Процессы абразивной обработки, абразивные инструменты и материалы. Шлифабразив-2005». – Волжский: ВолгГАСУ, 2005; 8-ой Международной практической конференции-выставке «Технологии ремонта, восстановления и упрочнения деталей машин, механизмов оборудования, инструмента и технологической оснастки» - Санкт Петербург, 2006; 5-ой Юбилейной Международной молодежной научно-технической конференции «Будущее технической науки» - Нижний Новгород: НГТУ, 2006.
Результаты исследований использованы при разработке опытно-промышленной технологии и оснастки для изготовления деталей из хрупких неметаллических материалов, в том числе стекол, ситаллов и керамики, на кафедре «Технология машиностроения» АПИ НГТУ и переданы на ряд промышленных предприятий Нижегородского региона.
Материалы теоретических и экспериментальных исследований используются в учебном процессе при чтении лекций, проведении практических и лабораторных занятий со студентами и магистрами по дисциплинам «Технология машиностроения», «Ресурсосбережение и малоотходные технологии».
Публикации. По теме диссертационной работы опубликовано 18 печатных работ, в том числе, 1 патент и 2 положительных решения на полезные модели.
Структура и объем работы. Диссертация состоит из введения, 6 глав, общих выводов, библиографического списка из 119 наименований, 1 приложения. Содержит 194 страницы машинописного текста, 50 рисунков, 11 таблиц.
СОДЕРЖАНИЕ РАБОТЫ
Во введении обоснована актуальность проблемы совершенствования процессов торцового шлифования, за счет применения виброгасящей системы, обеспечивающей эффективное гашение вибраций, при использовании в ее составе инструментов с виброгасителями и технологических сред, изложена краткая характеристика диссертационной работы, показаны научная новизна и практическая ценность полученных результатов.
В первой главе отражено состояние вопроса повышения эффективности систем торцового шлифования, обеспечивающих гашение вибраций в процессе механической обработки. Проанализированы технологические процессы и системы шлифования, конструкции инструментов и устройств с виброгасителями, пути их совершенствования с целью использования при торцовом шлифовании заготовок из хрупких неметаллических материалов. Показан большой вклад отечественных ученых Ардамацкого А.Л., Бердичевского Е.Г., Грановского Г.Н., Дадаева С.Г., Евсеева Д.Г., Королева А.В., Мартынова А.Н., Маслова Е.Н., Перерозина М.А., Пташникова В.С., Рогова В.В., Рыжова Э.В., Рыкунова Н.С., Семибратова М.Н., Силина С.С., Старкова В.К., Суслова А.Г., Филимонова Л.Н., Хрулькова В.А., Худобина Л.В., Якимова А.В., Ящерицына П.И. и др. в развитие теории и технологии абразивной обработки различных материалов, в том числе и шлифования хрупких неметаллических материалов (неорганических стекол, ситаллов и керамики) и сопутствующих процессов износа режущей поверхности абразивного инструмента, а также гидродинамических процессов и рационального использования при этом СОТС.
Отмечено, что торцовое шлифование является одной из важных операций технологического процесса, определяющей качество поверхностей деталей из хрупких неметаллических материалов и эффективность их производства, на которое в значительной степени влияют вибрации обрабатывающего оборудования, передаваемые через инструмент к заготовке. При этом установлено, что одним из способов повышения эффективности и качества процесса абразивного торцового шлифования является применение устройств оснащенных виброгасителями.
Анализ возможности применения в составе системы торцового шлифования различных устройств (инструментов, демпферов, и др.) и режимов обработки для гашения колебаний в системе ”инструмент – заготовка” показал, что для дальнейшего повышения качества поверхности и производительности торцового шлифования необходимо совершенствовать систему виброгашения колебаний.
На основании проведенного обзора технической литературы и патентов поставлена цель и сформулированы задачи исследований.
Во второй главе отображена методика экспериментальных исследований, приведены сведения о технологическом оборудовании, инструменте, режимах обработки, приборах, образцах с описанием методик получения и обработки результатов исследований.
В качестве объектов для исследований использованы детали типа ”пластина” для зеркал и линз из неорганических кварцевых стекол марок К108, КУ-1 и ситалла марки СО-115М размером 70 70 8 мм, а также плоские образцы из указанных материалов. Сравнительные эксперименты проведены на двух стендах и станке модели ОФ-55, модернизированном под обработку хрупких материалов и оснащенных: сборным шлифовальным кругом с двухкаскадным виброгасителем (серийная технология) и усовершенствованной виброгасящей системой (положительное решение о выдаче патента РФ на полезную модель по заявке № 2006115970/22(017355) от 10.05.2006 г.), разработанной под руководством проф. Сорокина В.М. на кафедре «Технология машиностроения» АПИ НГТУ. Торцовое шлифование осуществлялось алмазными сегментами зернистости 160/125. В качестве СОТС использована водная среда с добавлением ПАВ марок Оксидол ОС1 (3-5%), Ленол 10М (1-3%), Аквол - 10 (6-8%), введение которых повышает эффективность как процесса шлифования (антифрикционное и охлаждающее воздействие), так и процесса гашения вибраций (достаточная жесткость и виброгасящая способность потока СОТС) с помощью шлифовального круга специальной конструкции, входящего в виброгасящую систему. Расход СОТС составлял 10…20 л/мин. Шлифование производили на режимах: скорость резания Vрез =10...60 м/с; усилие прижима инструмента к шлифуемой поверхности Ру=0,15 МПа; продольная подача Sпр=3 м/мин.
Для исследования характеристик процесса торцового шлифования использован комплект серийно выпускаемой аппаратуры, предназначенной для проведения вибрационных и ударных испытаний. Вибрационные и ударные испытания, целью которых явилось определение значений амплитуд и частот колебаний рабочей части инструментов, проведены на экспериментальной установке с использованием макетов инструментов. В качестве измерительных приборов использованы виброизмерительная аппаратура мод. ВИ6-5МАД и ПЭВМ. Измерение вибраций, создаваемых ударным молотком УМ-8202 производилось датчиками вибраций ДВ-1В. Виброгасящая способность круга оценена по логарифмическому декременту затухания свободных колебаний рабочей части инструмента.
Испытания, целью которых являлось определение значений упругих и демпфирующих свойств слоя СОТС, проведены с применением разработанной, на кафедре «Технология машиностроения» АПИ НГТУ экспериментальной установки, приведенной на рис.1 при использовании макетов рабочих частей инструментов. Для устранения влияния вибраций электродвигателя, он был установлен на отдельном кронштейне. Передача крутящего момента на макет шлифовального круга реализована через клиноременную передачу. В качестве измерительных приборов использованы виброизмерительная аппаратура мод. ВИ6-5МАД и ПЭВМ.
Измерение жесткости, создаваемой слоем СОТС под воздействием постоянной нагрузки осуществлялось датчиком перемещений ДП-3.
По изменению толщины слоя была произведена оценка упругих свойств СОТС.


Рис.1. Принципиальная схема устройства экспериментальной установки
Измерение вибраций, создаваемых ударным молотком УМ - 8202, производилось датчиками вибраций ДВ-1В. Виброгасящая способность слоя СОТС оценивалась по изменению коэффициента демпфирования. Оценку качества обработанной поверхности производили по стандартным методикам. Шероховатость поверхности определяли с помощью высокочувствительного профилографа-профилометра модели 201 ”Калибр” с записью профилограмм. Количество дефектов и глубину дефектного слоя определяли с помощью микроскопов МБС-10 при послойном удалении дефектных слоев материала полированием по серийной технологии. Количественно дефектность оценивалась безразмерным коэффициентом Кдеф.= SΣдеф./SΣпов., где SΣдеф.- общая площадь дефектов после удаления первого слоя материала величиной равной высоте микронеровностей; SΣпов.- площадь исследуемой поверхности. Производительность определяли по измерению объема удаленного припуска за определенное время.
В третьей главе представлены результаты теоретического исследования процесса торцового шлифования изделий из хрупких неметаллических материалов при использовании предлагаемой виброгасящей системы, состоящей из сборного виброустойчивого инструмента со специальной рабочей частью и СОТС в качестве виброгасящего элемента. Одна из схем виброгасящей системы показана на рис.2.


Рис.2. Принципиальная схема виброгасящей системы:
1 – поверхность заготовки; 2 – упругие элементы первого каскада (слой СОТС) с жесткостью с1 и коэффициентом демпфирования h1; 3 – шлифовальные сегменты массой т; 4 – упругие элементы второго каскада с общей жесткостью с2 и коэффициентом демпфирования h2; 5 – платформа массой М; 6 – корпус - упругий элемент третьего каскада, жесткостью с3 и коэффициентом демпфирования h3.
Рис.3. Расчетная схема виброгасящей системы
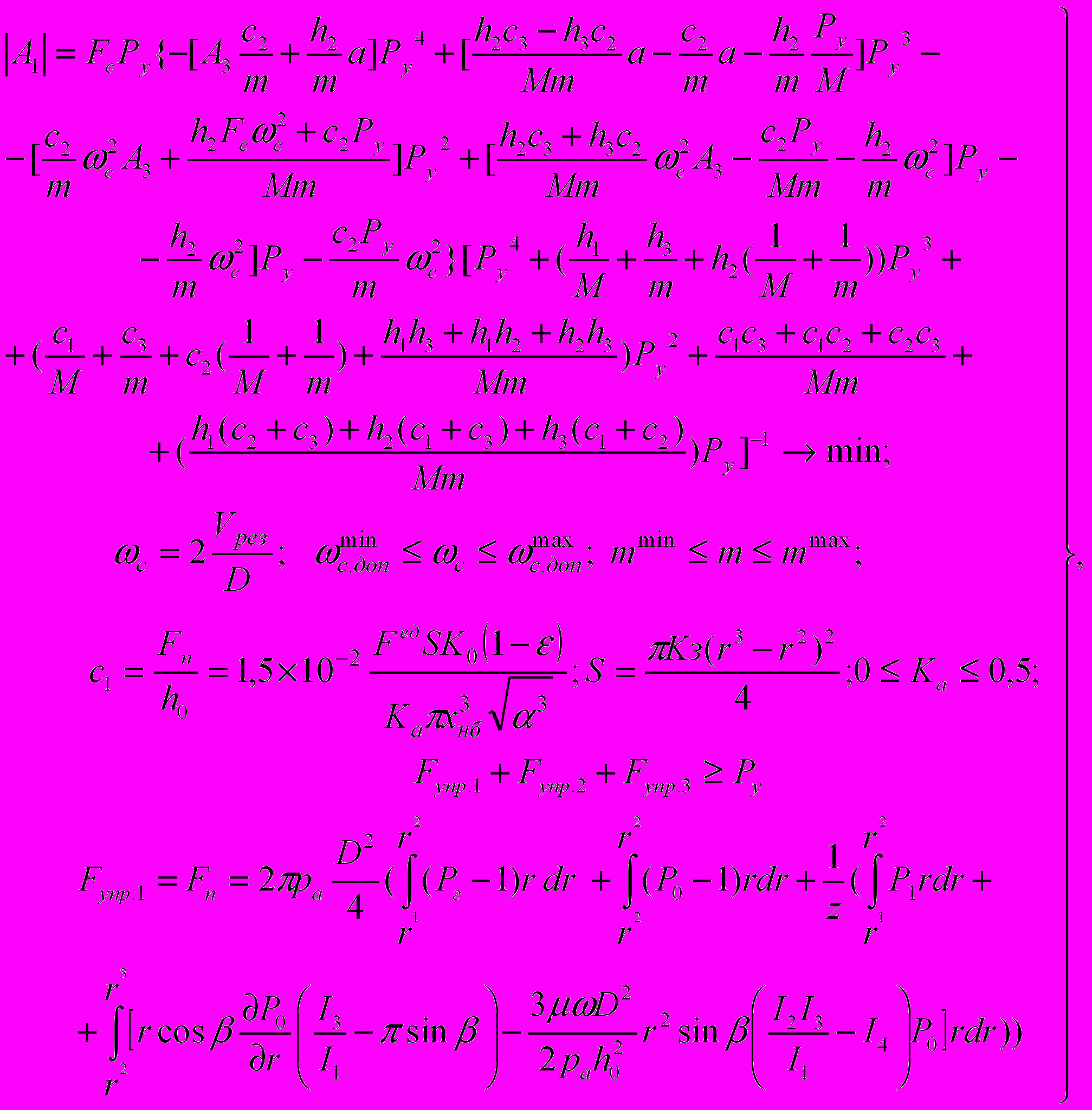
Используя теорию колебаний механических и других систем (Пановко Я. Г.), а также результаты ранее выполненных исследований другими авторами предложена расчетная схема виброгасящей системы с использованием СОТС в качестве упругого элемента (рис. 3) и получены теоретические зависимости определения ее конструктивно-технологических параметров.

где А1, А3 - амплитуды колебаний рабочих частей шлифовального круга и обрабатывающего оборудования, соответственно возникающих в процессе обработки; с1, с2, с3 - жесткости упругих элементов соответственно первого, второго и третьего каскадов виброгасителя инструмента; h1, h2, h3 – коэффициенты демпфирования упругих элементов соответственно первого, второго и третьего каскадов виброгасителя инструмента; М - масса платформы инструмента; m - масса абразивных сегментов; а - ускорение перемещения обрабатывающего оборудования, возникающее в процессе обработки; Ру – усилие прижима инструмента к заготовке; Fc - амплитуда вынуждающей силы, вызывающей колебания; с - круговая частота воздействия вынуждающей силы.
Из условия обеспечения необходимого амортизационного эффекта при взаимодействии обрабатываемой поверхности с эластично закрепленной рабочей частью инструмента получена зависимость, устанавливающая связь значения жесткости упругого элемента первого каскада с1 со значениями подъемного усилия Fп и толщины слоя СОТС h0, возникающего на площади контакта режущей поверхности инструмента и заготовки.

где Fед – усилие, оказываемое на единичное абразивное зерно; S - площадь режущей поверхности инструмента; К0 - концентрация абразивных зерен в связке; - значение относительной критической заделки абразивных зерен в связке; xнб - наибольший размер абразивных зерен; Ка - коэффициент, выраженный в долях наибольшего размера абразивных зерен; - коэффициент изометричности абразивных зерен.


Рис.4. Расчетная схема движения СОТС в канавках инструмента
Для определения подъемной силы Fп, развиваемой потоком СОТС с вязкостью µ и толщиной h0, под действием сил инерции перемещающегося по канавкам, с углом наклона , рабочей части инструмента диаметром D, предложена расчетная схема конструкции рабочей части инструмента (рис.4) и математическое выражение:


где: p – давление в СОТС, окружающего инструмент; P1 – основная часть давления в первом приближении на линии, образующей канавку или выступ; Pг - давление в
гладкой части инструмента; Р0 - составляющая давления в нулевом приближении; φ – текущий угол, криволинейная окружная координата; r – текущий радиус, криволинейная ортогональная к окружной координата; r1 – текущий радиус начала гладкого участка рабочей части инструмента; r2 – текущий радиус начала участка рабочей части инструмента с канавками; r3 – текущий радиус конца участка рабочей части инструмента с канавками; I1 , I2, I3, I4 - коэффициенты, зависящие от параметров канавок и сжимаемости СОТС; ω – угловая скорость вращения инструмента; z – число канавок.
С учетом полученных аналитических зависимостей предложена обобщенная математическая модель, позволяющая произвести количественную оценку интенсивности вибрационных процессов в системе ”инструмент-заготовка” для виброгасящей системы, выполненной в соответствии с предложенной расчетной схемой (рис.3). Разработанная модель представляет собой систему уравнений, описывающих связь конструктивных параметров инструментов с технологическими характеристиками их рабочих частей и режимами обработки.
Для предлагаемой системы торцового шлифования, с использованием СОТС, модель имеет вид:
где с.допmin, с.допmax - нижняя и верхняя граница интервала допустимых значений круговой частоты; mmin, mmax - нижняя и верхняя граница интервала значений масс инструмента; Кз - отношение площади шлифовальных сегментов к общей площади рабочей части инструмента.

Рис.5. Алгоритм расчета конструктивно-технологических параметров
Показано, что использование предложенной математической модели для заданных технологических условий позволяет определить оптимальные конструктивно-технологические параметры и их соотношения для систем с виброгасителями. Приведены алгоритм (рис.5) и программы расчетов конструктивно-технологических параметров инструментов, выполненных в соответствии с предложенными схемами. Результаты экспериментальных данных, полученных в главе 4, свидетельствуют об адекватности математических зависимостей.
В четвертой главе изложены результаты экспериментальных исследований, в частности испытаний опытно-промышленных образцов виброгасящей системы, применяемой при торцовом шлифовании с использованием СОТС для процесса гашения вибраций в системе ”инструмент-заготовка”, проведенных с целью проверки адекватности предложенных теоретических моделей и полученных расчетных данных.


Рис.6. Зависимости амплитуд колебаний рабочей части инструмента от скорости шлифования Vрез при применении СОТС различных марок


Рис.7. Сравнительные амплитудно-частотные характеристики
Испытания виброгасящей системы при торцовом шлифовании с использованием СОТС проводили в составе оборудования, применяемого на операциях предварительной обработки хрупких неметаллических материалов (гл.2). Исследовано распределение амплитуд при торцовом шлифовании в зависимости от марки используемой СОТС. На рис.6 представлены кривые, полученные в результате эксперимента и описывающие характер колебательного процесса рабочей части инструмента в зависимости от марок применяемых СОТС и значения скорости резания Vрез. На рис. 7 представлены кривые, полученные в результате эксперимента и описывающие характер колебательного процесса рабочей части инструмента в зависимости от конструкций используемых инструментов – оснащенного рабочей частью без спиральных канавок и предлагаемой с использованием СОТС (со спиральными канавками).






— Инструмент, оснащенный рабочей частью со спиральными канавками;
--- Инструмент без спиральных канавок
Рис.9. Зависимости качества обработанной поверхности (шероховатости Ra; глубины дефектного слоя H; коэффициента дефектности Кдеф) стекла К8(1) и ситалла СО115м(2) от скорости шлифования Vрез
Анализ данных кривых показал затрудненность применения стандартного инструмента из-за нестабильного поведения СОТС в зоне резания (всплеск на кривой при частоте с50 Гц). Полученные результаты подтвердили правильность теоретического исследования (расхождение результатов составляет не более 20%). Приведены также результаты исследования характеристик качества поверхностей после их обработки на различных режимах шлифовальными кругами с применением СОТС (результаты исследований частично представлены графиками на рис.8) и производительности шлифования (результаты исследований частично представлены графиками на рис.9) образцов из неорганического стекла К108 и ситалла СО-115м. Исследованы: шероховатость (Rz), глубина дефектного слоя (H), коэффициент дефектности (Кдеф) и производительность шлифования (Q).

— Инструмент, оснащенный рабочей частью со спиральными канавками
--- Инструмент без спиральных канавок
— стекла К8 — СО115м
Рис.9. Зависимости производительности шлифования стекла К8(1) и ситалла СО115м(2) от скорости резания Vрез
Анализ результатов исследования показал, что торцовое шлифование неорганических стекол и ситаллов с использованием виброгасящей системы, в которой СОТС применяется в качестве виброгасящего элемента, приводит к улучшению всех исследуемых параметров качества обработанной поверхности. Так, происходит снижение шероховатости в среднем на 15…20%, процент дефектов типа сколов, микротрещин и глубины дефектного слоя на 20…30 %. Все это обеспечивает уменьшение величины припуска под окончательную обработку (доводка-притирка, полирование), на 5…10% снижая при этом трудоемкость и себестоимость изготовления изделий.
В пятой главе с целью выбора рациональных технологических параметров процесса торцового шлифования хрупких неметаллических материалов и конструктивных параметров виброгасящей системы при применении СОТС в качестве виброгасящего элемента проведена статистическая обработка экспериментальных данных с использованием метода планирования эксперимента.
Был поставлен полный факторный эксперимент, в котором одновременно варьировались угловая скорость вращения инструмента ( = 10...300 рад/с), входящего в состав виброгасящей системы, отношение площади шлифовальных сегментов к общей площади рабочей части инструмента (Кз =0,2…0,9) и расход СОТС (Qр = 10...20 л/мин).
Исходными и не изменяющимися параметрами явились: продольная подача 3 м/мин., усилие прижима инструмента Ру =0,15МПа, диаметр рабочей части шлифовального круга 200 мм, угол захода спиральных канавок =20о, число канавок z=12, зернистость 160/125, связка М1, концентрация алмазов марки АС6 - 50%, СОТС на водной основе с добавлением поверхностно-активных веществ Аквол - 10 .
В качестве выходных параметров приняты характеристики качества обработанной поверхности: шероховатость ( Ra), глубина дефектного слоя (Т), коэффициент дефектности (Кдеф), на которые оказывают влияние входные технологические параметры режима процесса торцового шлифования и конструктивные параметры виброгасящей системы (, Qр, Кз). Для облегчения статистической обработки экспериментальных данных и расчетов на ПЭВМ разработаны программы вычислений. В результате получены интерполяционные математические модели, которые позволяют расширить представления о формировании качества поверхности заготовок из хрупких неметаллических материалов (стекол, ситалла) и с достаточной степенью достоверности прогнозировать его при различных режимах торцового шлифования инструментом, входящим в состав виброгасящей системы, а также определять их рациональные значения (ω = 65…70 рад/с, соответствующей скорости резания Vрез = 20...22 м/с; Qр = 17…19 л/мин.; Кз = 0,48...0,52). Полученные зависимости имеют вид:
Ra=3,17-0,0184-3,710-4Q-210-4Кз-2510-5Q+1,310-4КзQ+7,410-52-8510-5Q2+1,510-5Кз2;
Т=92,82-0,4-2,4Q-0,5Кз-6310-5Q+1,410-Кз+0,03КзQ+0,00162+0,036Q2+0,001Кз2;
Кдеф=0,786-410-4-310-4(Кз+Q)+510-7Q+710-5(Кз+)-610-5КзQ+0,001Q2+2,710-5Кз2.
В шестой главе показано практическое использование результатов теоретических и экспериментальных исследований для разработки прогрессивной технологии торцового шлифования в составе оборудования для обработки абразивными инструментами заготовок из хрупких неметаллических материалов. Представлены конструкции и описания инструмента, оснащенного виброгасителем с использованием СОТС для гашения вибраций в системе «инструмент-заготовка».
Разработана инженерная методика расчета конструктивно-технологических параметров инструмента и технологические рекомендации по выбору их элементов, а также режима работы инструмента в процессе торцового шлифования с использованием СОТС (на водной основе марки Аквол - 10) в качестве элемента виброгасящей системы, применяемого на операциях торцового шлифования заготовок из кварцевых стекол К108, КУ-1 и ситалла СО-115М. Использование технологических рекомендаций позволило исключить операции связанные с дополнительной финишной обработкой и устранить дефекты (риски, сколы, прижоги), имеющие место в серийных технологических процессах, и получить состояние поверхностей деталей, предусмотренное техническими требованиями, при этом на 5...10% повысить производительность операций торцового шлифования заготовок из хрупких неметаллических материалов.
Годовой экономический эффект от использования результатов диссертационной работы как показали расчеты, выполненные на базовом предприятии, может составить более 105 тыс. руб. в год.
ОСНОВНЫЕ РЕЗУЛЬТАТЫ И ВЫВОДЫ
1. На основе исследований и разработок автора, а также анализа работ отечественных и зарубежных ученых решена актуальная научно-техническая задача, направленная на повышение эффективности (качества и производительности) процесса торцового шлифования изделий из хрупких неметаллических материалов. Решение данной задачи выполнено на основе разработки новой схемы и конструкций инструмента, обеспечивающего снижение вибраций в системе ”инструмент - заготовка” при использовании СОТС в качестве элемента виброгасящей системы.
2. Получено аналитическое решение задачи, позволяющее оценить интенсивность вибрационных процессов при торцовом шлифовании кругом, оснащенным виброгасителем и рабочей частью со спиральными канавками, позволяющими использовать в качестве виброгасящего элемента технологическую среду, а также оценить параметры, характеризующие ее поведение в поле центробежных сил инерции в процессе обработки.
3. Предложены и теоретически обоснованы схема виброгасящей системы «инструмент-СОТС» и варианты конструкций инструмента для торцового шлифования хрупких неметаллических материалов.
4. Разработана обобщенная математическая модель для расчета конструктивно-технологических параметров виброгасящей системы с применением СОТС.
5. Проведены сравнительные экспериментальные исследования эффективности процесса торцового шлифования хрупких неметаллических материалов с использованием предложенной виброгасящей системы.
6. Показано, что полученные математические зависимости с достаточной для практики точностью описывают колебательные и гидродинамические процессы в зоне обработки и могут быть использованы для расчета как конструктивных параметров виброгасящей системы, так и технологических параметров процесса торцового шлифования.
6. Установлено, что применение разработанной виброгасящей системы для торцового шлифования с использованием в качестве дополнительного виброгасящего элемента СОТС в составе оборудования для шлифования заготовок из неорганических стекол (К8, КУ-1, КУ-2, КУВИ) и ситаллов (СО-115м и др.) обеспечивает получение высококачественных деталей. В частности, экспериментально получено значение шероховатости Ra = 0,8...1,2 мкм при отсутствии каких-либо значительных поверхностных дефектов при повышении производительности обработки на 5…10 %.
7. На основе использования метода планирования эксперимента получены математические зависимости в виде полиномиальных моделей, отражающие влияние режимов шлифования и конструктивно-технологических параметров виброгасящей системы на качество обработанной поверхности.
8. Разработана инженерная методика расчета конструктивно-технологических параметров виброгасящей системы для торцового шлифования хрупких неметаллических материалов и технологические рекомендации по практическому применению выполненных исследований, позволяющие получить значительный экономический эффект. Годовой экономический эффект от внедрения новой технологии торцового шлифования при обработке стекол марок К108, КУ-1 и ситалла СО-115М с использованием СОТС в качестве виброгасящего элемента, как показали расчеты, выполненные на ОАО АНПП ”Темп-Авиа”, может составить более 105 тыс. рублей.
9. Повышение эффективности применения разработанного процесса торцового шлифования хрупких неметаллических материалов достигается за счет:
а) повышения качества обработки поверхностей деталей (снижение шероховатости на 15…20%, глубины дефектного слоя на 20…30 %);
б) повышения производительности труда на 5…10% путем интенсификации режимов шлифования.
Основное содержание работы отражено в следующих публикациях:
1. Глебов, В.В. Анализ и совершенствование шлифовальных кругов с виброгасителем для обработки хрупких материалов / В.В. Глебов, В.М. Сорокин, В.П. Пучков, Д.А. Игнатьев //Известия ТулГУ. Сер. Инструментальные и метрологические системы. Вып. 1. Тр. международ. юб. науч.-техн. конф. «Наука о резании в современных условиях», посвященной 90-летию со дня рождения В.Ф. Боброва, 9-11 февраля 2005г. Часть. 2. –Тула: Изд-во ТулГУ.- 2005 –С. 63-66.
2. Глебов, В.В. Патент Российской Федерации на полезную модель № 53961/ МПК В24В 55/03 В24В 57/00 Шлифовальный круг/ В.В. Глебов, В.М. Сорокин, В.П. Пучков, Д.А. Игнатьев / RU/ 2005113399/22 заявл. 03.05.2005 опубл. 10.06.2006. Официальный бюллетень «Изобретения. Полезные модели». № 16.
3. Глебов, В.В. Новая конструкция инструмента, оснащенного двухкаскадным виброгасителем / В.В. Глебов, В.П. Пучков, Д.А. Игнатьев // Прогрессивные технологии в машино- и приборостр. Сб. стат. Всероссийск. науч. техн. конф. -Н.Новгород-Арзамас: НГТУ-Аф НГТУ.-2002. -С.77-81.
4. Глебов, В.В. Математическая модель для расчета конструкции шлифовального инструмента оснащенного виброгасителем / В.В. Глебов, В.П. Пучков, Д.А. Игнатьев // Будущее технической науки нижегор. региона. Тез. докл. регионального молодежного научн. техн. форума -Н Новгород: НГТУ.-2002-С. 202.
5. Глебов, В.В. Уточненная математическая модель для расчета конструкции шлифовального инструмента, оснащенного двухкаскадным виброгасителем / В.В. Глебов, Д.А. Игнатьев // Современные технологии в машиностроении. Сб. материалов Всероссийск. науч. практ. конф ч.1. –Пенза: Приволжск. дом знаний.-2002-С. 168-170.
6. Глебов, В.В. Моделирование процесса шлифования инструментом, оснащенным виброгасителем, с учетом упругих свойств охлаждающей жидкости / В.В. Глебов, В.М. Сорокин, Д.А. Игнатьев // Прогрессивные технологии в машино- и приборо-стр. Сб. стат. Всероссийск. науч. техн. конф. -Н.Новгород-Арзамас: НГТУ - Аф НГТУ.- 2003. -С.176-180.
7. Глебов, В.В. Использование гидродинамического эффекта при шлифовании хрупких неметаллических материалов / В.В. Глебов, В.М. Сорокин, В.П. Пучков, Д.А. Игнатьев // Прогрессивные технологии в машино- и приборо-стр. Сб. стат. Всероссийск. науч. техн. конф.-Н.Новгород-Арзамас: НГТУ - Аф НГТУ.-2004 –С. 179-182.
8. Глебов, В.В. СОЖ как элемент виброгасящей системы при шлифовании / В.В. Глебов, В.М. Сорокин, В.П. Пучков, Д.А. Игнатьев // Обеспечение и повышение качества машин на этапах их жизненного цикла. Сб. материалов 5-ой Международ. науч.–техн. конф.–Брянск: БГТУ.- 2005 –С. 156-157.
9. Глебов, В.В. Использование упругих свойств слоя СОЖ при шлифовании хрупких материалов инструментом, оснащенным двухкаскадным виброгасителем / В.В. Глебов, Д.А. Игнатьев//10 нижегородская сессия молодых ученых. Технические науки. Тезисы докл.-Н.Новгород.-2005-С.96-97.
10. Глебов, В.В. Использование элементов технологической системы при синтезе конструкции адаптивного виброгасителя шлифовального инструмента / В.В. Глебов, В.М. Сорокин, В.П. Пучков, Д.А. Игнатьев // Высокие технологии в машиностроении. Сб. материалов Международ. науч.-техн. конф.-Самара:СГТУ.-2005.-С.17-19.
11. Глебов, В.В. Анализ теории механизма разрушения при шлифовании хрупких неорганических стекол связанным абразивом / В.В. Глебов, В.П. Пучков, Д.А. Игнатьев, В.В. Таланов // Прогрессивные технологии в машино- и приборо-стр. Сб. стат. Всероссийск. науч. техн. конф. -Н.Новгород-Арзамас: НГТУ-Аф НГТУ.-2005 –С. 14-17.
12. Глебов, В.В. Моделирование механической системы шлифовального инструмента, оснащенного виброгасителем / В.В. Глебов, В.М. Сорокин, Г.В. Маслов, Д.А. Игнатьев, М.Е. Егоров // Прогрессивные технологии в машино- и приборо-стр. Сб. стат. Всероссийск. науч. техн. конф. -Н.Новгород-Арзамас: НГТУ-Аф НГТУ.-2005 –С. 29-32.
13. Глебов, В.В. Современные инструменты для шлифования хрупких неметаллических материалов / В.В. Глебов, В.П. Пучков, Д.А. Игнатьев, В.В. Таланов // Прогрессивные технологии в машино- и приборо-стр. Сб. стат. Всероссийск. науч. техн. конф. -Н. Новгород-Арзамас: НГТУ-Аф НГТУ.-2005 –С. 18-22.
14. Глебов, В.В. Виброгасящая система в составе оборудования при торцовом шлифовании / В.В. Глебов, В.М. Сорокин, Д.А. Игнатьев, М.Е. Егоров // Будущее технической науки. Тезисы докл. V Юбилейной Международной молодежной науч.-технич. конфер.- Н. Новгород.- 2006 –С. 74.
15. Глебов, В.В. Шлифовальный инструмент с виброгасителем для обработки и ремонта плоских поверхностей на деталях из хрупких неметаллических материалов/ В.В. Глебов, В.М. Сорокин, Д.А. Игнатьев // Технологии ремонта, восстановления и упрочнения деталей машин, механизмов оборудования, инструмента и технологической оснастки: Матер. 8 международной практической кнферен.-выставки. Часть 1.СПб.: СГПУ.-2006 – С. 356-362
16. Глебов, В.В. Совмещенный способ очистки СОТС, рекуперации и классификации абразивных зерен в процессе шлифования/ В.В. Глебов, В.М. Сорокин, В.П. Пучков, А.Ю.Шурыгин, Д.А. Игнатьев //Процессы абразивной обработки, абразивные инструменты и материалы. Шлифабразив-2005: Сб. статей междунар. Науч.-технич. Конфер. Волжский: Волжский институт строительства и технологий (филиал) ВолгГАСУ. – Волжский, 2005. –С. 195-198
17. Глебов, В.В. Решение о выдаче патента на полезную модель / МПК В24В 5/00(2006.01)I Система шлифования/ В.В. Глебов, В.М. Сорокин, В.П. Пучков, Д.А. Игнатьев /RU/ 2006115970/22(017355) от 26.09.2006 заявл. 10.05.2006.
18. Глебов, В.В. Решение о выдаче патента на полезную модель / МПК В24В 55/03(2006.01)I Шлифовальный круг / В.В. Глебов, В.М. Сорокин, В.П. Пучков, Д.А. Игнатьев /RU/ по заявке № 2006130270/22(032893) от 21.08.2006 заявл. 10.08.2006.
