1. Анализ среды окружения. Рынок угрозы, шансы, риск
| Вид материала | Реферат |
Содержание1. Анализ среды окружения. Рынок – угрозы, шансы, риск; сценарий будущего, кривые жизненных циклов продукции, модель взаимосвязи 2. В чем состоят отличия финансового и денежного рынков |
- Дипломнаяработ а. 2009 г. Содержание, 421.08kb.
- Блок Маркетинговый анализ среды и разработка маркетинговых стратегий, 391.55kb.
- Тема анализ стратегических факторов внешней среды, 279.56kb.
- Конкурентное окружение и прогнозирование его изменений Структурный анализ конкурентного, 870.63kb.
- Анализ конкурентной среды цар для стратегического позиционирования ОАО газпром, 138.56kb.
- Использование мониторинга Интернета в деятельности предприятий на рынке B2B, 308.12kb.
- Бизнесс планирование инновационной фирмы. Совершенствование фирмы организационной структуры, 17.43kb.
- Верещагин В. В, 216.25kb.
- Вопросы к экзамену по курсу «Банковский риск-менеджмент» для студентов 2 курса магистратуры, 27.97kb.
- Курс, 8 семестр Структура и особенности стратегического управления предприятием, действующем, 67.17kb.
Содержание
| Введение | 3 |
| 1. Анализ среды окружения. Рынок – угрозы, шансы, риск; сценарий будущего, кривые жизненных циклов продукции, модель взаимосвязи стратегических факторов успеха | 4 |
| 2. Отличия финансового и денежного рынков | 20 |
| 3. Задача | 22 |
| Заключение | 29 |
| Список использованной литературы | 30 |
Введение
Важнейшим понятием в менеджменте является организация. Любая организация находится и функционирует в среде. Каждое действие всех без исключения организаций возможно только в том случае если, среда допускает его осуществление. Внутренняя среда является источником ее жизненной силы. Она заключает в себе потенциал, необходимый для функционирования организации, но в это, же время может быть источником проблем и даже ее гибели. Внешняя среда является источником, питающим организацию ресурсами. Организация находится в состоянии постоянного обмена с внешней средой, обеспечивая тем самым себе возможность выживания. Естественно, эти моменты должны быть предметом постоянного внимания со стороны менеджера.
Ускорение изменений в окружающей среде, появление новых неожиданных возможностей для бизнеса, открываемых достижениями науки и техники, развитие информационных сетей, делающих возможным молниеносное распространение и получение информации, широкая доступность современных технологий, изменение роли человеческих ресурсов, а также ряд других причин привели к резкому возрастанию значения стратегического управления.
Внешняя среда является источником, питающим организацию ресурсами, необходимыми для поддержания ее внутреннего потенциала на должном уровне. Организация находится в состоянии постоянного обмена с внешней средой, обеспечивая тем самым себе возможность выживания. Но ресурсы внешней среды небезграничны. Поэтому всегда существует возможность того, что организация не может получить нужные ресурсы из внешней среды. Это может ослабить ее потенциал и привести ко многим негативным для организации последствиям. Для того чтобы сделать анализ внешнего окружения нужно исследовать все угрозы, шансы, риски рынка, по возможности составить сценарий будущего.
1. Анализ среды окружения. Рынок – угрозы, шансы, риск; сценарий будущего, кривые жизненных циклов продукции, модель взаимосвязи стратегических факторов успеха
Анализ внешней среды представляет собой процесс, посредством которого разработчики стратегического плана контролируют внешние по отношению к организации факторы, чтобы определить возможности и угрозы для фирмы.
Анализ внешней среды помогает получить важные результаты. Он дает организации время для прогнозирования возможностей, время для составления плана на случай непредвиденных обстоятельств, время для разработки системы раннего предупреждения на случай возможных угроз и время на разработку стратегий, которые могут превратить прежние угрозы в любые выгодные возможности.
С точки зрения оценки этих угроз и возможностей роль анализа внешней среды в процессе стратегического планирования заключается по существу в ответе на три конкретных вопроса:
1. Где сейчас находится организация?
2. Где, по мнению высшего руководства, должна находиться организация в будущем?
3. Что должно сделать руководство, чтобы организация переместилась из того положения, в котором находится сейчас, в то положение, где ее хочет видеть руководство?
Угрозы и возможности, с которыми сталкивается организация, обычно можно выделить в семь областей. Этими областями являются экономика, политика, рынок, технология, конкуренция, международное положение и социальное поведение1.
Экономические факторы. Текущее и прогнозируемое состояние экономики может иметь драматическое влияние на цели организации. Некоторые факторы в экономической окружающей среде должны постоянно диагностироваться и оцениваться. Среди них: темпы инфляции или дефляции, уровни занятости, международный платежный баланс, стабильность доллара США за рубежом и налоговая ставка. Каждый из этих факторов может представлять либо угрозу, либо новую возможность для фирмы. Что для одной организации представляется экономической угрозой, другая воспринимает как возможность.
Политические факторы. Активное участие лидеров бизнеса и предпринимательских фирм в политическом процессе является четким указанием на важность государственной политики для организаций. Точнее говоря, руководство должно следить за нормативными документами местных органов, властей штата и федерального правительства; отношением политиков к антитрестовской деятельности; кредитами федерального правительства и штатов для финансирования долгосрочных вложений, ограничениями по найму рабочей силы и возможностью получения ссуды; а также за соглашениями по тарифам и торговле, направленными против других стран или заключенных с другими странами. Поскольку правительство постоянно и активно принимает участие в деловых вопросах, для организаций было бы разумным внимательно следить за политической деятельностью.
Рыночные факторы. Изменчивая рыночная внешняя среда представляет собой область постоянного беспокойства для организаций. В анализ рыночной внешней среды входят многочисленные факторы, которые могут оказать непосредственное воздействие на успехи или провалы организации. К этим факторам относятся изменяющие демографические условия, жизненные циклы различных изделий или услуг, легкость проникновения на рынок, распределение доходов населения и уровень конкуренции в отрасли.
Технологические факторы. Изменения в технологической внешней среде могут поставить организацию в безнадежное, проигрышное конкурентное положение. Анализ технологической внешней среды может по меньшей мере учитывать изменения в технологии производства, применение ЭВМ в проектировании и предоставлении товаров и услуг или успехи в технологии средств связи. Не все организации подвергаются воздействию быстрого научно-технического прогресса.
Международные факторы. Большинство крупных фирм и тысячи мелких компаний действуют на международном рынке. Руководство сегодня должно постоянно контролировать и оценивать изменения в этой более широкой среде. Угрозы и возможности могут возникнуть в результате легкости доступа к сырьевым материалам, деятельности иностранных картелей (например, ОПЕК), изменений валютного курса и политических решений в странах, выступающих в роли инвестиционных объектов или рынков1.
Общефирменная стратегия или правительственная политика в других странах может подразумевать усилия по защите или расширению компании или отрасли. В свете стратегии, выбранной конкурентами, собственная стратегия фирмы может быть направлена на укрепление внутреннего рынка, поиск правительственной защиты против иностранных конкурентов или на расширение международной активности для противодействия стратегиям других компаний.
Факторы конкуренции. Ни одна организация не может себе позволить игнорировать фактические и возможные реакции своих конкурентов. . В анализе конкурентов присутствуют четыре диагностических элемента: 1) анализ будущих целей конкурентов, 2) оценка текущей стратегии конкурентов, 3) обзор предпосылок в отношении конкурентов и отрасли, в которой функционируют данные компании и 4) углубленное изучение сильных и слабых сторон конкурентов.
Факторы социального поведения. Эти факторы включают меняющиеся ожидания, отношения и нравы общества. К некоторым, важным в настоящее время факторам относятся преобладающие в обществе чувства по отношению к предпринимательству, роль женщин и национальных меньшинств в обществе, изменения социальных установок менеджеров и движение в защиту интересов потребителей. Часто именно социальные факторы создают самые крупные проблемы для организации. Чтобы эффективно реагировать на изменение социальных факторов, корпорация сама должна меняться, осознанно преобразуясь в учреждение, приспособленное к новой окружающей среде.
При помощи анализа внешней среды организация может создать перечень опасностей и возможностей, с которыми она сталкивается в этой среде. Рыночные шансы — это благоприятные обстоятельства, которые предприятие может использовать для получения преимущества. В качестве примера рыночного шанса можно привести ухудшение позиций конкурентов, резкий рост спроса, появление новых технологий производства продукции, рост уровня доходов населения и т.п. Следует отметить, что шансом с точки зрения SWOT-анализа являются не все возможности, которые существуют на рынке, а только те, которые может использовать предприятие.
Рыночные угрозы — события, наступление которых может оказать неблагоприятное воздействие на предприятие. Примеры рыночных угроз: выход на рынок новых конкурентов, рост налогов, изменение вкусов покупателей, снижение рождаемости и т.п.
Следует обратить внимание на то, что один и тот же фактор для разных предприятий может быть как угрозой, так и возможностью. Связь организации с определенной проблемой, вопросом, приписывание ей компетентности в какой-либо сфере, может быть для нее хорошим шансом. Вместе с тем, с точки зрения организации оценка ее определенных действий как весьма непопулярных может стать значительной угрозой.
Риск является фактом жизни компании, но высокая степень риска может разрушить компанию1. К риску можно отнести такие примеры, как конкуренты в принципе достаточно легко могут перенять используемые фирмой методы снижения затрат; ориентация на лидерство по издержкам повышает риск неспособности своевременно распознать изменение покупательских предпочтений; непредсказуемый рост цен на сырье может свести на нет все усилия по снижению затрат. К риску можно также отнести и отрыв в цене со стороны лидера по затратам, так как для покупателя финансовые соображения могут быть важнее, чем приверженность какой-то марке.
Сценарии будущего - альтернативные картины будущего, состоящие из согласованных и логически взаимоувязанных предположений и описания путей развития, приводящих к таким картинам будущего. Этот метод в отличие от простых прогнозов позволяет учитывать как количественную, так и качественную информацию.
Обычно предприятие разрабатывает два-три сценария2. Возможна разработка сценариев развития отрасли, рынков, глобальных факторов окружающей среды (политики, экономики, технологии и других), предприятия в целом, его стратегических хозяйственных единиц, функциональных сфер деятельности. Чаще всего, говоря о сценарии, имеют в виду развитие окружающей предприятие внешней среды и прежде всего рынков.
Человеку изначально присуще желание предвидеть будущее и представить его в форме картины.
Определение «сценарий» заимствовано из театрального языка. Как на театральной сцене присутствуют декорации, в рамках и на фоне которых развертываются театральные действия, так и при планировании должны быть определены сценарии, ограничивающие условия, для которых могут проигрываться различные стратегии.
Другими словами: сценарии из настоящей ситуации должны развить картины будущего.
Как правило, сценарии представляют собой качественное описание, хотя и детализированное, содержащее отдельные количественные оценки. Этим они отличаются от обычных прогнозов, в большинстве которых упор делается на количественные показатели.
Большой вклад в разработку техники сценариев внес известный специалист в области менеджмента Арнольд Вайсман. В 1995 году издательство "Экономика" (Москва) издало на русском языке в одном томе две его популярные работы: "Стратегия маркетинга: 10 шагов к успеху" и "Стратегия менеджмента: 5 факторов успеха", в которых техника сценариев освещена достаточно подробно.
По мнению А. Вайсмана, разработанная им обобщенная модель изображения сценариев может помочь представить идею и функциональность сценариев (рис.1).


Рис. 1. Обобщенная модель для изображения сценариев
Согласно модели Вайсмана, которая имеет вид открытой воронки:
- если развитие идет по тенденции (штриховая линия), тогда на основе воздействующих факторов и их развития достигается определенная картина будущего (сценарий А, сценарий тренда);
- если же учитываются противодействующие факторы, то соответственно результаты противодействия влияют на ожидаемое развитие и может возникнуть совершенно новая картина будущего.
Таким образом, техника сценариев дает возможность своевременно реагировать на изменения тенденций и принимать соответствующие меры. Целью техники сценариев является демонстрация множества альтернативных картин будущего и широкий диапазон вариантов развития.
Воронка ограничена двумя экстремальными сценариями. А. Вайсман утверждает, что можно развивать оба эти сценария и одновременно с этим показывать возможности двух противоположных альтернативных путей развития.
Сценарии развития разрабатываются для:
- отраслей;
- организации в целом и их стратегических хозяйственных подразделений;
- функциональных зон деятельности;
- важнейших факторов окружающей среды;
- рынков.
Этот метод весьма полезен при:
- выборе миссии и целей организации;
- определении стратегии развития;
- прогнозировании на длительный период (10-20 лет), когда теряют свое значение многие сегодняшние достижения организации и возрастает спектр новых возможностей.
Алгоритм разработки сценариев включает 8 этапов1.
1-й этап. Установление предмета исследования и его структурирование:
- установление предмета исследования (например,производство плавающих буровых платформ на Севмаше);
- получение необходимой дополнительной информации;
- определение показателей (индикаторов), посредством которых можно охарактеризовать предмет исследования;
- анализ фактического состояния предмета (поля) исследования.
2-й этап. Определение существенных факторов, влияющих на предмет исследования, их структурирование:
- отбор факторов и альтернатив (методами экспертизы, "мозговой атаки" и т.д.);
- определение направления и силы воздействия факторов (позитивное и негативное влияние);
- определение структуры влияющих факторов на предмет исследования;
- графическое представление взаимосвязей.
3-й этап. Определение тенденций развития:
- прогноз фактического состояния предмета исследования (выполняется на основе методов экспертизы, прогнозов динамики отдельных факторов, экономических, научно-технических и др.);
- выявление факторов с явной и неявной тенденцией развития;
- определение и обоснование альтернатив развития для областей с неявным развитием.
4-й этап. Разработка и выбор альтернативных сценариев будущего:
- разработка альтернативных сценариев и их проверка на комплексность, логику и непротиворечивость;
- отбор двух - трех вариантов по выбранному критерию;
- проверка отобранных вариантов на разнообразие, устойчивость и высокую степень вероятности.
5-й этап. Интерпретация выбранных сценариев развития:
- прогноз развития выбранных сценариев (разработка множества альтернатив для различных временных горизонтов - до 2005 г.; 2015 г. и т.д.);
- разработка детальной расширенной редакции отобранных сценариев.
6-й этап. Учет возможных противодействующих событий:
- определение результатов противодействия событий, которые могут оказать влияние на ход прогнозирования (например, новая технология, смена правительства и т.д.);
- анализ воздействий относительно их влияния на прогнозируемое развитие;
- создание новой картины будущего с учетом противодействующих событий.
7-й этап. Разработка окончательного варианта сценария и снижения степени риска возможных потерь:
- формулирование "сценария будущего" с учетом всех вновь открывающихся факторов и событий;
- оценка влияния отклонений от основной идеи сценария;
- оценка возможных отклонений от первоначального образа организации.
8-й этап. Перенос сценария на практическую основу:
- формулирование стратегии развития организации;
- разработка системы планов развития организации (стратегический план, планы развития, текущие планы, программы и проекты).
Возможна разработка двух типов сценариев:
- первый содержит описание последовательности шагов, ведущих к прогнозируемому состоянию (образу) организации, а также факторов и событий, оказывающих решающее влияние на этот процесс;
- второй содержит описание возможных последствий для организации, если она достигает прогнозируемого желаемого образа.
Существует несколько подходов к разработке сценариев, но все они предполагают три общих положения:
- Исходным пунктом разработки «сценариев будущего» всегда должна быть точная оценка настоящей стратегической ситуации организации. Такая оценка ведет к пониманию динамики действующих факторов: значение каких факторов падает и каких возрастает по всему временному горизонту.
- Для воздействующих факторов с неопределенными тенденциями развития должны быть выполнены специальные прогнозы и сделаны рациональные предложения экспертов.
- Должно быть разработано множество альтернативных «сценариев будущего», представляющих собой определенную логическую картину (рис. 2).
При этом должно соблюдаться обязательное условие – альтернативные сценарии не должны содержать противоречий, то есть взаимоисключающих шагов и событий.
До последнего времени методологию «сценариев будущего» использовали исключительно крупные организации. В настоящее время сценариям уделяется все больше внимания, их начинают использовать в планировании деятельности средние компании.
Преимущество техники сценариев состоит в том, что возникает необходимость думать об альтернативах, своевременно определять изменения в тенденции и планировать реакцию. Однако необходимо принимать во внимание высокие финансовые затраты этого метода.

Рис. 2 Практическое применение техники сценариев в рамках процесса стратегического планирования
Кривая жизненного цикла - полученная эмпирическим путем или прогнозируемая зависимость между объемом сбыта производимого предприятием товара (в натуральных и денежных единицах) и длительностью и характером протекания жизненного цикла данного товара на данном рынке. На объем сбыта оказывает влияние не только общая продолжительность жизненного цикла товара на рынке, но и структура жизненного цикла, длительность его отдельных фаз: внедрения, роста, насыщения, стагнации, спада. Сам же жизненный цикл товара на данном рынке зависит от взаимосвязи и динамики изменения различных факторов окружающей среды: экономической конъюнктуры, технического прогресса, моды и других.
Знание кривой жизненного цикла товара в целом по отрасли и на различных рынках позволяет предприятию вырабатывать и принимать обоснованные стратегические решения в области производственной программы, целей и стратегий выбора рынков и сбыта продукции.
При разработке и принятии стратегических и программно-тактических решений по каждой номенклатурной позиции продукта организации необходимо учитывать оценку пройденного пути и прогноз будущей динамики жизненного цикла рынка соответствующего конкретного продукта.
Общепризнанная модель такого цикла представлен на рис. 3

Рис. 3 Модель типичного жизненного цикла продукта
Нельзя пропустить период, когда конкретный продукт из стадии “Зрелость” независимо от каких-либо усилий или рыночных действий данной организации переходит в стадию “Упадок”. На рис. 4 такой период в жизни продукта находится между точками d и e, а траектория прибыли от продукта – между двумя точками D и E.
Кривая бум (рис. 4) описывает очень популярный продукт со стабильным сбытом на протяжении долгого времени. Примером такого товара может быть напиток "Пепси"1. В случае с такой кривой жизненного цикла товара фирма производит товар и получает прибыль длительное время.

Рис.4. Кривая Бум
Кривая увлечения (рис. 5). Она описывает товар с быстрым взлетом и падением сбыта. Часто такую кривую имеет модный, популярный товар. В качестве примера такого товара можно привести некогда модные очки-лисички, которые сейчас нельзя даже встретить в продаже.

Рис.5. Кривая Увлечения
Кривая продолжительного увлечения (рис. 6). Описывает также популярный товар, однако этот товар по-прежнему предпочитает часть потребителей.

Рис.6. Кривая продолжительного увлечения
Кривая сезонности (рис. 7). Кривая такого товара, который хорошо продается в течение определенных периодов времени. Таким товаром может быть: зимняя или летняя одежда, новогодние сувениры и многое другое.

Рис.7. Кривая сезонности
Кривая нового старта или ностальгии (рис. 8). Спрос на этот товар падает, но через некоторое время возобновляется. Примером может быть возвращение к женским туфлям на платформе, которые были популярны в 70-х годах.

Рис.8 Кривая нового старта
Кривая провала (рис. 9). Характеризует товар, который почти сразу перестает пользоваться спросом у покупателей.

Рис. 9. Кривая провала
Кривая новых подъемов (рис. 10). Такую кривую имеют товары, сбыт которых перестает расти, но после небольшого усовершенствования и появления дополнительных полезных свойств компании удается снова увеличить сбыт. Таким товаром являются жевательные резинки ("Орбит", "Дирол"), которые сначала "становятся средством для ухода за зубами", а потом каждый раз делают это все лучше и лучше за счет использования новых компонентов (ксилит) или отказа от применения старых (сахар).

Рис.10. Кривая новых подъемов
Модель взаимосвязи стратегических факторов успеха. Эта модель, разработанная американским институтом стратегического планирования на основе проводимых в течение длительного периода времени эмпирических исследований успешности стратегий большого числа стратегических хозяйственных единиц различных отраслей, позволила выявить ключевые факторы, оказывающие решающее воздействие на показатель рентабельности инвестированного капитала, и тем самым дать предприятиям возможность разрабатывать с учетом знания влияния этих факторов эффективные стратегии.
В целом на показатель рентабельности инвестированного капитала наибольшее воздействие оказывают два фактора: рост рынка и относительная доля рынка, занимаемая данным продуктом предприятия. Кроме того, на рентабельность наряду с указанными выше факторами, а также в комбинации с ними наибольшее влияние оказывают:
• качество продукции (разность между долями оборота продукции, однозначно превосходящей продукцию всех конкурентов, и аналогичной или худшей, чем продукция конкурентов;
• вертикальная интеграция (отношение чистой продукции, вновь созданной стоимости к обороту);
• производительность (оборот на одного занятого);
• относительная доля затрат на исследования и разработки в общем обороте продукции;
• капиталоемкость продукции,
• частота заказов на производство и поставку продукции;
• величина предприятия (определяемая объемом сбыта в абсолютном выражении). Первые два показателя оказывают влияние на изменение рентабельности в комбинации с фактором роста рынка, остальные - в сочетании с фактором доли рынка1.
При разработке стратегических планов предприятие, зная примерный уровень рентабельности капитала при том или ином сочетании и значениях определяющих факторов, может выбирать наиболее эффективные стратегии инвестирования и поведения на рынке.
2. В чем состоят отличия финансового и денежного рынков
Финансовый рынок — чрезвычайно сложная система, в которой деньги и другие финансовые активы его участников обращаются самостоятельно, независимо от обращения реальных товаров. Этот рынок оперирует многообразными финансовыми инструментами, обслуживается специфическими финансовыми институтами, располагает разветвленной и разнообразной инфраструктурой.
В литературе финансовый рынок — это рынок, где объектом купли-продажи выступают разнообразные финансовые инструменты и финансовые услуги и состоящей из следующих важных сегментов-рынков: валютного, ценных бумаг, фьючерсного и опционов.
Финансовый рынок:
- мобилизует временно свободный капитал из многообразных источников;
- эффективно распределяет аккумулированный свободный капитал между многочисленными конечными его потребителями;
- определяет наиболее эффективные направления использования капитала в инвестиционной сфере;
- формирует рыночные цены на отдельные финансовые инструменты и услуги, объективно отражающие складывающееся соотношение между предложением и спросом;
- осуществляет квалифицированное посредничество между продавцом и покупателем финансовых инструментов;
- формирует условия для минимизации финансового и коммерческого риска;
- ускоряет оборот капитала, т.е. способствует активизации экономических процессов1.
Денежный рынок — рынок кредитов и заимствований денег, служащий для удовлетворения межбанковских нужд в размещении и привлечении денежных средств. Является основой финансовых рынков. В денежном рынке участвуют банки, брокерские и дилерские фирмы, другие финансово-кредитные учреждения.
Денежный рынок использует для своих операций кредитные орудия обращения:
- казначейские и коммерческие векселя,
- чеки,
- аккредитивы,
- депозитные сертификаты,
- банковские акцепты и прочие средства расчетов.
С их помощью осуществляется выдача краткосрочных кредитов или размещение временно свободных денежных средств в банковской системе, при этом в короткие сроки совершаются крупные денежные операции.
Задача
Имеются данные, характеризующие колебания спроса в зависимости
от трех факторов:
У - {23,4; 25,6; 19,8; 23,1; 27,4; 27,6}
(спроса)
Х1 {18,1; 19,4; 27,9; 24,8; 19,9; 20,6}
(емкость рынка)
Х2 {90,8; 91,4; 84,7; 89,9; 89,8; 90,4}
(цена ед. прод.)
Х3- {94,3; 94,6; 94,8; 95,8; 95,9; 94,9}
(качество прод.)
Требуется предсказать, как изменится спрос в будущем.
Решение:
1) Определим параметры а, b1, b2, b3 в линейной модели вида:
. Для этого применяем метод наименьших квадратов:

Составим таблицу расчетов (таблица 1) и получаем следующую систему уравнений:

Таблица 1. Расчеты для МНК
| t | у | х1 | х2 | х3 | х12 | х22 | х32 | х1*х2 | х1*х3 | х2*х3 | у*х1 | у*х2 | у*х3 |
| 1 | 23,4 | 18,1 | 90,8 | 94,3 | 327,61 | 8244,64 | 8892,49 | 1643,48 | 1706,83 | 8562,44 | 423,54 | 2124,72 | 2206,62 |
| 2 | 25,6 | 19,4 | 91,4 | 94,6 | 376,36 | 8353,96 | 8949,16 | 1773,16 | 1835,24 | 8646,44 | 496,64 | 2339,84 | 2421,76 |
| 3 | 19,8 | 27,9 | 84,7 | 94,8 | 778,41 | 7174,09 | 8987,04 | 2363,13 | 2644,92 | 8029,56 | 552,42 | 1677,06 | 1877,04 |
| 4 | 23,1 | 24,8 | 89,9 | 95,8 | 615,04 | 8082,01 | 9177,64 | 2229,52 | 2375,84 | 8612,42 | 572,88 | 2076,69 | 2212,98 |
| 5 | 27,4 | 19,9 | 89,8 | 95,9 | 396,01 | 8064,04 | 9196,81 | 1787,02 | 1908,41 | 8611,82 | 545,26 | 2460,52 | 2627,66 |
| 6 | 27,6 | 20,6 | 90,4 | 94,9 | 424,36 | 8172,16 | 9006,01 | 1862,24 | 1954,94 | 8578,96 | 568,56 | 2495,04 | 2619,24 |
| Сумма | 146,90 | 130,70 | 537,00 | 570,30 | 2917,79 | 48090,90 | 54209,15 | 11658,55 | 12426,18 | 51041,64 | 3159,30 | 13173,87 | 13965,30 |
Таблица 2. Расчеты к коэффициентам парной корреляции
| t | у | х1 | х2 | х3 | у-уср | х1-х1ср | х2-х2ср | х3-х3ср | (у-уср)2 | (х1-х1ср)2 | (х2-х2ср)2 | (х3-х3ср)2 | (у-уср)(х1-х1ср) | (у-уср)(х2-х2ср) | (у-уср)(х3-х3ср) |
| 1 | 23,4 | 18,1 | 90,8 | 94,3 | -1,0833 | -3,6833 | 1,3000 | -0,7500 | 1,1736 | 13,5669 | 1,6900 | 0,5625 | 3,9903 | -1,4083 | 0,8125 |
| 2 | 25,6 | 19,4 | 91,4 | 94,6 | 1,1167 | -2,3833 | 1,9000 | -0,4500 | 1,2469 | 5,6803 | 3,6100 | 0,2025 | -2,6614 | 2,1217 | -0,5025 |
| 3 | 19,8 | 27,9 | 84,7 | 94,8 | -4,6833 | 6,1167 | -4,8000 | -0,2500 | 21,9336 | 37,4136 | 23,0400 | 0,0625 | -28,6464 | 22,4800 | 1,1708 |
| 4 | 23,1 | 24,8 | 89,9 | 95,8 | -1,3833 | 3,0167 | 0,4000 | 0,7500 | 1,9136 | 9,1003 | 0,1600 | 0,5625 | -4,1731 | -0,5533 | -1,0375 |
| 5 | 27,4 | 19,9 | 89,8 | 95,9 | 2,9167 | -1,8833 | 0,3000 | 0,8500 | 8,5069 | 3,5469 | 0,0900 | 0,7225 | -5,4931 | 0,8750 | 2,4792 |
| 6 | 27,6 | 20,6 | 90,4 | 94,9 | 3,1167 | -1,1833 | 0,9000 | -0,1500 | 9,7136 | 1,4003 | 0,8100 | 0,0225 | -3,6881 | 2,8050 | -0,4675 |
| Сумма | | | | | | | | | 44,4883 | 70,7083 | 29,4000 | 2,1350 | -40,6717 | 26,3200 | 2,4550 |
Определители:









Получим следующую модель:

При изменении емкости рынка на единицу при неизменных значениях других факторов спрос в среднем снизиться на 0,62 единицы; при изменении цены единицы продукции на единицу при неизменных значениях других факторов спрос в среднем вырастет на 0,08 единицы; при изменении качества продукции на единицу при неизменных значениях других факторов спрос в среднем вырастет на 2,07 единицы.
Следовательно, наибольшее влияние на спрос оказывает качество продукции.
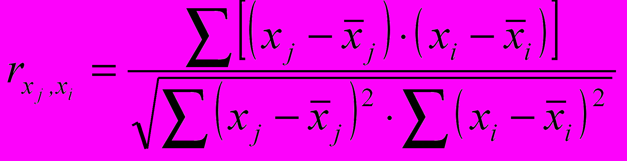
2) Выберем фактор, оказывающий наибольшее влияние на спрос. Для этого рассчитаем коэффициенты парной корреляции по формулам:

Все дополнительные расчеты заносим в таблицу 2.

Так как
, то емкость рынка оказывает сильное влияние на спрос.
Так как
, то цена единицы продукции оказывает сильное влияние на спрос.
Так как
, то качество продукции не оказывает влияния на спрос.Фактор х1 оказываем менее сильное влияние на спрос, чем фактор х2.
3. Определим межфакторную связь, для чего рассчитаем коэффициенты частной корреляции:

Дополнительные расчеты занесем в таблицу 3.
Таблица 3. Расчеты для межфакторной связи
| t | у | х1 | х2 | х3 | (х1-х1ср)(х2-х2ср) | (х1-х1ср)(х3-х3ср) | (х2-х2ср)(х3-х3ср) |
| 1 | 23,4 | 18,1 | 90,8 | 94,3 | -4,7883 | 2,7625 | -0,9750 |
| 2 | 25,6 | 19,4 | 91,4 | 94,6 | -4,5283 | 1,0725 | -0,8550 |
| 3 | 19,8 | 27,9 | 84,7 | 94,8 | -29,3600 | -1,5292 | 1,2000 |
| 4 | 23,1 | 24,8 | 89,9 | 95,8 | 1,2067 | 2,2625 | 0,3000 |
| 5 | 27,4 | 19,9 | 89,8 | 95,9 | -0,5650 | -1,6008 | 0,2550 |
| 6 | 27,6 | 20,6 | 90,4 | 94,9 | -1,0650 | 0,1775 | -0,1350 |
| Сумма | | | | | -39,1000 | 3,1450 | -0,2100 |

Так как
, то емкость рынка оказывает сильное влияние на цену единицы продукции и наоборот.
Так как
, то емкость рынка не оказывает влияния на качество продукции и наоборот.
Так как
, то цена единицы продукции не оказывает влияния на качество продукции и наоборот.4. Определим тесноту совместного влияния факторов на результативный показатель с помощью коэффициента множественной корреляции:




Совместное влияние факторов на результативный показатель очень заметное.
5. Оценим качество модели по коэффициенту детерминации:

Вариация факторов объясняют вариацию спроса на 73,18%, на остальные 26,82% вариация спроса объясняется факторами, не вошедшими в модель.
6. Определим значимость уравнения с использованием F-критерия Фишера.

Табличное значение равно 19,2 (k1 = 3, k2 = 2, α = 0,05). Так как табличное значение больше расчетного, что уравнение не является значимым.
7. Определим значимость включения факторов в модель:



Так как все значения F меньше табличных, то статистически не значимо включение факторов в модель и вообще составление модели, определяющей влияние на спрос емкости рынка, цены единицы изделия и качества продукции.
Заключение
Анализ среды окружения представляет собой процесс. Посредством которого разработчики стратегического плана контролируют внешние по отношению к организации факторы, чтобы определить возможности и угрозы для фирмы. Все факторы внешней среды находятся в состоянии сильного взаимовлияния. Изменение одного из факторов обязательно приводит к тому, что происходит изменение других факторов. Поэтому их изучение и анализ должны вестись не по отдельности, а системно с отслеживанием не только собственно изменения одного фактора, но и с условием того, как они изменения скажутся на других факторах.
Рыночные угрозы – события, наступление которых может оказать неблагоприятное воздействие на предприятие. Рыночный шанс - это благоприятное обстоятельство, которое может использовать предприятие для получения какого-то преимущества. Риск – это факт жизни компании.
Сценарии будущего - альтернативные картины будущего, состоящие из согласованных и логически взаимоувязанных предположений и описания путей развития, приводящих к таким картинам будущего. Этот метод в отличие от простых прогнозов позволяет учитывать как количественную, так и качественную информацию.
Кривая жизненного цикла - полученная эмпирическим путем или прогнозируемая зависимость между объемом сбыта производимого предприятием товара (в натуральных и денежных единицах) и длительностью и характером протекания жизненного цикла данного товара на данном рынке.
Модель взаимосвязи стратегических факторов успеха позволила выявить ключевые факторы, оказывающие решающее воздействие на показатель рентабельности инвестированного капитала, и тем самым дать предприятиям возможность разрабатывать с учетом знания влияния этих факторов эффективные стратегии.
Список использованной литературы
- Баринов В.А., Харченко В.Л. Стратегический менеджмент: учебник. – М.: ИНФРА-М, 2006. - 569 с.
- Виханский О.С. Стратегическое управление.- М.: Гардарики, 2001. - 250 с.
- Дафт Р. Менеджмент: учебник. – СПб.: «Питер», 2002 – 567 с.
- Исаева Е.Д. Стратегический менеджмент. Конспект лекций. Архангельск, 2002 – 90 с.
- Мескон М.Х., Альберт М., Хедоури Д. Основы менеджмента. – М.: Дело, 2002 – 658 с.
- Образовательный курс финансового управляющего.//Финансовый менеджмент. - №1. - 2001. – С.15.
- Парахина В.Н. Стратегический менеджмент: учебник. 3-е изд., стер. – М.: КНОРУС, 2007 – 178 с.
- Томпсон А.А., Стрикленд А. Дж. Стратегический менеджмент. - М.: 1998. – 576 с.
- ссылка скрыта
1 Мескон М.Х., Альберт М., Хедоури Д. Основы менеджмента. – М.: Дело, 2002. – С.113.
1 Дафт Р. Менеджмент: учебник. – СПб.: «Питер», 2002. – С.156.
1 Баринов В.А., Харченко В.Л. Стратегический менеджмент: учебник. – М.: ИНФРА-М, 2006. – С.237.
2 Виханский О.С. Стратегическое управление.– М.:Гардарика, 2001. – С.20.
1 Томпсон А.А.,. Стрикленд А.Дж. Стратегический менеджмент. – М.: ЮНИТИ, 1998. – С.245.
1 siness.ru/?article=39
1 siness.ru/?article=39
1 Образовательный курс финансового управляющего.// Финансовый менеджмент. - №1. 2001 – С.15
