Улучшение эксплуатационных характеристик прицепных автотранспортных средств на основе эффективных научно-технических решений 05. 22. 10 Эксплуатация автомобильного транспорта
| Вид материала | Автореферат |
- 190600. 68 Эксплуатация транспортно-технологических машин и комплексов (магистерская, 23.67kb.
- Определить сущность планирование производства автотранспортных и сервисных предприятий., 27.92kb.
- Ереподготовку (повышение квалификации) водителей автотранспортных средств для отраслей, 149.03kb.
- Программа дисциплины по кафедре «Эксплуатация автомобильного транспорта» служба безопасности, 156.68kb.
- Программа дисциплины по кафедре «Эксплуатация автомобильного транспорта» транспортное, 322.41kb.
- Программа дисциплины по кафедре «Эксплуатация автомобильного транспорта» экономика, 257.32kb.
- Об организации работ по выдаче владельцам автотранспортных средств, осуществляющих, 49.88kb.
- Руководство по организации эксплуатации газобаллонных автомобилей, работающих, 1730.06kb.
- Методические указания по выполнению курсового проекта по дисциплине «Проектирование, 869.62kb.
- Улучшение эксплуатационных характеристик автотракторных двигателей применением ремонтно-восстановительных, 346.54kb.
На правах рукописи
СЛИВИНСКИЙ ЕВГЕНИЙ ВАСИЛЬЕВИЧ
Улучшение эксплуатационных характеристик
прицепных автотранспортных средств на основе
эффективных научно-технических решений
05.22.10 – Эксплуатация автомобильного транспорта
Автореферат
диссертации на соискание учёной степени
доктора технических наук
Орел - 2010 г
Работа выполнена в государственном образовательном учреждении высшего профессионального образования «Елецкий государственный университет им. И.А. Бунина» и государственном образовательном учреждении высшего профессионального образования «Липецкий государственный технический университет»
Научный консультант: Заслуженный деятель науки РФ,
доктор технических наук, профессор
Корчагин Виктор Алексеевич
Официальные оппоненты: доктор технических наук, профессор
Баженов Светослав Петрович
доктор технических наук, профессор
Болдин Адольф Петрович
доктор технических наук, профессор
Волков Владимир Сергеевич
Ведущая организация: государственное образовательное учреждение высшего профессионального образования «Московский государственный индустриальный университет».
Защита диссертации состоится 22 октября 2010г. в 10 часов 00 минут на заседании диссертационного совета ДМ.212.182.07 при государственном образовательном учреждении высшего профессионального образования «Орловский государственный технический университет» по адресу: 302030, г. Орел, ул. Московская, д. 77, ауд. 426.
Отзывы на автореферат направлять в диссертационный совет по адресу: 302020, г. Орел, ул. Наугорское шоссе, д. 29.
С диссертацией можно ознакомиться в научной библиотеке Орловского государственного технического университета.
Автореферат разослан и опубликован на сайте ВАК РФ
«___» 2010г.
Ученый секретарь
диссертационного совета Севостьянов А.Л.
ОБЩАЯ ХАРАКТЕРИСТИКА РАБОТЫ
Актуальность исследования. Эффективным способом повышения производительности автомобильных перевозок является применение прицепных автотранспортных средств (ПАТС), состоящих из тягачей с прицепами и полуприцепами различных типов и назначения. Совершенствование автопоездов связано с необходимостью увеличения скоростей движения и объема перевозимых грузов, обеспечением эксплуатационной надёжности и повышением сохранности грузов. Уровень технико-экономических показателей транспортных средств непрерывно возрастает, что во многом определяет потребность наличия их конкурентных преимуществ. При неустановившихся режимах движения ПАТС, вследствие изменения тяговых, тормозных и возмущающих сил от неровностей дорог возникают перемещения прицепных звеньев относительно друг друга в горизонтальной и вертикальной плоскостях их движения. Такие перемещения существенно сказываются на управляемости автопоездов, а также на прочности и надёжности их узлов и деталей. Характер колебаний звеньев автотракторных поездов сходен с колебаниями рельсового подвижного состава, и поэтому подходы изучения таких процессов и методик в целом одинаковы. В то же время известно, что все динамические нагрузки в движении автотракторных поездов воспринимаются не только опорно-сцепными их устройствами, но и подвесками рессорных комплектов, а, следовательно, и их рамными конструкциями и кузовами.
В процессе многолетнего опыта проектирования и эксплуатации тягачей и прицепов их рамы приняли определённые компоновочные формы но, не- смотря на это, они не отвечают всё возрастающим требованиям надёжности и снижения их металлоёмкости. Особые требования предъявляют к конструкции рессорного подвешивания и гасителям колебаний, устанавливаемых в ней.
Учитывая вышеизложенное, видно, что существующие конструкции автотракторных поездов ещё далеки до совершенства, методы расчета их конструктивных параметров не всегда позволяют установить их сложное напряжённое состояние и дать реальную оценку при выборе соответствующих конструкционных материалов и оптимальных геометрических характеристик узлов, деталей, а также несущих конструктивных элементов. Поэтому актуальность представленной работы заключается в разработке новых, неизвестных мировой практике создания и модернизации более совершенных конструкций автотракторных поездов, обладающих повышенной производительностью, необходимой плавностью хода, повышенной надёжностью, сравнительно невысокой металлоёмкостью, с использованием более простых и эффективных опорно-сцепных устройств, несущих систем шасси и конструкций самосвальных и стационарных кузовов, модернизации рессорного подвешивания за счёт использования торсионных рессор, простых по устройству гидравлических демпферов и т.д. Актуальность темы подтверждается выполнением с участием автора проблемных НИОКР с Ташкентским тракторным заводом, результатом которых является организация серийного производства тракторных самосвальных прицепов 2ПТС-4-793А и автомобильных полуприцепов модели ТМЗ-879М. Все разработки, созданные в процессе выполнения указанных исследований, защищены 295 патентами на изобретения. Ряд разработок, созданных на уровне изобретений, таких как «Кузов самосвального транспортного средства» А.С.СССР №715368 внедрён Казахстанским грузовым управлением Каз. ССР в 1982 г. и на Ташкентском тракторном заводе в 1985 г.; «Прибор для испытания автотракторных поездов» А.С.СССР, №511529 и №245725, и «Устройство для ускоренных испытаний автотракторных прицепов» №1204988 внедрены на Ташкентском тракторном заводе в 1979 г. и в 1983 г.
Цель и задачи работы. Цель-повышение эксплуатационных характеристик прицепных автотранспортных средств на базе созданных научных основ по оценке работоспособности и эксплуатационной надёжности новых и модернизированных в эксплуатации конструкционных элементов автотракторных прицепных средств. Для достижения цели поставлены и решены следующие взаимосвязанные задачи:
• проведение сравнительного анализа существующих конструкций прицепных автотранспортных средств и обоснование необходимости использования перспективных технических решений, разработанных на уровне изобретений, обеспечивающих повышение эффективности использования автомобильного транспорта;
• проведение аналитических исследований с разработкой расчётных схем и обобщённых математических моделей, а также создание комплексов программ к ним, позволяющих с использованием ЭВМ производить численные расчёты рациональных кинематических и геометрических параметров конструкционных элементов автотракторного подвижного состава;
• выполнение комплекса теоретико-экспериментальных исследований по моделированию переходных процессов, характеризующих нестационарные режимы напряжённого состояния несущих систем и ходовых частей прицепов и полуприцепов в зависимости от характера их движения и условий эксплуатации;
• разработка практических рекомендаций по модернизации ряда узлов несущих систем и деталей кузовов, обладающих меньшей металлоёмкостью, повышенной эксплуатационной надёжностью и безопасностью движения автотранспортных средств;
• обобщение и дополнение конструкторско-технологических и эксплуатационных принципов обеспечения работоспособности и эксплуатационной надёжности деталей и узлов перспективных конструкций в условиях широкого варьирования амплитудно-частотного спектра воспринимаемых колебаний от динамического воздействия со стороны различного типа дорог и бездорожья на ходовые части звеньев автотракторных поездов.
Объект исследования – прицепные автотранспортные средства и процессы улучшения их эксплуатационных характеристик на основе новых эффективных научно-технических решений.
Теоретико - методологическоие основы исследования. Диссертационное исследование проведено путём формирования новых положений и научной аргументации предложений на основе многочисленных трудов отечественных и зарубежных учёных в области улучшения эксплуатационных характеристик автоприцепных средств. При выполнении работы использован метод системного анализа, математического моделирования и взаимного влияния кинематических и геометрических характеристик предложенных конструкций автотракторного подвижного состава, а также численные методы, в том числе, аппарат дифференциальных и алгебраических уравнений с применением традиционных способов их решения на базе разработанных алгоритмов и компьютерных программ.
Научная новизна диссертационной работы заключается в разработке, теоретическом обосновании, экспериментальной апробации и практической реализации комплекса принципиально новых технических решений, обеспечивающих повышение качеств, эксплуатационной надежности и управляемости прицепных транспортных средств, включающих устройства гашения колебаний, балансировки колес, систем торможения, несущих конструкций, гидравлического оборудования и опорно-сцепных устройств, отличающихся на теоретическом уровне возможностью учета в расчетных моделях динамики движения много массовых систем, влияния геометрических отклонений, упругости элементов и нестационарного силового нагружения, вызванного пространственными колебаниями прицепных автотранспортных средств.
Научные положения, выносимые на защиту:
1.Научно-методические и численно реализованные математические модели динамики движения ПАТС, представленные в виде системы нелинейных дифференциальных уравнений многомассовых систем автомобильных прицепов и полуприцепов, отличающиеся возможностью учета наличия зазоров, микро - и макроотклонений геометрии поверхностей опорно-сцепных устройств, инерционных и упругих свойств элементов конструкции, позволяющие определить параметры колебания и условия устойчивости движения ПАТС в эксплуатационных условиях.
2. Теретико-методологические положения, на основе которых разработаны принципиально новые эффективные технические решения систем торможения, амортизаторов, опорно-сцепных устройств, а так же инструментальных средств их проектирования, позволяющие обеспечить рациональные динамические характеристики и устойчивость движения ПАТС с учетом влияния геометрических, кинематических и силовых факторов, инерционных и упругих свойств элементов конструкций в реальных условиях эксплуатации транспортных средств.
3. Теоретическое обоснование предложенной совокупности инновационных технических решений, математических моделей и методик расчета опорно-сцепных устройств ПАТС обеспечивают повышение динамических качеств, устойчивости, безопасности движения и эксплуатационной надёжности.
4. Теория и новые методы осуществления автоматической балансировки колес безрельсовых транспортных средств за счёт использования подвижных тел качения исключают дисбаланс колёс вне зависимости от его возникновения и положения в эксплуатационных условиях относительно оси вращения ступицы колеса
5. Выявленные на основании теоретических и экспериментальных исследований закономерности влияния геометрических, кинематических силовых параметров и факторов состояния дорожного покрытия на колебания, устойчивость и безопасной эксплуатации ПАТС позволяют предложить рекомендации по совершенствованию устройств по стабилизации движения транспортных средств.
Практическая значимость результатов работы.
1. Дана оценка известных мировой практике несущих систем безрельсовых транспортных средств, а также обоснование конструктивных особенностей предложенных технических решений, способных повысить эффективность исследуемого автотракторного подвижного состава в условиях эксплуатации, что позволит выполнить:
- качественное ознакомление с результатами систематизации известных технических решений в области повышения плавности хода безрельсовых транспортных средств, примерами их конструктивного исполнения и рационального выбора конструктивных схем разработанных узлов, способствующих упрощению конструкции прицепных звеньев автотракторных поездов, снижению финансовых и временных затрат на их проектирование, доводку по установлению рациональных кинематических и геометрических параметров применительно к реальным условиям эксплуатации транспортных средств;
- устранение конструкционных недостатков существующего парка автотракторных прицепов и полуприцепов и различного рода вспомогательных устройств к ним, препятствующих ограничению амплитуд основных видов вынужденных колебаний, вызывающих перемещения как их кузовов, так и прицепных звеньев в целом, и силовое нагружение несущих систем за счёт использования предложений на уровне изобретений, повышающих безопасность и плавность хода с более низким порогом динамического нагружения не только рам несущих кузова, но и других узлов и деталей составных элементов конструкций.
2. Систематизированы в единый комплекс:
- методика оценки эксплуатационной нагруженности и надёжности узлов и деталей, образующих конструкцию прицепных звеньев автомобильного подвижного состава в целом;
- аналитические соотношения для оценки динамических нагрузок воздействующих на систему «тяговое транспортное средство - прицепное звено», а также их сопоставление с ожидаемыми при варьировании конструктивными характеристиками перспективных технических решений, входящих в конструкции прицепных звеньев;
- научно обоснованные рекомендации по расширению эксплуатационных характеристик по обеспечению работоспособности и безопасности движения при режимах торможения автотракторных поездов, движущихся с более высокими скоростями, исключая резонансные явления в системе «тяговое транспортное средство - прицепное звено»;
- наборы расчётных соотношений, необходимых для оценки кинематических и геометрических параметров предложенных технических решений применительно к известным типам и моделям безрельсовых транспортных средств, входящих в состав автотракторных поездов, имеющих различные габаритные и весовые показатели.
Указанный комплекс научно-технических решений обеспечит несущую и качественную способность перспективных конструкций прицепных звеньев за счёт рационального распределения динамических нагрузок в узлах их конструкционных элементов, решит вопросы устойчивости движения в составе поезда, обеспечит безопасность движения их с высокими скоростями, повысит грузоподъёмность и эффективность грузоперевозок.
Реализация результатов работы.
Основная часть результатов работы внедрена Ташкентским тракторным заводом (ТТЗ) в конструкцию автотракторного самосвального прицепа 2ПТС-4-793А, предназначенного для перевозки различных грузов, и в конструкцию автомобильного полуприцепа модели ТМЗ-879М, поставленных соответственно на серийное производство в 1981 и 1988 г. Экономический эффект от использования указанных машин в производстве и эксплуатации по ценам 1988 г. составил более 20,0 млн. руб. в год. (Внедрение указанных машин подтверждается материалом, представленным в изданной автором монографии, см. раздел «Публикации»).
2. В период 2003-2006 гг. выполнена госбюджетная тема «Динамика прочность и надёжность транспортных машин и машин агропромышленного комплекса, используемых в Чернозёмном регионе РФ», а также комплекс НИР с заводами ОАО «Елецгидроагрегат», «Гидропривод» и рядом автотранспортных предприятий г. Ельца и Липецкой области. Разработаны 75 технических решений на уровне изобретений РФ перспективных конструкций автотракторных поездов и отдельных узлов, математические и программные модели, позволившие обосновать конструктивные характеристики ПАТС с последующей оценкой их экономической эффективности в эксплуатационных условиях.
Апробация работы. Основные результаты работы докладывались, обсуждались и были одобрены на научно-технических и научно-практических конференциях различного уровня: Всесоюзный съезд по теории машин и механизмов, 1977 г., г. Алма-Ата; Всесоюзная научно-техническая конференция «Повышение агротехнических показателей, технического уровня и качества сельскохозяйственных машин для зоны орошаемого земледелия» 1984 г.,
г. Ташкент; Всесоюзный съезд по теоретической и прикладной механике. Ташкент. 1986 г.; 1-ая Международная научно-практическая конференция. «Формирование и реализация стратегии технического и социально-экономического развития предприятий», Пенза 2003 г.; 2-я Всероссийская научно техническая конференция. «Состояние и перспективы развития сервиса», г. Самара. 2006 г.; 3-й международный симпозиум «Ударно-вибрационные системы, машины и технологии», г. Орёл 2006 г.; международная научно-техническая конференция «Актуальные проблемы динамики и прочности материалов и конструкций: модели, методы, решения». Основы проектирования и детали машин – 21 век, Орёл 2007 г.
Достоверность полученных научных результатов обеспечена корректностью постановки задач исследования, обоснованностью используемых теоретических построений, принятых допущений, применением апробированных аналитических и численных методов анализа, а также подтверждена качественным и количественным согласованием полученных результатов с собственными аналитическими и экспериментальными данными, в том числе полученными другими исследователями, и возможным внедрением в практику производственными структурами, занимающимися проектированием, конструированием, эксплуатацией, ремонтом и изготовлением автотракторных тягачей, прицепов и полуприцепов к ним.
Личный вклад автора заключается в разработке концепции и формировании идеи и цели работы, в постановке задач и их решении, в разработке теоретико-методологических и методических положений для элементов научной новизны исследования, новых методик, научно-технических решений, математических моделей и подходов на всех этапах выполнения диссертации. Вкладом автора в развитие науки является разработка на теоретическом уровне с учетом в исследуемых расчетных схемах и математических моделях по изучению колебаний и силового нагружения конструкционных элементов прицепных транспортных средств влияния геометрических отклонений масс, имеющих упругие связи между собой, изучение нестационарного силового нагружения и их колебаний, вызванных пространственными перемещениями прицепных звеньев автотракторных поездов.
Публикации. По теме диссертационной работы опубликовано 4 монографии; 23 статьи в центральных научных рецензируемых изданиях, входящих в «Перечень ВАК»; 245 - в материалах докладов на международных, всероссийских и региональных научно-технических конференциях и опубликованных в сборниках статей; получено 249 авторских свидетельств СССР и патентов РФ на изобретения.
Структура и объём работы. Диссертация состоит из введения, 4 глав, основных результатов и выводов, списка использованных источников из 340 наименований и приложения, содержит 334 страницы машинописного текста, 60 рисунков, таблиц 11.
ОСНОВНОЕ СОДЕРЖАНИЕ РАБОТЫ
Во введении работы дана общая характеристика работы, обоснована её актуальность, научная новизна, практическая ценность, определены основные направления разработок.
В первой главе проанализированы современные методы и средства совершенствования транспортной инфраструктуры, позволяющие сформулировать целый комплекс требований к современным прицепным транспортным средствам, таких как высокая надёжность названных машин, их экономическая эффективность, использование современных конструкционных материалов, современный дизайн и хорошие экологические показатели и т.д. Приведены общие сведения по оценке устойчивости движения автотракторных поездов, основанные на анализе работ по изучению взаимодействия звеньев автотракторных поездов в месте их сцепа. В результате проведённого анализа установлено, что как существующие конструкции указанных машин, так и методы их проектирования не всегда отвечают современным требованиям, а это позволило сформулировать основные направления и задачи исследования.
Во второй главе представлены материалы, связанные с аналитическими и экспериментальными исследованиями колебаний и силового нагружения несущих конструкций двухосного самосвального автотракторного прицепа, предназначенного для перевозки легковесных грузов, а также перспективные технические решения по модернизации его конструкции, повышающие эффективность его в эксплуатационных условиях. Для проведения аналитических исследований колебаний и силового нагружения несущих конструкций автотракторного самосвального прицепа модели 2ПТС-4-793А разработана расчётная схема (рис.1), эквивалентная натурному поезду, состоящему

Рис.1 – Расчётная схема тракторного поезда
из трактора Т-28Х4М и прицепа 2ПТС-4-793А. На модели поезд представлен в виде четырехмассовой системы с приведенными массами mт, mд, mк и mп (моментами инерции I Tφ, I1φ, I2φ, I3φ, ITβ, I1β, I2β, ITγ, I1γ, I2γ, I3γ,) соединенными между собой упругими связями с постоянными коэффициентами линейной Cx1, Cx2, Cx3, Cy1, Cy2, Cy3, Cz1, Cz2, и Cz3 крутильной Kφ1, Kφ2, Kφ3, Kβ1, Kβ2, Kβ3, K1, K2, и K3 жесткостью, характеризующими место сцепа трактора с дышлом прицепа, дышла с подкатной тележкой и подкатной тележки с его рамой.
П
Рис.1
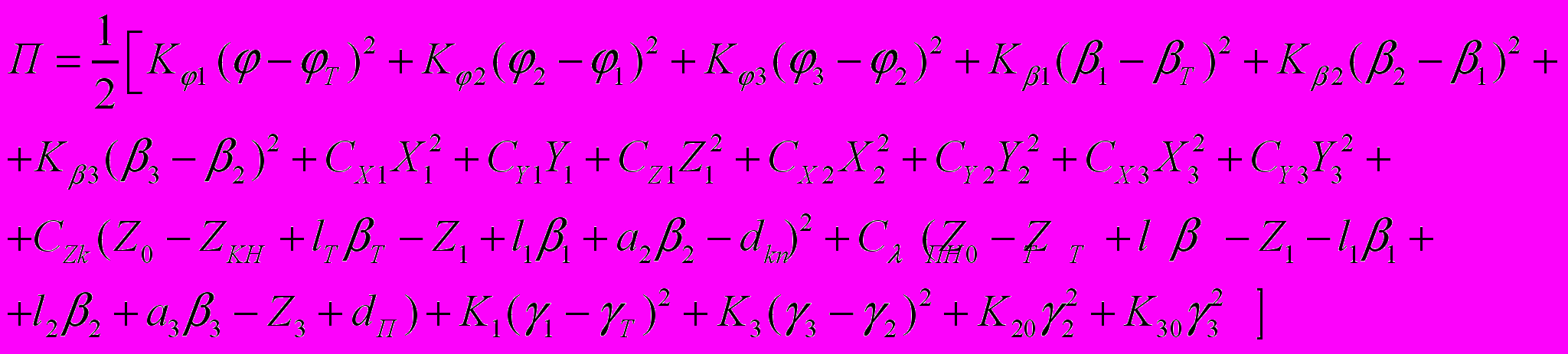
од действием продольных PT, Ppп, Pрл, P2п, P2л, P3п, P3л и поперечных Грп, Грл, Гп, Г2п, Г2л, Г3п, Г3л сил, а также моментов Мт, М1, М2 и М3 массы физической модели совершают пространственные колебания. Относительные деформации масс характеризуются обобщенными координатами φ1, φ2, φ3, Х1, Х2, Х3, Y1, Y2, Y3, Z1, Z2, Z3, β1, β2, β3, γ1, γ2, γ3. Возбуждение колебании осуществляют кинематические координаты φт, Х0, βт, γт, Z0—движения массы трактора и Zкн, Zпн от неровностей микропрофиля дороги под колесами агрегата. Записав абсолютные перемещения расчетной массы подкатной тележки mк и прицепа mп и использовав уравнение Лагранжа второго рода, с учетом сил сопротивления в кинематических парах выведены уравнения энергий

кинетической —
(1)потенциальной —
(2)и работы внешних сил на виртуальных перемещениях

(3)


(5)
(4)
где, ||Аij||и ||Вij|| — матрицы постоянных коэффициентов.
Решение системы дифференциальных уравнений (4), описывающих продольные, продольно-угловые и поперечно-угловые колебания масс тракторного поезда, ищем в форме:
φi (t) = φai cos ωt , βi(t)=βai cos ωt
Xi (t) = Xai cos ωt , Zi(t)=Zai cos ωt
Yi (t) = Yai cos ωt , γi(t)=γai cos ωt
После подстановки решений в систему дифференциальных уравнений (4) получена система линейных алгебраических уравнений (5).
Зная геометрические и жесткостные параметры расчётной схемы (рис.1) и задаваясь частотой вынужденных колебаний системы в пределах от 0 до 50 рад/с, а также амплитудами кинематических координат, на ЭВМ с использованием прикладных программ, вычислены значения динамических составляющих усилий и моментов, действующих на приведенные массы расчётной схемы.
В результате построены амплитудные частотные графики, иллюстрирующие вынужденные колебания расчетных масс и резонансные области исследуемой математической модели. На рис.2 и рис.3 показаны наиболее характерные перемещения масс тракторного поезда в месте его сцепа соответственно без демпфера и с демпфером, характеризующие поперечно-угловые колебания в горизонтальной плоскости (φ1), поперечные колебания в горизонтальной плоскости (Х1), продольные колебания (Y1), продольно-угловые колебания в вертикальной плоскости (β1), колебания в вертикальной плоскости (Z1) и поперечно-угловые в вертикальной плоскости. Результаты проведенных расчетов показали, что, например, амплитуда колебаний виляния прицепа снабжённого серийным дышлом составляет порядка 300мм, тогда как при использовании демпфера в нём выполненного по SU500086 и SU521152 составила 95мм, что соответствует требованиям ГОСТ. Одновременно проведены исследования, связанные с влиянием массы легковесного груза, находящегося в кузове прицепа, на прочность его элементной базы в статике и динамике.

Рис.2 – Серийный сцеп

Рис.3 – Экспериментальный сцеп
Для проведения аналитических исследований силового нагружения кузова такого прицепа разработана расчётная схема (рис.4), эквивалентная автотракторному прицепу 2ПТС-4-793А. На расчётной схеме прицеп представлен в виде четырехмассовой системы с приведенными массами mт (подкатная тележка с колесами), mк рама прицеп
Рис. 4
и его кузов), mп (собственная масса груза в кузове) и соответственно моментами инерции Jт, Jk и Jп, соединенными между собой упругими связями с постоянными значениями коэффициентов линейной Ст, С3 и крутильной Kк и Кп жесткостей от соединений массы прицепа с его платформой, платформы с надставными бортами и надставных бортов с массой легковесного груза, расположенного в кузове. Относительные перемещения масс характеризуются обобщенными координатами φк и φп. Возбуждение колебаний расчётной схемы осуществляют кинематическая координата φт, учитывающая колебания прицепа относительно оси ОZ,, и функции неровностей микропрофиля ZЛ(t) и Zп(t), вызывающие смещение его относительно оси ОХ.

Рис.4 – Расчётная схема кузова прицепа
Надставные боковые борта с откидными панелями и надставные торцевые борта представляют собой сварные конструкции, выполненные в виде каркаса, обшитого металлической сеткой. В качестве расчетной схемы для откидной панели выбрана плоская стержневая система (рис.5), нагруженная распределенной нагрузкой с удельным давлением qв и qн., причем считаем, что изменение удельного давления по высоте панели подчинено линейной зависимости.
Каждая вертикальная связь откидной панели представлена в виде балки,
нагруженной распределенной нагрузкой LiqB до Liqн , имеющей упругие опоры с коэффициентами линейной Свi и Снi , крутильной Квi и Кнi жесткостями. Такая балка воспринимает момент сил трения груза о сетку, представляемый в виде двух сосредоточенных моментов:
,
. (6)При выполнении расчетов напряженного состояния верхнего и нижнего брусьев откидной панели (рис.5) считалось, что последние одновременно воспринимают группу сосредоточенных крутящих моментов М12, ..., М56 и группу сосредоточенных горизонтальных нагрузок Рв(н)1.....Рв(H)5, расположенных в сечениях примыкания промежуточных вертикальных связей. При определении параметров силового нагружения вертикальной связи (рис.5) неизвестными являются опорные реакции Rвi, RHi, и изгибающие моменты MBi и Mиi. Для такой схемы составлены три уравнения равновесия и одно дополнительное , которое может быть получено после решения дифференциального уравнения изгиба сечения связи, нагруженной моментами и внешними усилиями:
(7)
, 
(8)


Рис.5 – Расчётные схемы панелей кузова
Так как на расчётной схеме (рис.4) в средней части нижнего бруса введена дополнительная опора Б3, то при выполнении расчета изгибающих моментов М12 ÷М56 рассмотрим его как балку, лежащую на трех опорах Б2—БЗ—Б2. Тогда в опорных точках от действия сил Р62 и Р63 возникнут соответственно реакции Rа, Rб и Rв. В этом случае можно записать:
Rа + Rб + Rв = RH1 + RH2 + RH3 +RH4 + RH5,
Ra (L1 + L2 + L3) - Rб (L4 + L5 + L6) - RH1 ( L2 + L3) -- RH2L3 + RH4L4 + RH5 (L4 + L5 ) = 0, (9)
Y1 (L1 + L2 + L3) =
,где, Y1(X) —функция прогиба сечений бруса на рассматриваемых участках.
Для решения системы уравнений (9) предварительно составлено уравнение изгибающих моментов для участка Б2—Б3:
(10)Полученные из этих уравнений значения нагрузок позволяют вычислить крутящие моменты М12-=-М56,, а следовательно, и напряжения в нижнем брусе. Расчет моментов М12 ÷М56 для верхнего бруса аналогичен описанному ранее с той разницей, что у последнего отсутствует третья опора Б3 (SU 956328).
Для расчета на прочность торцевых бортов кузова, которые конструктивно выполнены так же, как и откидные панели, использована расчетная схема (рис.6). Борт нагружен через связывающую каркас сетку распределенной нагрузкой с удельными давлениями qув и qун. На средние стойки С2 дополнительно передаются усилия 0,5Рг, вызванные работой механизма управления откидными боковыми панелями.

Рис.6 – Расчётные схемы несущих элементов кузова
Для определения неизвестных реакций и моментов получены уравнения вида:
,
, (11)

Выведенные формулы позволяют вычислить нагрузки, приложенные к несущим элементам надставных бортов кузова, и определять численные значения напряжений, возникающих в них. Расчёты показали, что напряжения, возникающие в несущих элементах кузова, не превышают допускаемых значений.
Рассмотрим теперь случай, когда борта кузова нагружены динамическими силами, возникающими при движении прицепа с уже уплотненным в его кузове грузом. В этом случае, используя расчётную схему (рис.4), уравнения кинетической и потенциальной энергии примут вид:

(12)Используя уравнения Лагранжа и формулы (12), получена система дифференциальных уравнений в виде:
(13)Решая систему уравнений (13) широко известным способом, выведена зависимость, позволяющая вычислить максимальные значения упругих угловых деформаций
, возникающих в несущих элементах кузова:
(14)Тогда, упругий момент, приложенный к несущим элементам откидной панели кузова прицепа, от действия на неё груза, будет равен:
(15)Таким образом, суммарный момент на панели от периодически повторяющейся импульсивной нагрузки, можно представить формулой:
. (16)Выведенные формулы позволили вычислить динамические составляющие напряжений возникающих в несущих элементах надставных бортов кузова.
Рассмотрим теперь силовое нагружение рамы прицепа.
Известно, что рамы безрельсовых транспортных средств работают в сложном напряженном состоянии аппроксимируемой формулой В.3. Власова
.Воспользуемся основным положением известной методики расчета рам на изгиб и кручение, и вычислим напряжения, возникающие в несущей конструкции прицепа 2ПТС-4-793А. Для расчета рамы прицепа на изгиб воспользуемся расчетной схемой (рис.7). В нашем случае изгиб рамы осуществляется внешней динамической (весовой) нагрузкой, которая уравновешивается соответствующими реакциями колес, и рама представлена в виде упругой балки, размещенной на пяти опорах.

Рис.7 – Расчётная схема рамы прицепа
Расчетная схема рамы состоит из XI зон, характеризующих конструктивное исполнение сварных узлов и элементов рамы прицепа, и приложенных к последним следующих нагрузок:
- вертикальных составляющих динамических усилий, передающихся на раму от груженного хлопком-сырцом кузова прицепа;
- горизонтальных составляющих динамических нагрузок, передающихся на раму прицепа при движении прицепа в составе тракторного поезда;
— вертикально составляющих динамических усилий, передающихся на раму при самосвальной выгрузке кузова;
— реакций вертикально составляющих динамических усилий, передающихся на поворотный круг и опорные кронштейны рессор от подкатной тележки и задних колес прицепа. Известно, что изгиб такой рамы описывается обыкновенным дифференциальным уравнением четвертого порядка:
(17)В расчетной схеме, где имеются сосредоточенные силовые факторы, для решения уравнения (17) использован известный метод наложения, представляющий раму как комбинацию нескольких простейших балок, имеющих нагрузку только в начальном и концевом сечениях.
После нахождения изгибающих моментов и перерезывающих сил нормальные напряжения находились по известной зависимости:
(18)Для расчета напряжений стесненного кручения
, возникающих в элементах рамы при ее закручивании, воспользуемся расчетной схемой (рис.8) где рама представлена в виде упругого стержня с секторальным моментом инерции
.
Рис.8 – Стержневая схема рамы
К упругому стрежню, в сечениях установки поперечин рамы приложены бимоменты
, а в сечениях установки передних и задних осей колес прицепа внешние крутящие моменты
. Уравнение, описывающее закручивание упругого стержня (рамы прицепа), имеет вид:
(19)Решение уравнения (19) произведено с использованием известного метода начальных параметров.
Задаваясь геометрическими параметрами элементов рамы, можно вычислить численные значения бимоментов
, и рассчитать нормальные напряжения стесненного кручения по зависимости:
(20)Суммарные напряжения в исследуемых сечениях рамы в этом случае будут равны:
. Для выполнения расчетов с использованием прикладных программ на ЭВМ была составлена программа, включающая следующие случаи нагружения рамы прицепа: движение прицепа с максимальным грузом в его кузове массой 4,0т; выгрузка груза массой 4,0т набок; выгрузка груза массой 4,0т назад. Результаты расчётов показали, что наибольшие значения напряжений возникают в районе пятой поперечины, установленной в месте первого рессорного узла рамы прицепа, и составляют 292,3МПа, причем в этой зоне напряжения кручения
достигают 148,5 МПа, а изгибные напряжения — 143,8МПа. Такие значения напряжений значительно превышают предел усталости сварных узлов рамы, которые, как известно, для подобного рода конструкций не превышают 50МПа, поэтому в практике долговечность рамы прицепа 2ПТС-4-793А будет сравнительно низкой. Для вычисления напряжений, возникающих в несущих элементах кузова использованы их геометрические характеристики, в результате чего оказалось, что с введением дополнительной опоры нижнего бруса усилия на его концах снижаются в 1,14 раза по сравнению с брусом без опоры. Однако дополнительная опора воспринимает значительные усилия. При этом изгибающий момент в ее сечении по сравнению с изгибающим моментом бруса в том же сечении, не имеющего опоры, снижается в 1,52 раза. По численным значениям моментов, приложенных к брусьям, и их геометрическим характеристикам вычислены вероятностные значения изгибных напряжений.Результаты расчётов также показали, что напряжения в верхнем брусе не только не превышают предела текучести материала, из которого выполнен последний на натурном кузове прицепа (сталь 25ПС,
), но и в 3,24 раза ниже его. Поэтому для снижения металлоемкости верхнего бруса с сохранением его несущей способности рекомендовано снизить момент его инерции в среднем на 36%, что позволит сэкономить 2,5кг металла на одном кузове. Значительные напряжения возникают в нижнем брусе откидной панели (180,86МПа), поэтому рекомендовано установить в его средней части дополнительную опору, снижающую такие напряжения в среднем на 34%. Расчёт торцевых бортов на прочность показал, что напряжения, возникающие на участках В1 и В2, верхнего бруса, не превышают значений 39,9 и 120,0МПа. Напряжения в верхнем брусе наиболее высоки на участке В2 в зоне расположения механизма управления боковыми откидными панелями, однако они ниже допускаемых (Сталь 25ПС
) в 2,1 раза. Поэтому можно считать, что сечение верхнего бруса является номинальным.При выборе оптимальных силовых характеристик механизма управления откидными боковыми панелями кузова прицепа 2ПТС-4-793А установлено, что момент Mук, приложенный к откидной боковой панели от действия уплотняемого хлопка-сырца, достигает 6240,0Н·м. Следовательно, суммарный момент ΣМук, действующий на панель при преодолении периодически повторяющихся неровностей, составит 2351,0 + 6240,0 = 8,75 • 103Н·м, а коэффициент динамики — 1,36. Зная геометрические характеристики сечений нижнего и верхнего брусьев, принимая во внимание, что нижний брус воспринимает изгибающий момент в 2,59 раза больше, чем верхний, определены численные значения динамических напряжений в брусьях при воздействии на панель момента Мук=2351,0Н·м .
В случае преодоления прицепом импульсивной неровности, среднестатистическое значение момента составит М'у = 3466,9Н·м, а суммарный момент в этом случае определится ΣМ'у = 6400,0 + 3466,9 = 9866,9Н·м. Видно, что коэффициент динамики будет равен 1,55.
