Термические превращения полиариленфталидов и их производных 02. 00. 06 Высокомолекулярные соединения
| Вид материала | Автореферат |
Содержание1.4. Карбонизация полиариленфталидов 1.5. Термоокисление и термогидролиз полиариленфталидов |
- Название факультета, 245.29kb.
- Тверской государственный технический университет реферат на тему, 430.37kb.
- Физико-химические свойства и структурная подвижность сверхсшитых полистиролов 02. 00., 883kb.
- «Кинетика и механизм реакции поликонденсации аминокислот» 02. 00. 04 физическая химия, 332.67kb.
- Носители противоопухолевых препаратов на основе синтетических полипептидов 02. 00., 548.13kb.
- Специфические взаимодействия и особенности реологических свойств силоксанов 02. 00., 613.03kb.
- План реферата по органической химии " Высокомолекулярные соединения. Конкретный вид, 29.13kb.
- Композиционные материалы на основе полипропилена и наноразмерных наполнителей 02. 00., 231.61kb.
- 1. Сварка, 51.43kb.
- Особенности релаксационных свойств металлополимерных композитов 02. 00. 06 Высокомолекулярные, 319.93kb.
Таблица 3
Образование оксидов углерода при термодеструкции низкомолекулярных модельных соединений в вакууме при 4000С в течение 5 ч

*) Значительная часть газов заключена в закрытых ячейках вспененного карбонизованного остатка.
**) 5500С, 1 ч
Результаты по газовыделению, полученные при исследовании деструкции низкомолекулярных модельных соединений подтверждают и данные по составу газообразных продуктов деструкции олигодифениленфталидов с различными концевыми группами (табл. 4). И в этом случае можно утверждать, что основным источником окиси углерода при деструкции полиариленфталидов являются кислотная и сложноэфирные (открытая и циклическая) группы, термостабильность которых значительно ниже термостабильности фталидного цикла, что было показано на примере олигодифениленфталида с концевыми кислотными группами (n=5).
Таблица 4
Образование газообразных продуктов при деструкции (вакуум, 4500С, 1 ч) некоторых олигомерных дифениленфталидов


*) Смесь олигомеров с n=1 и n=2.
*) Смесь олигомеров с n=1 и n=2.
В инертной среде разложение этого олигомера протекает в две стадии (рис. 7). На первой стадии (острый пик на кривой ДТГ в области 350-3800С) происходит декарбоксилирование кислотной группы, а на второй (в области 450-5000С) – декарбоксилирование лактонного цикла.

Рис. 7. Кривые ТГА (1-3) и ДТГ (1'-3') олигодифениленфталида с кислотными концевыми группами (1, 1'), 3,3-ди(п-дифенил)фталида (2, 2') и полидифениленфталида (3, З'). Нагревание в аргоне.

Рис. 8. Зависимость выхода оксида углерода (1), 2-фенилантрахинона (2) и 3-фенилфлуоренона (3) (деструкция в вакууме при 5000С в течение 1 ч), а также содержания кислотных (4) и антрахиноновых (5) концевых групп от [η] полидифениленфталида.
Увеличение ММ полидифениленфталида (понижение относительного содержания кислотных концевых групп) приводит к уменьшению выхода окиси углерода (рис. 8).
1.3.2. Образование конденсированных продуктов разложения
Из пиролизатов, полученных при прогревании -III от 450 до 6000С, колоночной хроматографией, а также экстракцией органическими растворителями и водой были выделены и идентифицированы их основные продукты разложения: дифенил, флуорен, 3-фенилфлуорен, 3-фенилфлуоренон, 2-фенилантрахинон (для полимера I), 2-оксиантрахинон, фенол (для полимеров II и III). Наиболее вероятным представляется образование этих соединений путем отщепления соответствующих концевых групп, как имеющихся в исходных полимерах, так и возникающих в процессе деструкции.
Как показало изучение пиролиза образцов различной молекулярной массы (рис. 8), концевые антрахиноновые и флуореноновые группы могут образоваться при распаде кислотных групп – количество выделяющихся 2-фенилантрахинона и 3-фенилфлуоренона коррелирует с содержанием концевых кислотных групп в полимере (аналогичные термические превращения, по всей видимости, претерпевают и сложноэфирные группы)

(6)
Термическим предшественником 2-фенилантрахинона и 3-фенилфлуоренона может быть и фталидный цикл, о чем свидетельствует присутствие этих соединений в продуктах деструкции образца полидифениленфталида, не содержащего кислотных и сложноэфирных концевых групп

(7)
При наличии гетеросвязей в основной цепи полимеров раскрытие фталидного цикла с последующим замыканием в антрахиноновую структуру становится преобладающим. Так основными продуктами распада и являются 2-оксиантрахинон и фенол.
Кроме фенилзамещенных антрахинона и флуоренона при деструкции полиариленфталидов возможно образование и бициклических соединений антрахинонового и флуоренонового ряда – после разрыва фталидного цикла, смежного с концевой группой, замыкание интермедиата в этом случае происходит навстречу концевой группе ("голова к голове")

(8)
При повышении температуры деструкции выше 5000С содержание кислородсодержащих соединений в составе продуктов деструкции полиариленфталидов резко снижается, а доля ароматических углеводородов возрастает.
Так среди продуктов пиролиза ПТФ, полученных при 5000С, идентифицирован широкий круг соединений флуорена: флуорен, фенилзамещенные флуорены и флуоренилсодержащие продукты димерного состава. Это позволяет предположить, что радикалы, образующиеся при разложении фталидного цикла, гибнут не только при межмолекулярной рекомбинации (таким путем формируются разветвленные и сшитые структуры), но и участвуют в реакциях внутримолекулярной циклизации, давая срединные флуоренильные фрагменты полимерной цепи

(9)
Кроме флуорена и его производных в масс-спектре пиролизата политерфениленфталида обнаружены молекулярные ионы, брутто-состав и молекулярная масса которых позволяют идентифицировать их как бидифениленэтен, рубицен и фенилзамещенные производные этих соединений (соединения этого ряда обнаружены и в продуктах пиролиза полидифениленфталида). По всей видимости, бидифениленэтеновые структуры могут формироваться и в узлах полимерной сетки при сшивании ПТФ предположительно по следующей схеме (10).
О накоплении таких сопряженных структур могут свидетельствовать данные УФ-спектроскопии (рис. 9а): при нагревании в атмосфере аргона пленка ПТФ сначала желтеет, затем начинает краснеть, и в конечном итоге приобретает интенсивную темно-вишневую окраску (пиролизат, полученный при 5000С, также окрашен в красный цвет). Поскольку бидифениленэтеновые фрагменты содержат кратные связи С=С , их образование в присутствии кислорода невозможно, и видимо поэтому на воздухе образцы ПТФ окрашиваются лишь в желтый (при больших временах прогревания – в желто-коричневый) цвет (рис. 9б), за который ответственны антрахиноновые флуореноновые и ксантоновые концевые группы (о путях образования этих групп будет сказано ниже). Об их накоплении в процессе прогревания ПТФ можно судить по увеличению интенсивности полос поглощения карбонильных групп соответственно в областях 1690 и 1712 и 1750 см-1 (рис. 10).

(10)

Рис. 9. Электронные спектры поглощения пленок ПТФ прогретых в аргоне и на воздухе (б) при 450°С. Продолжительность прогревания 0 (1), 10 (2), 20 (5), 30 (4), 40 (5), 60 (6), 80 (7), 90 (8), 100 (9) и 120 мин (10).

Рис. 10. ИК-спектры пленок ПТФ, прогретых на воздухе при 4500С в течение 0 (1), 10 (2), 25 (3), 35 (4), 45 (5) и 55 мин (6).
Обобщая полученные результаты, можно представить следующую схему образования основных продуктов распада полифениленфталидов:

(11)
1.4. Карбонизация полиариленфталидов
Согласно данным термогравиметрического анализа, выход кокса в ряду изученных полиариленфталидов в инертной атмосфере изменяется от 57 до 79 % (табл. 5). Наибольшие коксовые числа имеют полимеры с флуореновыми и полифениленовыми фрагментами в основной цепи (полимеры I, IV, V, X, XI).
Таблица 5
Коксовые числа КЧ8500С полиариленфталидов
-
№
КЧ8500С
№
КЧ8500С
Эксперимент
Расчет*
Эксперимент
Расчет
I
76.0
76.0
XIII
64.5
64.9
II
57.0
56.1
XIV
69.5
69.4
III
52.0
–
XV
59.0
59.3
IV
78.0
78.0
XVI
61.0
60.1
V
79.0
79.6
XVII
60.5
62.1
VI
79.0
–
XVIII
62.0
60.1
VII
66.0
66.7
XIX
62.0
61.6
VIII
–
–
XX
70.0
69.9
IX
55.0
–
XXI
64.0
64.0
X
79.0
78.7
XXII
61.0
60.4
XI
79.0
79.0
XXIII
62.0
62.7
XII
67.5
67.9
XXIV
62.5
60.4
*) Рассчитаны по уравнению :
, где Ji – склонность к образованию кокса (инкремент коксообразования) i-й группы (табл. 6) в углеродных эквивалентах (у. э.), M – ММ повторяющегося звена полимеров, 12 – масса атома углерода.Введение дифенилоксидных фрагментов и увеличение их содержания в полиариленфталидах IV, XII, XIII вызывает уменьшение выхода карбонизованного остатка. Выход кокса при пиролизе полиэфиркетонов, полученных на основе дифенилфталиддикарбоновой кислоты (XX-XXIV) несколько выше, чем в случае полимеров на основе дихлорангидрида с дифенилоксидными фрагментами (XXV-XXVIII).
Коксовые остатки, формирующиеся при пиролизе полимеров I, IV-VI и X,XI, имеют структуру стеклоуглерода, остальные полиариленфталиды образуют пенококсы, прочность и пористость которых можно варьировать, изменяя химическое строение полимеров.
Определены инкременты коксообразования отдельных групп из которых построены элементарные звенья полиариленфталидов (табл. 6). Показано, что к полиариленфталидам применима предложенная Van Kravelev аддитивная схема коксообразования.
Таблица 6
Инкременты коксообразования Ji отдельных групп
| Группа | Ji | Группа | Ji |
![]() | 7.2 | ![]() | 10.27 |
![]() | 5.4 | ![]() | 12.9 |
![]() | 12.1 | ![]() | -0.5 |
![]() | 6.9 | ![]() | 16.9 |
![]() | 10.3 | | |
1.5. Термоокисление и термогидролиз полиариленфталидов
При деструкции полиариленфталидов I-III в атмосфере кислорода выделение оксидов углерода начинается при более низких, чем в вакууме, температурах. Чем выше исходное давление кислорода, тем ниже температура начала газовыделения и тем больше образуется СО и СО2 (рис. 11). Наиболее интенсивно протекает термоокислительная деструкция полимера III, менее интенсивно полимера II, и наименьшее количество газов образуется при термоокислении полидифениленфталида I.
Следует отметить два существенных отличия термоокисления от термодеструкции: высокий, на порядок выше, выход СО (СО) и близкие значения СО для всех трех полимеров (при термолизе СО для полимера III значительно выше, чем для полимеров и ).

Рис. 11. Температурные зависимости выделения СО2 (а, б) и СО (в, г) при термоокислительной деструкции полимеров I-Ш. Исходное давление кислорода 13.3 (а, в) и 34.6 кПа (б, г).
Окисление сопровождается уменьшением полосы валентных колебаний С=О группы лактонного цикла (1774-1778 см-1) и появлением четырех новых карбонильных полос поглощения в областях 1674-1678, 1714-1716, 1740-1750 и 1850-1852 см-1, интенсивность которых с увеличением температуры и продолжительности деструкции возрастает.
Полосы 1674-1678 и 1714-1716 см-1 были отнесены к флуореноновым и антрахиноновым концевым группам. На воздухе эти группы образуются в больших количествах, чем в инертной среде, и чем выше температура окислительной деструкции, тем выше их содержание в термообработанном образце (рис. 12). Температурный коэффициент реакции образования флуореноновых групп больше, чем антрахиноновых: с увеличением температуры деструкции увеличивается отношение интенсивностей полос поглощения D1714/D1674 в ИК-спектрах полимераАналогичным образом изменяется и соотношение 3-фенилфлуоренона и 2-фенилантрахинона в продуктах термоокисления полидифениленфталида (рис. 13). Эти результаты хорошо согласуется с данными по термодеструкции полидифениленфталида: до 4000С выше вероятность разрыва лактонного цикла по схеме 13 (ЕаСО = 191 кДж/моль), а при температурах выше 4000С более вероятен разрыв связей по схеме 12 (ЕаСО2 = 256 кДж/моль).

Рис. 12. Изменение оптической плотности полос поглощения антрахиноновых (1674-1676 см-1) (1-3) и флуореноновых (1714-1716 см-1) групп (1'-3') в процессе старения полидифениленфталида I на воздухе (1, 1', 2, 2') и в аргоне (3, 3') при 425 (1, 1') и 440°С (2, 2', 3, 3').
Рис. 13. Выделение 2-фенилантрахинона (1) и 3-фенилфлуоренона (2) при прогревании полидифениленфталида I на воздухе в течение 1 ч при различных температурах.
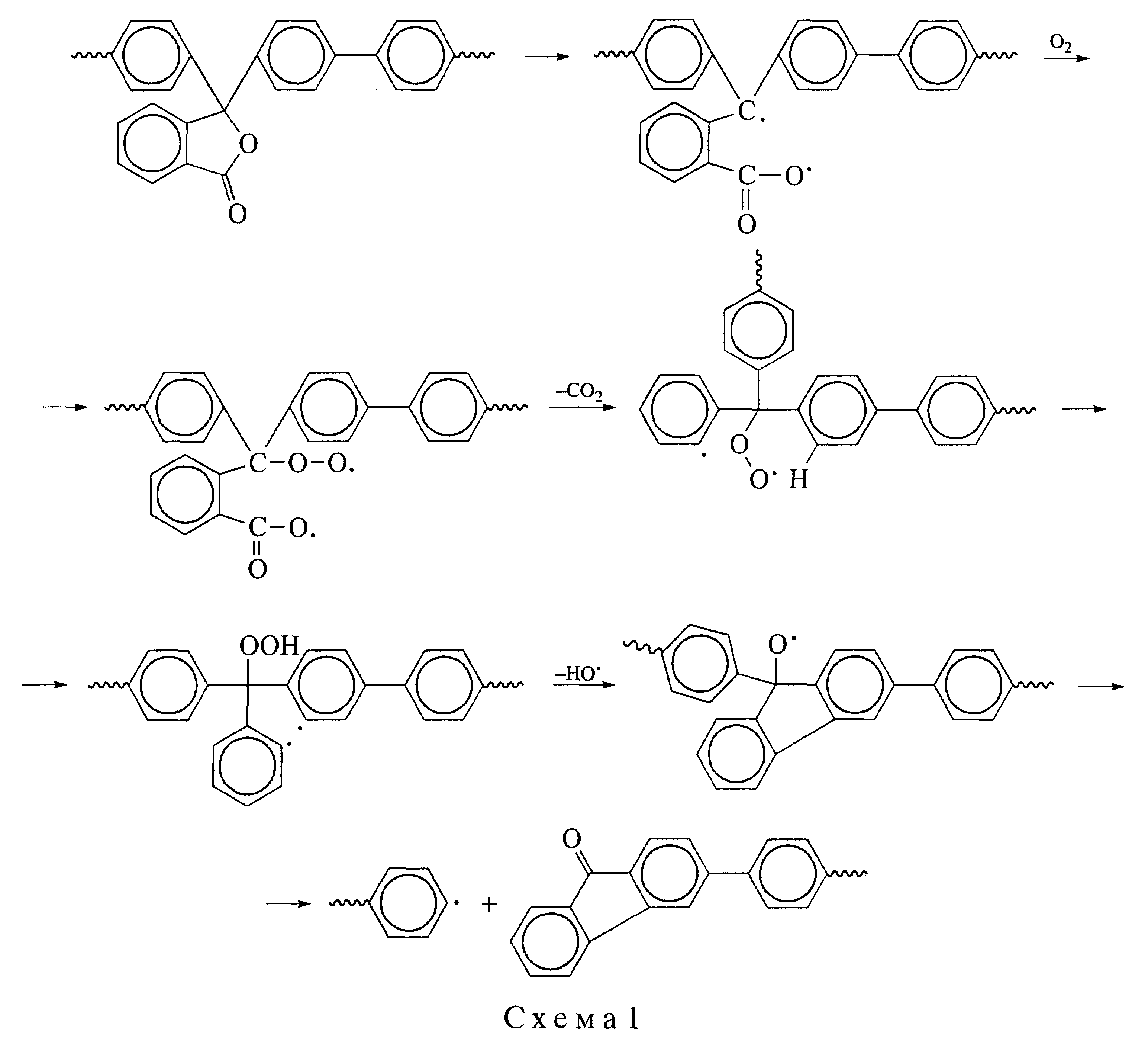
Отмеченные выше закономерности формирования концевых групп и выделения продуктов разложения (оксидов углерода и низкомолекулярных карбонилсодержащих соединений) позволяют в рамках гидроперекисной схемы окисления углеводородов предположить четыре основных направления деструкции в присутствии кислорода.
Так 3-фенилфлуоренон, содержание которого в продуктах термоокисления выше, чем в продуктах термодеструкции, может быть одним из конечных соединений в цепи реакций с участием триарилметильного радикала и кислорода

(12)
Более высокое содержание 2-фенилантрахинона может быть объяснено окислением бензоильного радикала с образованием бензоильной гидроперекиси, распад которой может приводить к кислотной группе (схема превращения кислотной группы в антрахиноновую приведена выше):

(13)
Соединения ксантонового и дибензофуранового рядов, идентифицированные среди продуктов окисления политерфениленфталида и полидифениленфталида (образуются, по всей видимости, при деструкции окисленной части полимерной цепи) позволяют предположить схему окисления IV с участием бензильного радикала

(14)

И наконец, наиболее вероятным дополнительным источником образования СО (а также СО2)при относительно низких (350-4500С) температурах окисления полиариленфталидов, можно считать фрагменты фталевого ангидрида (полоса поглощения в области 1850 см-1, появляющаяся при окислении , V (отсутствует в спектрах полимеров, прогретых в инертной атмосфере), с большой долей вероятности может быть отнесена к валентным колебаниям С=О групп фрагмента фталевого ангидрида)

(15)
Таким образом, для окисления полиариленфталидов характерно термическое инициирование, которое начинается с разрыва лактонного цикла (в двух местах), – при этом образуются продукты окисления, содержащие анрахиноновые, флуореноновые и ксантоговые группы, – и разрыва С–С связей основной цепи – конечными продуктами окисления в этом случае являются фталевый ангидрид и его производные. При окислении полимеров с гетеросвязями в основной цепи преобладают реакции гетеролитического расщепления основной цепи, а устойчивый к гидролизу лактонный цикл затрагивается в меньшей степени. Кислород лишь сдвигает равновесие в сторону его раскрытой формы, что, в свою очередь, приводит к увеличению количества (скорости образования) СО2 (СО) и к понижению температуры начала газовыделения.









