Контрольная работа №1
| Вид материала | Контрольная работа |
- Контрольная работа по алгебре «Правила вычисления производных» Контрольная работа, 65.69kb.
- Контрольная работа для студентов первого- второго курса заочного отделения. Контрольная, 11.95kb.
- Контрольная работа №2 (4 курс, 7 семестр) Малкина С. В. Данная контрольная работа состоит, 13.74kb.
- Задания по выполнению контрольных работ по курсу, 79.13kb.
- Контрольная работа «История менеджмента. Тейлор». Контрольная работа «история менеджмента., 6.21kb.
- Контрольная работа по русскому языку Контрольная работа, 190.41kb.
- Контрольная работа по дисциплине «Эконометрика», 755.12kb.
- Контрольная работа Для студентов по форме обучения экстернат, 104.06kb.
- Контрольная работа по дисциплине Тема, 80.19kb.
- Контрольная работа по дисциплине «Макроэкономика 2» выполняется студентом на основе, 303.53kb.
Контрольная работа №1.
Задача №3
Заданы функции спроса и предложения:


- Определить равновесную цену и равновесный объем продаж. Рассуждения подтвердить расчетами. Построить графическую модель.
- При каких ценах товар будет дефицитен? При каких ценах товар будет в избытке?
- Определить излишки потребителя и производителя.
- Определить общественную выгоду от рыночного равновесия.
Решение:
1) Равновесная (рыночная) цена определяется исходя из условия равновесия рынка, т.е. равенства объемов спроса и предложения:

Подставляя равновесную цену в функцию спроса или предложения, находим равновесный (рыночный) объем продаж

Построим графическую модель частичного рыночного равновесия:
Очевидно, что уравнения кривых спроса и предложения представляют в нашем случае прямые. Для их построения достаточно вычислить по две пары значений (Q;P) для каждой прямой:
Для прямой спроса:

В точке Q=1

В точке Q=11

Для прямой предложения:
В точке Q=1

В точке Q=11

Таким образом для прямой спроса D определено две точки (Q;P): (1;22) и (11;18), а для прямой предложения S – (1;
) и (11;8).
Рис.1. Установление равновесных цены и объема графическим методом
Графическим методом получены приблизительно те же значения равновесной цены и объема, что и аналитическим методом.
2) Определим при каких ценах товар будет дефицитен:
Товар будет дефицитен при ценах ниже равновесной т.е. при цене ниже
величина спроса Qd будет превышать величину предложения QS (рис.2). При установлении цены ниже равновесной (Р1
е), объем спроса увеличивается (Q1>Qе), а объем предложения при такой цене соответственно падает до величины (Q2е).
Таким образом появляется неудовлетворенный спрос (дефицит) в размере
Д=Q1-Q2
Pe




P1
Дефицит
Q1
Q2
Рис.2. Возникновение дефицита при установлении цены ниже равновесной

Излишек
P2


Pe

Q3
Q4
Рис.3. Возникновение излишка при установлении цены выше равновесной
Аналогичные рассуждения применимы для ситуации с установлением цены выше равновесной. В этом случае спрос падает по отношению к равновесному до величины Q3е, предложение растет до значений Q4>Qе (рис.3).
Таким образом, при ценах выше
появляется излишек в размере:
И=Q4-Q3
3) Определим излишки потребителя и производителя:

PB
Е
Pe

Ра
Рис. 4. Излишек потребителя и производителя
Суммарный излишек производителей графически может быть представлен площадью фигуры между кривой предложения и уровнем рыночной цены - фигуры РAPEE на рис. 4.
Излишек потребителя определяется площадью фигуры РBPEE . Сумма излишков потребителей и производителей - площадь фигуры PАРB*Е - характеризует общий эффект производства и потребления на рассматриваемом рынке.
Определим излишек потребителя:
Найдем значение цены PB:



Определим излишек производителя:
Найдем значение цены PА:



4) Определим общественную выгоду от рыночного равновесия:
Сумма излишков потребителей и производителей образует общественную выгоду, возникающую в связи с существованием рыночного равновесия:

Контрольная работа №2.
Задача №3
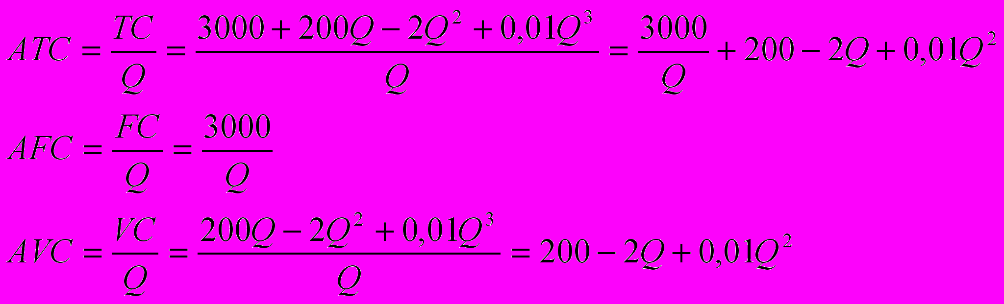
Функция общих издержек предприятия имеет вид:

Определить алгебраические выражение для FC, VC, ATC, AFC, AVC, MC и построить графики 4-х последних разновидностей издержек при выпуске Q=10, 20, 30 .... 150. Определите оптимальный объем выпуска.
Решение:
Постоянные издержки (FC) – затраты фирмы, которые она несет вне зависимости от объема своей производственной деятельности. К ним относятся: плата за аренду помещений, затраты на оборудование, амортизация, налоги на имущество, займы, оплата труда управленческого и административного аппарата.
Т.е.

Переменные издержки (VC) – затраты фирмы, которые зависят от величины производства продукции. К ним относят: затраты на сырье, рекламу, оплату наемных рабочих, транспортные услуги, налог на добавленную стоимость и др. При расширении производства переменные издержки увеличиваются, а при сокращении – снижаются.

Средние издержки – это валовые издержки, приходящиеся на единицу продукции.
Средние издержки можно рассчитывать на уровне и постоянных, и переменных издержек, поэтому все три разновидности средних издержек принято называть семейством средних издержек.

где ATC– средние общие издержки; AFC– средние постоянные издержки; AVC– средние переменные издержки; Q– количество выпускаемой продукции.
Предельные издержки – это дополнительные издержки, связанные с производством еще одной добавочной единицы продукции.

q
tc
fc
vc
atc
afc
avc
mc
10
481,00
300,00
181,00
163,00
481,00
300,00
181,00
20
314,00
150,00
164,00
132,00
314,00
150,00
164,00
30
249,00
100,00
149,00
107,00
249,00
100,00
149,00
40
211,00
75,00
136,00
88,00
211,00
75,00
136,00
50
185,00
60,00
125,00
75,00
185,00
60,00
125,00
60
166,00
50,00
116,00
68,00
166,00
50,00
116,00
70
151,86
42,86
109,00
67,00
151,86
42,86
109,00
80
141,50
37,50
104,00
72,00
141,50
37,50
104,00
90
134,33
33,33
101,00
83,00
134,33
33,33
101,00
100
130,00
30,00
100,00
100,00
130,00
30,00
100,00
110
128,27
27,27
101,00
123,00
128,27
27,27
101,00
120
129,00
25,00
104,00
152,00
129,00
25,00
104,00
130
132,08
23,08
109,00
187,00
132,08
23,08
109,00
140
137,43
21,43
116,00
228,00
137,43
21,43
116,00
150
145,00
20,00
125,00
275,00
145,00
20,00
125,00
Табл. 1. Расчетные значения различных видов издержек.

Рис. 5. График изменения издержек (ATC, AVC, AFC, MC).
Точка пересечения предельных издержек МС и средних общих издержек ATC приходится на минимальное значение средних издержек, т.е. оптимальный объем производства:

Контрольная работа №3.
Задача №3
Даны следующие макроэкономические показатели:
Показатель
Значение ден.ед.
Расходы на личное потребление
333
Валовые инвестиции
77
Государственные закупки
111
Экспорт
45
Импорт
12
Заработная плата
359
Арендная плата
45
Доходы от собственности
60
Процентные платежи
26
Косвенные налоги фирм
18
Амортизация (стоимость потребленного капитала)
16
Дивиденды
17
Налоги на прибыль фирм
11
Нераспределенная прибыль фирм
2
Трансфертные платежи
18
Индивидуальные налоги
42
Взносы на социальное страхование
45
Доходы полученные за рубежом
15
Доходы полученные иностранцами
10
Определить: ВНП (двумя способами), ВВП, ЧНП, НД, ЛД, РЛП, сальдо торгового баланса.
Решение:
1) Определим ВНП методом конечного использования (по расходам).
При расчете ВНП по расходам суммируются расходы всех экономических агентов, использующих ВНП, домашних хозяйств, фирм, государства и иностранцев (расходы на наш экспорт). Фактически речь идет о совокупном спросе на произведенный ВНП. Суммарные расходы можно разложить на несколько компонентов:
ВНП = C + I + G +NE , где
C – потребление;
I – инвестиции;
G – государственные закупки;
NE – чистый экспорт.
Данное уравнение ВНП называется основным макроэкономическим тождеством.
Подставив данные из условия задачи:
ВНП (по расходам) = Расходы на личное потребление + Валовые инвестиции + Гос. закупки товаров и услуг + Чистый экспорт (Экспорт – Импорт) = 333 + 77 + 111+ (45 - 12) =554 ден.ед.
2) Определим ВНП методом конечного распределительным методом (по доходам)
При расчете ВНП по доходам суммируются все виды факторных доходов, а также амортизационные отчисления и чистые косвенные налоги на бизнес, т.е. налоги минус субсидии.
В составе ВНП обычно выделяют следующие виды факторных доходов (критерием служит способ получения дохода):
ВНП (по доходам) = Заработная плата + Процентные платежи + Арендная плата + Доходы от собственности + Прибыль корпораций (Налог на прибыль корпораций + Дивиденды + Нераспределенная прибыль корпораций) + Косвенные налоги на бизнес + Амортизация = 359 + 26 + 45 + 60 + 11+ 17 + 2 + 18 + 16 = 554 ден.ед.
3) Рассчитаем ВВП.
Валовой внутренний продукт (ВВП) — рыночная стоимость всех конечных товаров и услуг (то есть предназначенных для непосредственного употребления), произведённых за год во всех отраслях экономики на территории государства для потребления, экспорта и накопления, вне зависимости от национальной принадлежности использованных факторов производства.
Существует связь между показателями ВВП и ВНП:
ВНП = ВВП + чистые факторные доходы из-за рубежа
Чистые факторные доходы из-за рубежа равны разности между доходами, полученными гражданами данной страны за рубежом и доходами иностранцев, полученными на территории данной страны.
ВВП = ВНП – Доходы, полученные гражданами за рубежом + Доходы, полученные иностранцами в данной стране = 554 – 15 + 10 = 549 ден.ед.
4) Определим значение ЧНП.
Чистый национальный продукт (ЧНП) — общий объем производства товаров и услуг, за определенный промежуток времени, которые страна произвела и потребила во всех секторах своего национального хозяйства.
ЧНП = ВНП – Амортизация = 554 –16= 538 ден.ед.
5) Определим значение национального дохода.
Если из ЧНП вычесть сумму косвенных налогов,можно получить значение национального дохода. НД - это вновь созданная за год стоимость, характеризующая, что прибавило производство в данном году к благосостоянию общества. Это чистый заработный доход общества, этим объясняется важность и широкое применение НД в сопоставительном анализе.
НД = ЧНП – Косвенные налоги на бизнес = 538 – 18= 520 ден.ед.
НД = Заработная плата + Процентные платежи + Арендная плата + Доходы от собственности + Прибыль корпораций (Налог на прибыль корпораций + Дивиденды + Нераспределенная прибыль корпораций) =359 + 26 + 45 + 60 + 11 + 2 + 17 = 520 ден.ед.
6) Подсчитаем значение показателей личного дохода и располагаемого личного дохода.
Показатель личного дохода получается путем вычитания из национального дохода взносов на социальное страхование, нераспределенной прибыли корпораций, налогов на прибыль корпораций и добавления суммы трансфертных платежей. Необходимо также вычесть чистый процент и прибавить личные доходы, полученные в виде процента, в том числе процент по государственному долгу.
ЛД = НД – взносы на социальное страхование – Прибыль корпораций (Налог на прибыль корпораций + Дивиденды + Нераспределенная прибыль корпораций) + дивиденды + трансфертные платежи от государства населению = 520 – 45 – (17+11+2) + 17 + 18 = 480 ден.ед.
Располагаемый личный доход:
РЛД = ЛД – Индивидуальные налоги = 480 – 42 = 438 ден.ед.
7) Определим сальдо торгового баланса.
Внешнеторговый баланс страны — соотношение стоимости товаров, экспортированных и импортированных за один и тот же период времени.
Сальдо торгового баланса = Чистый экспорт = Экспорт – Импорт = 45 – 12 = 33 ден.ед.
