Дивідендна політика, дивідендна премія, інвестиційна привабливість, акціонерне товариство
| Вид материала | Документы |
СодержаниеОсновна частина. |
- Дивідендна політика акціонерного товариства, 142.9kb.
- Пальчевич Галина Тадеївна „ 2006 р диплом, 1031.92kb.
- Проект попаснянська міська рада шостого скликання двадцять четверта сесія рішення, 18.01kb.
- 1. 3аг альні положення, 1865.06kb.
- Публічне акціонерне товариство «Полтавський дослідний механічний завод», 30.55kb.
- Статут закритого акціонерного товариства, 128.03kb.
- Автономна Республіка Крим; ват відкрите акціонерне товариство; вр україни Верховна, 338.29kb.
- Ват «Київмедпрепарат» за 2011р, 592.66kb.
- Шевченківський районний суд м. Львова, 135.47kb.
- Товариство з обмеженою відповідальністю 60006 м. Запоріжжя, вул. Добролюбова,, 221.21kb.
Kg02
ДОСЛІДЖЕННЯ ВПЛИВУ ДИВІДЕНДНОЇ ПОЛІТИКИ ПІДПРИЄМСТВА НА ІНВЕСТИЦІЙНУ ПРИВАБЛИВІСТЬ ЙОГО АКЦІЙ
В статті розглянуті основні теоретичні підходи до обґрунтування дивідендної політики підприємства, визначено дивідендну премію фондового ринку України, розроблено методику формування ефективної дивідендної політики підприємства, що дозволить залучити максимальний обсяг інвестиційних ресурсів при збереженні його фінансової стабільності і корпоративного контролю
Ключові слова: дивідендна політика, дивідендна премія, інвестиційна привабливість, акціонерне товариство.
The main theoretical approaches for the enterprise dividend policy are looked out; the Ukrainian fund marked dividend premium is determined; the efficient enterprise dividend policy methodic is carried out, as it permits to attract the maximum size of investment resources under the financial stability and corporate control.
Key words: dividend policy, dividend premium, investment attractiveness, joint-stock company.
Вступ. Розвиток акціонерної форми власності та фондового ринку в Україні в умовах світових інтеграційних процесів потребує вдосконалення теоретичної бази регулювання та оптимізації корпоративних відносин. Важливим індикатором прозорості та ефективності функціонування акціонерних товариств (АТ) виступає їх дивідендна політика, що характеризує розподіл прибутку АТ. Постає питання доцільності розподілу прибутку на користь споживання у вигляді дивідендів при дефіциті інвестиційних ресурсів.
Проблеми формування дивідендної політики було широко розглянуто закордонними вченими, серед яких М. Міллер, Ф. Модильяні, М. Гордон, Дж. Лінтнер, С. Росс, Р. Літценбергер, К. Равасвамі, Ф. Блек, А. Франклін, А. Бернардо, І. Велч, Ф. Х. Істербрук, Р. Шиллер, Х. Шефрін, М. Стетман, В. де Бондт, Р. Тейлер, Е. Джонсон, М. Бейкер, Дж., М. С. Шоулдс [1-11]. Проведені ними теоретичні та емпіричні дослідження спрямовані на оцінку впливу виплати дивідендів на ціну акцій корпорації та можливість залучення додаткових інвестиційних ресурсів за допомогою ефективної дивідендної політики. Дослідженням дивідендної політики українських АТ займались такі вчені та економісти, як Богачов С.В., Лігоненко Л.О., Клоченок Л.В., Юрчук Н.В., Нестерова С.В., Довгань Л.П., Дрогомирецька З.Б., Волик І.М., Денис О.Б., Камілова Е.Р., Вожжова О.Ф., Селіверстова Л.С., Сеперов Н., Головко С.І. [12, 13]. Їхні наукові розробки присвячені, насамперед, економії коштів на споживанні при розподілі прибутку АТ в умовах дефіциту власних інвестиційних ресурсів на вітчизняних підприємствах, а також підвищенню корпоративного іміджу підприємства через виплату дивідендів.
Разом з тим, подальших досліджень потребує вплив дивідендної політики підприємства на інвестиційну привабливість його акцій на вітчизняному фондовому ринку і можливості підприємств шляхом формування ефективної дивідендної політики залучати максимальний обсяг інвестиційних ресурсів. Актуальність і недостатня розробленість цих питань вітчизняними вченими і практиками зумовили вибір теми дослідження, його мету та задачі.
Метою проведеного дослідження є теоретичне обґрунтування та розробка методичних і практичних рекомендацій щодо формування дивідендної політики АТ, що дозволяє ефективно розподілити прибуток між споживанням і реінвестуванням з урахуванням кон’юнктури фондового ринку та підвищити ринкову вартість підприємства, що забезпечить збалансування інтересів всіх учасників корпоративних відносин і сталий розвиток підприємства.
Для цього в процесі дослідження було використано методи аналізу, синтезу, теоретичного узагальнення; статистичні методи дослідження динаміки, кореляційного аналізу; багатокритеріальної оптимізації.
Основна частина. Спроби теоретичного розв’язання проблеми оптимального розподілу прибутку між реінвестуванням та дивідендними виплатами закордонними вченими обумовили виникнення двох концептуальних напрямів теорії дивідендної політики: теорій пасивної та активної ролі дивідендної політики (рис. 1). Згідно концепції Міллера-Модильяні [1] вартість корпорації визначається виключно рентабельністю її активів або її інвестиційною політикою, а спосіб розподілу доходу між дивідендами і рефінансованим прибутком не впливає на дану оцінку. Ф. Блек, М. С. Шоулдс підкреслюють незалежність вартості акцій від дивідендної політики фірми, навіть якщо деякі інвестори раціонально надають перевагу дивідендним виплатам. М. Гордон і Дж. Літнер [2, 3] спростовують це твердження та виділяють наступні причини надання інвесторами переваги дивідендам та впливу дивідендних виплат на вартість фірми: концепція «синиці в руці», інформаційний сигнал та ефект клієнтури. Крім того, попит на акції залежно від виплати за ними дивідендів визначають інституціональні обмеження та розбіжності, а саме: трансакційні витрати, обмеження напрямків інвестування, можливості розпорядження готівковими доходами, досліджені в працях А.Франкліна, А. Бернардо, І. Велча [5], а також податкова політика держави, що розглянута Р.Літценбергером, К.Равасвамі [4]. Досліджуючи дивідендну політику підприємств, слід також враховувати конфлікти інтересів різних груп учасників корпоративних відносин, а саме власників корпорацій – акціонерів, найманих менеджерів – правління, а також зацікавлених сторін в особі держави, конкурентів та кредиторів. Відношення власників та найманих управлінців – взаємовідносини «принципал-агент» – освітлені в працях Ф.Х. Істербрука [6].

Рис. 1. Узагальнення теоретичних підходів до обґрунтування дивідендної політики закордонним вченими
Перераховані вище теорії засновані на єдиному загальному припущенні – ефективності фінансових ринків та раціональності їх учасників. Ефективні фінансові ринки – це ринки, на яких ціна акцій повністю відображає всю наявну інформацію про фірму. Це означає, що всі учасники ринку володіють повною інформацією, теоретичними знаннями і практичним досвідом та приймають нормативно вірні рішення. В той же час практика доводить, що такий стан речей неможливий. Біхеврістична фінансова теорія виникла як альтернативний підхід до фінансових ринків. Згідно неї немає ніяких причин очікувати ефективність фінансових ринків. Напроти, слід очікувати виникнення і протяжне існування передбачуваних і систематичних відхилень від ефективності. Р. Шиллер на емпіричному матеріалі спростував традиційне твердження, що ціна акцій дорівнює приведеній вартості очікуваного майбутнього потоку дивідендів, поклавши початок дослідження впливу дивідендних виплат на ціну акцій з точки зору біхеврістичної теорії [7]. Х. Шифрін, М. Стетман застосовували для вивчення попиту на акції, за якими сплачуються дивіденди, проспектну теорію, теорію неприйняття втрат та теорію самовладання, довели, що для інвестора має значення за рахунок яких джерел – дивідендних виплат або курсової різниці ціни акцій – від отримає дохід [8]. М. Бейкер, Дж. Верглер запропонували теорію задоволення вподобань інвесторів і вважають, що компанії формують дивідендну політику відповідно до попиту на дивіденди з боку інвесторів [10]. При цьому існують періоди, коли серед інвесторів підвищується попит на акції, за якими сплачуються дивіденди, і вони готові переплачувати за них. Виникає так звана дивідендна премія, тобто перевищення ринкової вартості акцій над фундаментальною вартістю підприємства.
Для визначення розміру дивідендної премії на українському фондовому ринку було досліджено 29 підприємств, що входять до 1 та 2 рівня лістингу ПФТС, 18 з яких сплачували дивіденди і 11 не сплачували. Можна стверджувати, що на українському фондовому ринку є попит на акції, за якими сплачуються дивіденди, який з 2004 р. до 2008 р. мав стійку тенденцію до зростання. Але такий попит є нестабільним. В 2002 р. та в 2004 р. на фондовому ринку виникав дивідендний дисконт -39,2% і -31,9% відповідно. Проте, в 2005 р. виплата дивідендів вплинула на підвищення ціни акцій на 15,3%, а в 2008 р. на 65,07%. В 2009 р. дивідендна премія фондового ринку України дещо знизилася до 28,26% (рис. 2).

Рис. 2. Динаміка коефіцієнту ринкової капіталізації та дивідендної премії
Рис. 3 ілюструє наявність взаємозв’язку між дивідендною премією та виплатою дивідендів підприємствами.
Застосування теорії задоволення вподобань інвесторів на практиці вимагає вдосконалення методичного підходу до формування дивідендної політики підприємства. При прийнятті рішення про виплату дивідендів необхідно враховувати інвестиційні можливості та потреби підприємства, достатність фінансових ресурсів для реалізації рішення щодо виплати дивідендів та умови залучення додаткових інвестиційних ресурсів на фондовому ринку за допомогою виплати дивідендів.

Рис. 3. Взаємозв’язок дивідендної премії та кількості підприємств, що почали сплачувати дивіденди
Проте, як показали подальші дослідження, не всі підприємства можуть за допомогою виплати дивідендів підвищити попит і ціну на свої акції. На деяких підприємствах виплата дивідендів спричинила зниження курсової вартості і, як наслідок, появу дивідендного дисконту. За емпіричними даними нами було визначено умови отримання дивідендної премії при розміщенні акцій підприємства на фондовому ринку, за яких виплата дивідендів приведе до підвищення попиту на акції, а відповідно й їхньої переоцінки. Було визначено, що активну дивідендну політику доцільно проводити підприємству, якщо його структура власності не сприяє захисту прав міноритарних акціонерів, що виражається в переважному володінні акціями мажоритарними акціонерами, з яких більшість акцій належить одній юридичній особі, а решта - розпорошена серед міноритарних акціонерів фізичних осіб. Проте, розмір виплачених дивідендів забезпечує високу рентабельність балансової вартості акції, хоча не завжди відповідає динаміці чистого прибутку. Умовою реалізації такої дивідендної політики є спрямованість підприємства на стратегічний розвиток, що виражається в переважній частці необоротних активів в структурі майна, та конкурентоспроможність продукції підприємства, яка характеризується її рентабельністю та обумовлює високий рівень рентабельності капіталу, що дозволяє підприємству сплачувати дивіденди навіть при незначній частці власного капіталу в його загальній структурі без ризику втрати фінансової стабільності.
Формування ефективної дивідендної політики підприємства передбачає визначення такого розміру дивідендних виплат, який при задоволенні прав акціонерів на частину прибутку АТ забезпечить наявність достатнього обсягу інвестиційних ресурсів як внутрішніх, так і зовнішніх, не порушить фінансового стану підприємства та сприятиме ефективній взаємодії учасників корпоративних відносин.
Пропонується методика забезпечення формування ефективної дивідендної політики АТ, суть якої полягає у визначенні розміру дивідендних виплат, що задовольняє очікування акціонерів і потенційних інвесторів та забезпечує підвищення ринкової вартості підприємства і залучення додаткових інвестиційних ресурсів без ризику погіршення його фінансового стану і зміни структури власників. Формування ефективної дивідендної політики має бути здійснено на основі взаємодії акціонерів, правління та зовнішніх інвесторів і кредиторів та збалансуванні їх інтересів (рис. 4).
Розробка дивідендної політики має ґрунтуватися на індивідуальному підході до кожного АТ, спираючись на його фінансово-економічні показники, можливості і потреби залучення інвестиційних ресурсів, та враховувати загрози щодо втрати контролю над АТ. Тому моделювання прийняття рішення про виплату дивідендів і їх розмір, що відповідає ефективній дивідендній політиці, має здійснюватися за алгоритмом, зображеним на рис. 5.

Рис. 4. Формування ефективної дивідендної політики на основі взаємодії всіх учасників корпоративних відносин

Рис. 5. Алгоритм прийняття рішення про виплату дивідендів
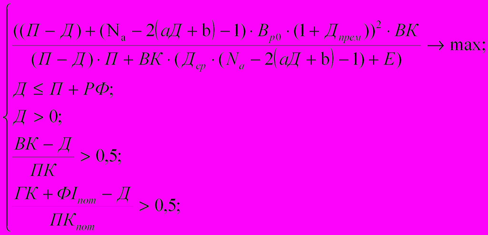
Пропонується наступна модель прийняття рішення про необхідність виплати і розмір дивідендів, розроблена з використанням методу багатокритеріальної оптимізації за критеріями максимізації обсягу інвестованого в розвиток підприємства капіталу і мінімізації витрат на його обслуговування, яка має вигляд:

де Дпрем – дивідендна премія як частка до ринкової вартості акції; П – чистий прибуток підприємства, що підлягає розподілу, грн; Д – розмір дивідендного фонду, грн; ВК - власний капітал, грн; Дср – середній річний розмір виплачених дивідендів на акцію, грн; Е – витрати на емісію акцій, грн; a, b – параметри рівняння, що описує залежність кількості акціонерів, незадоволених дивідендною політикою підприємства, від розміру дивідендних виплат; Na – кількість акцій АТ до здійснення додаткової емісії, од.; Вр0 – ринкова ціна акції до виплати дивідендів, грн; РФ – розмір резервного фонду підприємства, грн; ПК – позиковий капітал підприємства, грн; ПКпот – поточні зобов’язання підприємства, грн; ГК – грошові кошти, грн; ФІпот – поточні фінансові інвестиції, грн.
Розв’язок розробленої системи рівнянь дозволить підприємству визначити розмір дивідендів, що підлягає виплаті, якій відповідає проведенню ефективної дивідендної політики. Рішенням також може бути відмова від виплати дивідендів.
Висновки. Вітчизняний фондовий ринок за рядом ознак можна вважати неефективним, що зумовлює доцільність застосування при формуванні дивідендної політики АТ основних положень біхеврістичної фінансової теорії, а саме теорії задоволення вподобань інвесторів, яка стверджує, що існують періоди, коли інвестори надають перевагу інвестуванню коштів в акції, за якими сплачуються дивіденди, що спричиняє надмірний попит на них і їх переоцінку на ринку. Це дозволяє підприємствам отримувати додаткові інвестиції при формуванні відповідної дивідендної політики. Такі положення послужили основою розробленої в роботі методики формування дивідендної політики, суть якої полягає у визначенні розміру дивідендних виплат, який задовольняє очікування акціонерів і потенційних інверсорів, та забезпечує підвищення ринкової вартості підприємства і залучення додаткових інвестиційних ресурсів без ризику погіршення його фінансового стану і зміни структури власників.
Література
- Miller M. H. Dividend Policy, Growth and the Valuation Shares / M. H. Miller, F. Modigliani // Journal of Business. – 1961. –№ 34. – P.411 – 433.
- Gordon M. J. Dividends, Earnings, and Stock Prices / M. J. Gordon // Review of Economics and Statistics. – 1959. - № 41. – P. 99 – 105.
- Lintner J. Distribution of Incomes of Corporations Among Dividends, Retained Earnings and Taxes / J. Lintner // American Economic Review. – 1956. – № 56. – P. 97 – 113.
- Litzenberger R. H. The Effect of Personal Taxes and Dividends on Capital Asset Prices / R. H. Litzenberger, K. Ravaswamy // Journ. Financial Econ. – 1979. – June. – P. 163 – 196.
- Franklin A. A theory of dividends based on tax clienteles / A. Franklin, A. E. Bernardo, I. Welch // Journal of Finance. – 2000. - № 55 – Р. 2499 – 2536.
- Easterbrook F. H. Two Agency-Cost Explanations of Dividends / F. H. Easterbrook // American Economic Review. – 1984. - № 74. - Р. 650 – 659.
- Shiller R. Do Stock Prices Move Too Mush To Be Justified by Subsequent Changes in Dividends / R. Shiller // American Economic Review. – 1981. - №71. – P. 421 – 36.
- Shefrin H. Explaining Investor Preference for Cash Dividens / H. Shefrin, M. Statman // Journal of Financial Economics. – 1984. – no. 2. – P. 253 – 282.
- De Bondt W., Thaler R. Does Stock Market Overreact? / W. De Bondt, R. Thaler //Journal of Finance. – 1985. – №40. – P. 793 – 805.
- Baker M. A Catering Theory of Dividends / М. Baker, J. Wurgler // Journal of Finance. – 2004. – June, vol. 59, №1. – Р. 1 – 33.
- Black F. The affects of dividend yield and dividend policy on common stock prices and returns / F. Black, M. S. Scholes // Journal of Financial Economics. – 1974. – №1 – Р. 1 – 22.
- Богачев С. В. Капиталотворческая функция промышленных корпораций: [монография] / С. В. Богачев. – Донецк : НАН Украины. Ин-т экономики пром-сти, 2005. – 236 с.
- Лігоненко Л. О., Клоченок Л. В., Юрчук Н. В. Дивідендна політика підприємства / Л. О. Лігоненко, Л. В. Клоченок, Н. В. Юрчук. – К. : Київ. держ. торг.-екон. ун-т, 2000. – 67 с.
