Мощи взрослому населению и признании утратившими силу отдельных структурных элементов приказа Министрества здравоохранения Республики Беларусь от 13 июня 2006 г
| Вид материала | Документы |
СодержаниеАлгоритм 39 «Черепно-мозговая травма» Алгоритм 42 «Травмы груди» |
- Постановление правления национального банка республики беларусь, 682.95kb.
- Инструкция о порядке и критериях определения группы и причины инвалидности, перечне, 598.07kb.
- Указа Президента Республики Беларусь от 25 февраля 2011 г. №72 «О некоторых вопросах, 333.82kb.
- Постановление совета министров республики беларусь, 107.04kb.
- Постановление совета министров республики беларусь, 112.57kb.
- Постановление совета министров республики беларусь, 1007.45kb.
- Об изменении и признании утратившими силу некоторых постановлений Совета Министров, 464.19kb.
- Постановление министерства труда и социальной защиты республики беларусь, 1024.51kb.
- На основании подпункта 1 пункта 2 Указа Президента Республики Беларусь от 25 февраля, 173.23kb.
- Нистерстве природных ресурсов и охраны окружающей среды Республики Беларусь, утвержденного, 440.81kb.

лгоритм 39 «Черепно-мозговая травма»
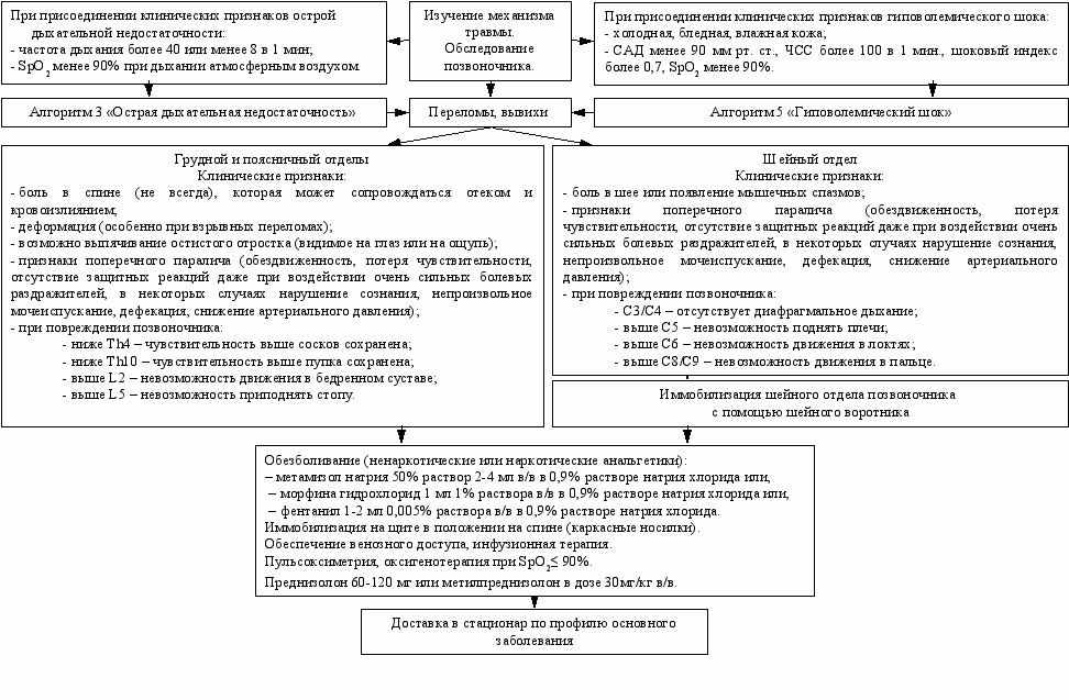
лгоритм 40 «Травма позвоночника»
А
лгоритм 42 «Травмы груди»
лгоритм 43 «Травмы живота»