План урока Организационный момент. Задание на отработку понимания на слух математической речи. Игра "Счастливый случай"
| Вид материала | План урока |
СодержаниеЗадание на отработку понимания на слух математической речи. 5. Проверочная самостоятельная работа.(тесты) |
- План урока: Организационный момент Объяснение новой темы Подведение итогов Домашнее, 146.54kb.
- План урока : Организационный момент. Объяснение нового материала. , 110.33kb.
- План урока: Организационный момент Изложение нового материала. Закрепление изученного., 116.39kb.
- План урока: Организационный момент. Постановка темы и цели урока 5 мин. Изучение нового, 76.57kb.
- План урока I. Организационный момент. Сообщение цели и задач урока. II. Проверка домашнего, 29.95kb.
- План урока: Организационный момент > Устный счет Изучение нового материала > Физминутка, 72.96kb.
- Экологическая игра «Счастливый случай», 93.76kb.
- План урока: Части блоки урока Временная реализация (в минутах) Организационный момент, 103.98kb.
- Екатеринбургское суворовское военное училище Интегрированная игра «Счастливый случай», 60.72kb.
- План урока I. Организационный момент. II. Речевая зарядка. III. Активизация употребления, 97.22kb.
Тема: “Алгебраические дроби” (урок смотр знаний)
Цели урока:
- образовательная - повторить и систематизировать знания учащихся по темам: «Сокращение дробей», «Сложение и вычитание алгебраических дробей», «Умножение и деление алгебраических дробей»;
- развивающая – сформирование навыков самостоятельной работы по карточкам, развитие логического мышления, математической речи;
- воспитательная -воспитание внимания, тренировка памяти, развитие сообразительности, находчивости, товарищества;
Оборудование: чистые листочки, карточки с заданиями, таблица ответов.
План урока
Организационный момент.
- Задание на отработку понимания на слух математической речи.
- Игра “Счастливый случай”.
- Работа в группах.
- Проверочная самостоятельная работа.
- Итог урока.
- Задание на дом.
Ход урока
Организационный момент.
Здравствуйте, садитесь. Французский писатель 19 столетия Анатоль Франс однажды заметил: “Учиться можно только весело. Чтобы переваривать знания, надо поглощать их с аппетитом”. Так вот, давайте сегодня на уроке будем следовать этому совету писателя, будем активны, будем поглощать знания с большим желанием, ведь они пригодятся вам в дальнейшей жизни.
Сегодня на уроке перед вами стоит задача – показать, как вы знаете способы разложения многочлена на множители, как умеете их применять при работе с алгебраическими дробями.
- Задание на отработку понимания на слух математической речи.
(На центральной доске выписаны формулы, у каждой формулы свой номер. Учитель читает левую и правую часть какой-либо формулы (читает один раз), а ученики на листочках записывают номер этой формулы. Двое работают на откидных досках. В конце получится число. Это число мы и проверяем.)
-
1. Квадрат суммы двух выражений.
2. Произведение суммы двух выражений и неполного квадрата их разности.
3. Разность квадратов двух выражений.
4. Разность кубов двух выражений.
5. Квадрат первого выражения минус удвоенное произведение первого и второго выражений, плюс квадрат второго выражения.
6. Произведение разности двух выражений и их разности.
1.а3+b3=(a+b)(a2-ab+b2)
2. (a-b)2=a2-2ab+b2
3. (a-b)(a+b)=a2-b2
4.a3-b3=(a-b)(a2+ab+b2)
5. (a+b)2=a2+2ab+b2
Полученное число: 513423
-
Критерий оценки:
6 – “5”
5 – “4”
3-4 – “3”
(Оценка работающих у доски.. Взаимопроверка соседей по парте. Оценка работ).
Дополнительные вопросы:
1. Определение алгебраической дроби.
2. Основное свойство дроби.
3.Правило приведения дробей к общему знаменателю.
4.Правило сложения и вычитания алгебраических дробей.
5.Правило умножения и деления алгебраических дробей.
3. Игра “Счастливый случай”.
(Каждый участник получает карточку с дифференцированным заданием, после выполнения которого он называет номер своей карточки и получит ответ. Если ученик справился быстро с заданием, он может получить следующую карточку. Решив правильно 2-3 задания, он получает оценку. Все ответы заносятся в таблицу).
Задания на карточках:
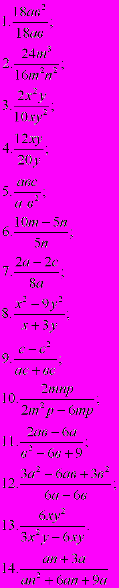
I. Тема « Сокращение дробей»

| 1 | 2 | 3 | 4 | 5 | 6 | 7 | 8 | 9 | 10 | 11 | 12 | 13 | 14 | |
| в | ![]() | ![]() | ![]() | ![]() ![]() | ![]() | ![]() ![]() | х-3у | ![]() | ![]() | ![]() | ![]() | ![]() | ![]() | |
II.Тема «Сложение и вычитание алгебраических дробей»

| 1 | 2 | 3 | 4 | 5 | 6 | 7 | 8 | 9 | 10 | 11 | 12 | 13 | 14 | 15 |
![]() | ![]() | - ![]() | ![]() | ![]() | 1 | ![]() | - ![]() | - ![]() | ![]() | ![]() | ![]() | ![]() | ![]() | ![]() |
II. Тема «Умножение и деление алгебраических дробей»

1.
14. 
2.
15. 
3. 2с 16.

4.
17. 
5.

6.

7.

8.

9.

10.

11.


12.

13.


4. Работа в группах.Решить уравнение.

Ответы: 1 – 2; 2 – 1.
5. Проверочная самостоятельная работа.(тесты)
1. Сократить дробь

;а) –(а+в); б)
; в)
; г)
.2. Найдите сумму дробей
.а)
; б) 0; в)
; г)
.3.Найдите разность дробей
.а)
; б)
; в)
; г)
.4.Выполните умножение

а)
; б)
; в)
; г)
. Ответы: ВВАА
6. Итог урока.
Сегодня на уроке каждый получил оценку, равную средней арифметической 5 заданий
7. Задание на дом: №490(2,4),491(2,4).


























