Конспект лекций по курсу «Теория организации»
| Вид материала | Конспект |
- Конспект лекций для студентов специальности «Менеджмент организации», 858.96kb.
- Конспект лекций по курсу «Организация производства», 2032.47kb.
- Конспект лекций по курсу «Организация производства», 2034.84kb.
- Конспект лекций по курсу "Начертательная геометрия и инженерная графика" Кемерово 2002, 786.75kb.
- Конспект лекций по курсу "Теория вероятностей и математическая статистика", 1417.24kb.
- Конспект лекций по курсу «бизнес-планирование в условиях рынка», 461.46kb.
- Конспект лекций по курсу «Неорганическая и аналитическая химия», 18.21kb.
- Конспект лекций по курсу «Муниципальное право России», 836.85kb.
- Конспект лекций по курсу «Теория рекреалогии», 282.96kb.
- Конспект лекций по курсу "Информатика и использование компьютерных технологий в образовании", 1797.24kb.
Дегтев П.А., Дегтева М.П. Конспект лекций по курсу «Теория организации».
Объект, предмет, цель науки
Объект науки – любой объект, который может быть представлен через взаимотношения между частями целого или целого с окружающей его внешней средой.
Предмет науки – организационные отношения.
Цель науки – раскрыть:
- Принципы построения организации как системы.
- Принципы, законы и закономерности организации.
- Методы построения и развития организации.
Методы исследования в теории организации.
- Дедукция. Предусматривает исследование путем перехода от общего к частному.
- Индукция. Предусматривает исследования путем перехода от частного к общему.
- Аналогий. Конкретное знание переносится на наименее изученный предмет.
Раздел I. Организационные системы
Тема 1. Организация как система
- Система и ее основные свойства
Система – (от греч. Sistema - целое, созданное из частей; соединение), множество элементов, находящихся в отношениях и связях друг с другом, образующих определенную целостность, единство.
Системами являются: живой организм, образуемый совокупностью клеток; предприятие, объединяющее и связывающее в единое целое множество производственных процессов, коллективов людей, различные виды ресурсов, готовую продукцию и т.д.
Элемент – простейшая неделимая часть системы. Элементы системы соединяются в единое целое посредством связей.
Ответ на вопрос, что является такой частью, может быть неоднозначным и зависит от цели рассмотрения объекта как системы.
Понятие «связь» входит в любое определение системы наряду с понятием «элемент». Связи характеризуется рядом свойств, например, сильные и слабые, внутренние и внешние, прямые и обратные.
Структура – совокупность связей между элементами системы отражающая их взаимодействие.
Подсистема – набор элементов, представляющих автономную область внутри системы.
Признаки систем:
- Множество составляющих ее элементов.
- Единство главной цели для всех элементов.
- Наличие связей между элементами.
- Целостность и единство элементов. Это означает, что все части системы служат общей цели ее функционирования и способствуют формированию наилучших результатов применительно к определенному критерию эффективности.
- Наличие структуры и иерархичности.
- Относительная самостоятельность.
- Наличие управления.
Свойства систем:
- Связность – реализуется в совместном действии ее элементов.
- Эмерджентность – появление у системы свойств, не присущих составляющим его элементам.
- Самосохранение – реализуется в стремлении сохранить свою структуру и функции неизменными при наличии возмущающих воздействий.
- Организационная целостность – осуществляется в развитии самоорганизации и самоуправления.
- Адаптивность – приспособление системы к изменяющимся внешним и внутренним параметрам ее существования.
- Устойчивость – свойство системы сохранять состояние равновесия при воздействии на нее факторов, вызывающих определенные начальные отклонения.
- Синергизм – совместное действие для достижения общей цели, основанное на принципе, что целое представляет нечто большее, чем сумма его частей. Синеризм означает превышение совокупным результатом суммы слагающих его факторов. Так, доходы от совместного использования ресурсов превышают сумму доходов от использования тех же ресурсов по отдельности.
- Обособленность – это свойство характеризует границы систем, их обособленность от других систем и от тех, в которые они входят.
- Совместимость – взаимосвязанность элементов и подсистем одной системы с элементами и подсистемами другой системы.
- Управляемость – принципиальная возможность перевода системы из одного состояния в другое.
- Централизованность. Степень централизации системы, характеризует соотношение в ней централизации и децентрализации.
- Обратная связь – информация о выходном продукте используется для налаживания ее производственных функций.
- Классификация систем
Классификация систем может быть произведена по различным признакам, однако основной является группировка их в трех подсистемах:
Техническая система – станки оборудование и т. д. (Набор решений в технических системах ограничен. Их последствия предопределены.).
Биологическая система – флора и фауна (растение, муравейник, человек и т.д.). (Последствия решений в биологических системах иногда непредсказуемы.) В Китае перебили воробьев.
Социальная система – характеризуется наличием человека в качестве элемента системы. Семья, производственный коллектив, неформальная группа и т.д. (Решения в социальных системах характеризуются большим динамизмом как в количестве, так и в средствах и методах реализации).
Социальная система включает биологическую и техническую, а биологическая система – техническую.
Далее системы могут классифицироваться на:
- Искусственные (создаются по желанию человека: семья, конструкторское бюро, профсоюз и т.д.).
- Естественные (создаются природой, человеком или обществом: система мироздания, система землепользования).
Закрытые системы – закрытая система, как это становиться по названию - отграничена от окружающего мира. Взаимодействие происходит только внутри системы между ее структурными компонентами. Закрытая система стабильна, так как не подвержена изменениям при взаимодействии с окружением. Результатом всех перераспределений между элементами закрытой системы через определенный промежуток времени будет равномерное и однородное состояние. Наступает гибель системы.
- Открытые системы – системы, которые существуют не за счет стабилизации процессов, а за счет постоянного обмена с окружающей средой энергией, информацией и материей (органы местной власти, средства массовой информации и т.д.). Гибкое равновесие.
- Полностью предсказуемые системы функционируют по заранее заданным правилам, с заранее определенным результатом (система регистрации новых организаций, система обучения студентов в институте и т.д.
- Частично предсказуемые – вероятностные, например, научно-исследовательские подразделения, венчурная компания и т.д.
- Мягкие системы имеют высокую чувствительность к внешним и внутренним воздействиям, а вследствие этого слабую устойчивость. Система котировок ценных бумаг, ребенок в семье.
- Жесткие системы – это системы, основанные на высоком профессионализме руководителя и отлаженной технологии управления и производства. Обладают большой устойчивостью к внешним и внутренним воздействиям. Авторитарные режимы, компании с линейной структурой.
Каждая организация должна обладать всеми признаками системы. Отсутствие хотя бы одного из них ведет к гибели организации.
Тема 2. Социальная организация (социально-экономическая система)
Понятие социальной организации.
Объединения людей принято называть группами или, при определенных условиях, организациями. Эти объединения можно условно разделить на первичные и вторичные группы.
Первичные группы основаны на личных отношениях, эмоциях, взаимных симпатиях, на общих увлечениях и т.д. Например, семья – первичная ячейка общества.
Вторичные группы. Роли во вторичных группах строго распределены, эмоциональные отношения уходят на второй план. Основу вторичных групп составляют коллективы людей, объединившихся ради достижения общественно значимой цели. Такие вторичные группы называются организации. Например, магазины, предприятия, учебные заведения и т.д.
Четкой грани между первичными и вторичными группами нет. Например, религиозные организации, творческие коллективы, во главе которых стоит харизматическая личность. Харизма (с греч.) означает божий дар. Первичные группы христиан превратились со временем в организацию с жесткой иерархической структурой управления.
Дуализм понятия «организация».
Организация как объект – это искусственное объединение людей, являющееся элементом или частью общественной структуры и выполняющее определенные функции. Например, профсоюзная, партийная, торговая организация
Организация как процесс - это совокупность мероприятий, обеспечивающих взаимосвязь между элементами в процессе ее существования.
Причины создания организаций
Исходным моментом, побуждающим людей объединятся в организации является представление о том, что путем сотрудничества можно добиться более высоких результатов, как с точки зрения отдельной личности, так и организации в целом. Такое представление выдвигает на первый план проблему мотивации.
Мотив труда – стремление работника удовлетворить свои потребности (получить определенные блага) посредством трудовой деятельности.
Понятия «мотив труда» и «стимул труда» не тождественны.
Стимулирование – это создание условий трудовой ситуации, побуждающих человека действовать определенным образом.
Мотивация – это процесс изучения мотивов работников к труду и применения соответствующих этим мотивам стимулов для достижения целей организации.
Мотивационные теории, пытающиеся ответить на вопрос: «что побуждает людей к трудовой деятельности?» называют содержательными. Это теория «пирамида потребностей» А. Маслоу, двухфакторная теория Ф. Герцберга и др.
Мотивационные теории, пытающиеся ответить на вопрос: «Как стимулировать людей к трудовой деятельности?» называют процессуальными теориями. Это теория ожидания В. Врума, теория справедливости П. Гудмана и др.
Мотивы объединения людей в организации
В условиях рыночной экономики организация успешно развивается только в том случае, когда достижение общих целей осуществляется одновременно с удовлетворением индивидуальных целей всех членов коллектива и когда достижение личных целей осуществляется с учетом интересов всей организации.
Организации создаются людьми для достижения общественных, корпоративных и личных целей. Следовательно, организация является элементом общественной системы.
Организация является сложной системой.
Организация является целенаправленной системой.
Организация - управляемая система.
Организация – динамическая система.
Организация связана с внешней средой.
Организация – открытая система.
Организация имеет внутреннюю среду.
Каждая социальная организация должна обладать всеми признаками системы.
Отсутствие хотя бы одного из них неизбежно приводит организацию к ликвидации.
2.1. Последствия нарушения целостности социально-экономической системы
Отсутствие всего необходимого множества элементов организации может привести к нехватке ресурсов, отсутствию всех составляющих технологического процесса.
Отсутствие единства главной цели у всех элементов приводит к отсутствию единой сплоченной команды.
Недостаточно сформированные связи между элементами системы приводит к обособленности отдельных элементов организации от общего дела.
Недостаточная самостоятельность элементов системы приводит к отсутствию творческого подхода к делу, падению интереса к результатам деятельности.
Отсутствие четко выраженного управления и осуществления управленческих функций может привести к хаосу и анархии в работе.
2.2. Типология социальных организаций
Правительственные (министерство, аппарат президента и т.д.).
Неправительственные (не имеющие такого статуса).
Коммерческие (цель – получение максимальной прибыли).
Некоммерческие (цель – удовлетворение потребностей самой организации).
Бюджетные (служба занятости, больницы и т.д.) используют бюджетные средства
Внебюджетные (самостоятельно изыскивают источники финансирования) и т.д.
Тема 3. Хозяйственные организации
3.1. Типология хозяйственных организаций
. 3.2.Классификация по форме ответственности
Форма ответственности организации перед клиентом при нарушении обязательств может быть долевой, солидарной и субсидиарной при наличии нескольких должников.
Долевая ответственность – это могут быть равные доли или доли, пропорциональные вкладам.
Солидарная ответственность – это равная ответственность независимо от доли в общем вкладе.
Субсидиарная ответственность – это дополнительная ответственность должников или третьих лиц (например страховщиков или других гарантов сделки).
3.3.Классификация по функциональному назначению
По функциональному назначению выделяют: факторинговые, инжиниринговые и лизинговые фирмы.
Факторинговая фирма покупает дебиторскую задолженность клиента, удерживая комиссионные.
Инжиниринговая фирма строят свой бизнес на предоставении услуг клиенту при строительстве промышленных и других объектов.
Лизинговая фирма предоставляют в долгосрочную аренду машины, оборудовние, транспортные средства с последующим выкупом его по остаточной стоимости, либо пролонгацией договора, либо возвратом лизинговой компании.
Тема 4. Организация и управление (СУ)
Ф. Тейлор. Книга «Принципы научного управления». Отделил планирование труда, от самого труда, выделив одну из основных управленческих функций.
Г. Эмерсон «12 принципов производительности труда». «Работа производительная и напряженная. Работать напряженно – значит, прилагать к делу максимальные усилия, работать производительно – значит прилагать к делу усилия минимальные. Истинная производительность всегда дает максимальные результаты при минимальных усилиях… напряжение, наоборот, дает довольно крупные результаты при усилиях ненормально тяжелых»
А. Файоль в своей книге «Общая промышленная администрация» выделил пять функций и 14 принципов управления, обобщил управленческий опыт и создал логически стройную теорию менеджмента.
А. Файоль. «Управлять – значит вести предприятие к его цели, извлекая максимальные возможности из всех имеющихся в его распоряжении ресурсов».
Успехи организации во многом зависят от способности руководителя решать проблемы, которые часто принимают форму конфликтов.
Конфликт между руководителем и исполнителем развивается в следующей последовательности: полная поддержка – невосприимчивость – поляризация – столкновение – антагонизм – конфликт.
Создание конфликта:
Уклониться от ответственности.
Быть резким, мрачным и грубым.
Взваливать на других свои ошибки.
Напускать на себя излишнюю строгость.
Настаивать на своей власти и исключительности.
Хвастаться своими знаниями или большим опытом.
Не обращать внимания на предложения подчиненных.
Напоминать подчиненным об их старых ошибках и прмахах.
Предотвращение конфликтов
Критиковать только действия, а не личность.
Принимать компромиссные решения.
Честно и открыто дискутировать.
Находить общие точки зрения.
Признавать мнения других.
Слушать собеседника.
Улыбаться и шутить.
Постоянно учиться.
СУ - включает три основные части:
- Менеджмент.
- Методология управления и механизм управления.
- Исполнители.
Управление – это процесс реализации основных функций (планирование, организация, мотивация и контроль) с помощью связующих процессов (коммуникация, принятие управленческого решения).
4.1. Цели управления
Глобальная цель управления заключается в максимальном удовлетворении потребностей и интересов персонала, компании и общества. Данная цель является базовой для формирования миссии, целей, функций и задач компании.
4.2. Функции, процедуры и процесс управления

Цели компании разделяют по сферам деятельности (функциям).
Существует базовый набор конкретных функций из которого формируется набор конкретных функций для любой организации:
- Управление производством продукции, услуг, информации, знаний.
- Управление бухгалтерским учетом.
- Управление техническим и социальным развитием.
- Управление трудом и заработной платой.
- Управление персоналом.
- Управление маркетингом.
- Управление реализацией.
- Управление финансами.
- Управление экономикой и т.д.
Решение задач, в рамках каждой конкретной функции, осуществляется по универсальному алгоритму.
4.3.Процедуры управления
Набор процедур для всех этапов одинаков и включает: анализ ситуации, идентификация проблемы, определение критериев выбора, разработка альтернатив, выбор наилучшей альтернативы, согласование решения, управление реализацией, контроль и оценка результатов
4.4. Операции управления
Каждая процедура включает следующий набор операций: сбор информации, обработка, накопление, хранение, подготовка совещания, оформление протокола и т.д.
4.5. Механизм управления
Механизм управления это:
- Организационная структура управления.
- Оргтехника.
- Офисная мебель.
- Сети связи.
- Информационное обеспечение.
- Система документооборота.
Тема 5. Организация (функция)
5.1 Основные понятия
Организация (функция) – это создание и совершенствование структуры управления, делегирование полномочий.
Делегирование – это передача задач и полномочий лицу, которое принимает на себя ответственность за их выполнение.
Полномочия – это ограниченное право использовать ресурсы организации (объекта) и направлять усилия некоторых ее сотрудников на выполнение определенных задач.
Полномочия делегируются должности, а не индивиду, который занимает ее в данный момент. Это отражено в старой военной поговорке — «честь отдается мундиру, а не человеку». Когда индивид меняет работу, он теряет полномочия старой должности и получает полномочия новой.
Ответственность – это обязательство выполнять имеющиеся задачи и отвечать за их решение.
Под обязательством мы понимаем то, что от индивида ожидается выполнение конкретных требований, когда он занимает определенную должность в организации. Фактически, индивид заключает контракт с организацией на выполнение задач данной должности в обмен на получение определенного вознаграждения. Ответственность означает, что работник отвечает за результаты выполнения задачи перец тем, кто передает ему полномочия.
Принципы делегирования:
- Подчиненный должен обладать достаточными полномочиями для достижения требуемого результата;
- Подчиненный должен знать, кто его уполномочил и перед кем он несет ответственность;
- Передаются лишь полномочия. Старшее должностное лицо продолжает нести ответственность за своего подчиненного;
- Каждый руководитель принимает решения в пределах своих полномочий. Все, что превышает его полномочия, передается высшим звеньям управления
5.2 Охват контролем (норма управляемости)
Термин «охват контролем» означает размер команды, находящейся в подчинении одного руководителя.
- При увеличении охвата контролем количество уровней управления уменьшается;
- С увеличением ранга руководителя охват контролем уменьшается.
Формула В.С. Грайчунаса:
n
n 2
С = ----- + n – 1,
2
где n – количество подчиненных;
С – количество потенциальных связей.
| Потенциальные взаимосвязи | |
| Количество подчиненных | Количество взаимоотношений |
| 1 2 3 4 … 10 | 1 5 14 35 … 5129 |
Арифметическое увеличение количества подчиненных ведет к геометрическому увеличению количества взаимосвязей, находящихся под контролем руководителя.
Виды взаимосвязей: индивидуальное руководство, групповое руководство и перекрестная связь.
Факторы, влияющие на тип и частоту взаимосвязей между руководителями и подчиненными:
- Требуемый контакт
- Уровень образования и подготовленность подчиненного
- Способность общения (коммуникабельность).
Вывод: При увеличении численности подразделения свыше 500 человек оно выделяется в СБЕ (СХЕ).
5.3 Специализация работ
Специализация работ – это обособление отдельных видов труда и отдельных трудовых функций в самостоятельные сферы деятельности различных людей.
График изменения эффективности работы.
Зона А – зона эффективной работы.
За пределами зоны А эффективность работ падает.
Ширина зоны А зависит от возраста, условий и стажа работы.
Проектируя разделение труда, следует учитывать его технические, экономические, физиологические и социальные границы.

5.4 Организационные структуры
Линейная структура.

Достоинства:
- Высокая степень разделения труда;
- Эффективный контроль исполнения команд;
- Наличие взаимоувязанной системы обобщенных формальных правил и стандартов, обеспечивающей однородность выполнения сотрудниками своих обязанностей и скоординированность различных задач;
- Дух формальной обезличенности, с которым официальные лица выполняют свои должностные обязанности;
- Осуществление найма на работу в строгом соответствии с квалификационными требованиями к соответствующей должности.
Недостатки:
Неспособность к внедрению новшеств;
Отсутствие достаточной мотивации сотрудников.
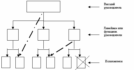
Патологии в структуре

Пунктир: двойное подчинение;
Штрихпунктир: межранговое подчинение;
Зачеркнутый квадрат: единственная подчиненная система.

Достоинства:
- Стимулирует деловую и профессиональную специализацию;
- Уменьшает дублирование усилий и потребление материальных ресурсов в функциональных областях;
- Улучшает координацию в функциональных областях.
Недостатки:
- Отделы могут быть более заинтересованы в реализации целей и задач своих подразделений, чем общих целей организации;
- В большой организации цепь команд от руководителя до исполнителя становится слишком длинной.
Дивизиональные структуры.
Чтобы справиться с проблемами, обусловленными размерами фирмы, диверсификацией, изменениями технологии и внешней среды, многие руководители крупных компаний перешли на децентрализованные дивизиональные структуры управления – продуктовые и региональные.
Продуктовая дивизиональная структура

Региональная дивизиональная структура

Некоторые проблемы механистических структур могут быть решены при введении органических или адаптивных структур. Основные типы – это матричная, проектная и сетевые структуры. В матричной и проектной организациях происходит наложение специально созданных, временных целевых структур на постоянную структуру организации. Происходящее при этом наложение полномочий иной раз приводит к борьбе за власть, конформизму при выработке групповых решений и чрезмерным затратам.
Проектная организация
Проектная организация – это временная организация, создаваемая для решения конкретной комплексной задачи. После выполнения задачи специалисты возвращаются в свои подразделения. Руководитель проекта отвечает за проект и ресурсы.
Матричная структура
Сетевая организация
Сетизация (создание сетевых структур) представляет собой, по сути, отказ от вертикальной иерархии бюрократической организации, создание вместо функциональных структур независимых рабочих групп, переход к горизонтальным структурам организации и замену в значительной степени административных отношений контрактными (договорными).
Сетевая организация – это объединение организаций, основанное на кооперации и взаимном владении акциями участниками группы (агентами): производителями, поставщиками, торговыми и финансовыми компаниями. Создание сетевых организаций способствует более эффективному использованию коллективных активов.
Формирование по технологическому принципу
Ао ..... Аn - предприятия.
а – сеть связей, характерная для металлургической, текстильной, лесной и др. отраслей.
б – сеть связей, характерная для авиационной, автомобильной, судостроительной отраслей.
с – сеть связей, характерная для нефтехимической, обувной, швейной промышленности.

- Основные цели создания сетевых структур:
- Оптимизация производственно-хозяйственных связей;
- Концентрация капитала;
- Создание условий для диверсификации производства;
- Обеспечение гибкой реакции на изменение внешней среды;
- Возможность маневрирования ресурсами;
- Создание собственной системы научно-технического развития.
Участники сетевых структур объединяются, как правило, на договорных началах, что обеспечивает свободу входа и выхода, привлечение других участников. Ограничений на число участников не существует, время существования, количественный и качественный состав сети определяется экономической и технологической целесообразностью.
Отношения между участниками таких структур (ФПГ, холдинг и т.д.) строятся на приобретении контрольного пакета акций (материнские и дочерние компании), на перекрестном владении акциями (сестринские компании) и т.д.
Холдинговая компания.
Холдинговая компания представляет собой организацию, владеющую контрольными пакетами акций других компаний с целью осуществления по отношению к ним функций контроля и управления.
Преимущества холдинговых структур:
- возможность создания замкнутых технологических цепочек от добычи сырья до доведения готовой продукции потребителю,
- экономия на торговых, маркетинговых и прочих услугах,
- использование преимуществ диверсификации производства,
- единая налоговая и кредитно-финансовая политика,
- возможность варьирования ресурсами в рамках холдинговой системы.
Высшим органом управления холдинговой компании является общее собрание акционеров, а в промежутках между ними – правление. Советы директоров дочерних компаний назначаются руководством холдинга и действуют в качестве их доверенных лиц.
В ведении головной холдинговой компании находятся:
- вопросы выработки стратегии,
- формулировка целей развития,
- осуществление координационных и коммуникационных связей между субъектами холдинговой структуры,
- единое финансовое руководство в целях оптимального распределения и использования ресурсов и привлечения капитала,
- подбор и утверждение высшего управленческого персонала,
- аудиторская деятельность, управление всеми видами ресурсов.
Тактические вопросы деятельности компании находятся в ведении дочерних обществ, имеющих самостоятельность в принятии решений, касающихся их оперативного функционирования на рынке.
Финансово-промышленная группа
ФПГ представляют собой диверсифицированные многофункциональные структуры, образующиеся в результате объединения капиталов предприятий, кредитно-финансовых и инвестиционных институтов, а также других организаций с целью максимизации прибыли, повышения эффективности производственных и финансовых операций, усиления конкурентоспособности на внутреннем и внешнем рынках, упрочения технологических и кооперационных связей, роста экономического потенциала всей группы в целом и каждого из ее участников в отдельности.
Характерной чертой ФПГ является их многоотраслевая направленность, что позволяет им гибко и оперативно реагировать на неожиданные изменения внешней среды.
Способы создания.
1. Добровольное объединение капиталов и создание акционерного общества;
2. Добровольная передача пакетов акций в управление одному из участников;
3. Приобретение одним из участников группы пакетов акций других участников.
Мировой опыт учит, что ФПГ, охватывающие промышленные предприятия, исследовательские организации, торговые фирмы и банки, многие другие структуры, основанные на внутренних договорных отношениях, стали своеобразным каркасом рыночной экономики целого ряда стран.
Виртуальные организации
“Виртуальное предприятие – это добровольная временная форма кооперации нескольких, как правило, независимых партнеров (предприятий, институтов, отдельных лиц), обеспечивающая радикальное конкурентное преимущество благодаря оптимизации системы организации производства товаров и услуг на основе согласованных представлений о содержании хозяйственного процесса и явно выраженной культуры доверия”.
Виртуальное предприятие - гибкая, распределенная в пространстве совокупность компаний-«агентов», обладающих ключевыми компетенциями, наиболее приспособленная для скорейшего выпуска новой продукции (услуги), повышения ее конкурентоспособности и оперативной поставки на рынок с целью максимально удовлетворить требования клиента- заказчика.
Пример:
Компания «Найк» осуществляет продажу спортивной обуви и одежды. Основная деятельность «Найк» — разработка моделей продукции, маркетинг и торговля. Ее продукты производятся более эффективно с помощью большого числа компаний-поставщиков, расположенных в Азии или других регионах и специализированных на определенных моделях обуви и одежды. Все компании, образующие альянс, связаны между собой договорными отношениями.
Данная система организации бизнеса сделала возможным для «Найк» сосредоточить большой объем капитала на инвестировании в производственное оборудование для других компаний и сконцентрироваться на деятельности, которую она выполняет лучше: проектировании, маркетинге и продаже продуктов. Благодаря этому «Найк» довела до совершенства свою деятельность по реализации продуктов.
Электронная коммерция – это ведение бизнеса с использованием современных информационно-коммуникационных технологий.
- В 70-х годах – начало использование сетевых информационных технологий. Интернет обеспечил:
- Доступ к информации внешних организаций находящихся в любой точке земного шара.
- Появление виртуальных организаций. (Создаваемые в сети электронные представительства являются виртуальным отображением организации),
Общемировой доход от использования средств электронной коммерции составил:
2003 год – 1,3 трлн. долларов.
В Москве успешно работает более 600 виртуальных Интернет - магазинов.
Три этапа внедрения сетевых технологий:
Система «бизнес – бизнес» - деловые отношения между организациями.
Система «бизнес - клиент» - деловые отношения между организацией и потребителем.
Объем реализации в сфере «бизнес – клиент» составляют 20% от общего объема.
Классификация организационных структур Майка Бурке (Франция)
Оранжерея, характерна для статических организаций, все усилия сосредоточены на сохранении достигнутого.
Собиратели отдельных колосков. Это мелкие и средние предприятия, деятельность которых определяется случаем и удачей. Структура неопределенная, поведение на рынке определяется руководителем, мотивация слабая, текучесть кадров высокая, перспективы неопределенны
Огород. Организация, как правило, имеет линейную структуру, стремится сохранить позицию на традиционном рынке, использует проверенные временем методы с минимальными изменениями. Мотивация на низком уровне.
Французский сад. Ярко выраженная иерархическая структура, отношения в организации бюрократизированы, люди – винтики, необходимые для функционирования системы.
Крупная плантация. Развитая дивизиональная структура, хорошая адаптация к окружающей среде, хорошие горизонтальные связи благодаря поощрительной системе мотивации.
Лиана. Минимальное количество персонала, использование современных информационных технологий, ориентация сотрудников на достижение общей цели, высокая ответственность сотрудников, эффективная мотивация.
Косяк рыб. Высокая маневренность и гибкость. Постоянное изменение структуры и поведения в зависимости от конъюнктуры рынка, особое внимание к подбору кадров.
Кочующая орхидея. Присуща неформальным организациям, которые, исчерпав возможности одного рынка, оперативно переходят к другому. Структура постоянно меняется, количество сотрудников невелико. Главная цель – найти уникальный товар и предложить его максимальному числу клиентов.
Поиск эффективных форм организации межфирменных отношений, которые занимали бы некое промежуточное положение между чисто рыночной средой и внутрифирменной организацией продолжается в течение всего столетия. Эти искания диктуются стремлением к оптимальному соответствию преимуществ концентрации материальных и нематериальных ресурсов с преимуществами децентрализации управления и ответственности.
В. Дементьев
5.6. Влияние внешней среды на структуру организации

Конец ХIХ – начало ХХ века. Появление и развитие линейно- функциональной структуры.
1940 – 1950 гг. Возникновение дивизиональных структур.
1960 – 1070 гг. Появление матричной структуры.
1980 г. Начало движения к сетевой форме (адаптивной, гибкой структуре), сочетающей в себе элементы специализации функциональной формы, автономность дивизиональной структуры и возможность переброски ресурсов проектной и матричной организаций.
