Характеристика предмета «Радиоприемные устройства», взаимосвязь с другими
| Вид материала | Реферат |
СодержаниеРаздел 5. регулировка в радиоприемниках. |
- Радиоприемные устройства, 42.26kb.
- Рабочая программа по дисциплине радиоприемные устройства для специальности 210405 радиосвязь,, 156.18kb.
- Курс лекций по дисциплине: «Электротехнические материалы», 2805.81kb.
- Компьютерные демонстрационные программы как необходимый элемент аудиторной и самостоятельной, 48.43kb.
- Класифікація периферійних пристроїв, призначення, склад, стисла характеристика, 1075.49kb.
- Программа дисциплины "Политические теории устройства общества" для направления, 171.7kb.
- "Основные устройства эвм, их функции и взаимосвязь в процессе работы. Магистрально, 144.73kb.
- Федеральное агентство по образованию, 789.26kb.
- Методическое письмо «О преподавании предмета «Информатика и информационно-коммуникационные, 1825.26kb.
- Производственная программа предприятий сервиса. Характеристика трудовых ресурсов, занятых, 21.24kb.
Тема 4.1. Амплитудные детекторы (АД)
Назначение детектора в радиоприемниках и их разновидности.
Детекторы АС сигналов. Показатели качества амплитудных детекторов: коэф-
фициент передачи, входное сопротивление, коэффициент фильтрации, искажение
сигнала. Детекторная характеристика, линейное и нелинейное детектирование.
Схемы диодных детекторов: последовательная, параллельная, по схеме удвоения.
Зависимость показателей качества детектора от параметров элементов схемы,
Инерционность нагрузки, влияние входа следующего каскада. Амплитудный де-
детектор на транзисторах и ИМС. Синхронный детектор. Детектирование однопо-
лосных сигналов.
Детектирование радиоимпульсов амплитудным детектором. Требования к па-
раметрам элементов схемы импульсного детектора.
Детектирование видеоимпульсов. Пиковый детектор. Требования к параметрам
элементов схемы пикового детектора. Преобразование радио импульсов в тональ-
ные импульсы
Детектор является устройством, с помощью которого модулированное напряже- ние промежуточной частоты, подводимое к его выходу, преобразуется в напряже- ние низкой частоты, изменяющееся по закону модуляции.
В приемниках AM сигналов эту функцию выполняет амплитудный детектор [4, рис. 9.12], в приемниках ЧМ сигналов - частотный [4, рис. 9.17].
При изучении АД надо обратить внимание на следующее.
В большинстве современных радиоприемников применяются последовательные амплитудные детекторы на полупроводниковых диодах. Это объясняется тем, что транзисторные детекторы, хотя и обладают рядом преимуществ: высоким коэффици- ентом передачи, малыми нелинейными искажениями при детектировании слабых сигналов, сравнительно большим входным сопротивлением при малых входных нап- ряжениях и др., отличаются все же более сложной схемой по сравнению с диодными полупроводниковыми детекторами.
Диодные детекторы могут работать в режиме детектирования слабых (квадратич- ный режим) и сильных (линейный режим) сигналов.
При детектировании сильных сигналов на выходе детектора должно действовать напряжение промежуточной частоты Uвх.дсф = 0,5-1 В, при детектировании слабых сигналов – Uвх деф ≤ 0,1 В.
Режим детектирования сильных сигналов нашел более широкое применение из- за малых нелинейных искажений выходного напряжения низкой частоты. В этом режи- ме работа детектора происходит с отсечкой тока диода, причем угол отсечки Θ зави- сит от прямой проводимости диода gnp=I/Sg (где Sg - крутизна тока диода) и величи ны сопротивления нагрузки детектора RH. Причем величина коэффициента передачи де- тектора напряжением:

и не зависит от амплитуды входного напряжения Uвх.пр.
Диодный же детектор слабых сигналов имеет малый коэффициент передачи, вели- чина которого зависит от UBX.nP., малое входное сопротивление и большие нелиней- ные искажения, достигающие при 100 % модуляции величины Кнел ≈ 25 % (= m/4).
Для снижения нелинейных искажений в диодных детекторах нагрузку делят на две части [2, параграф 5.8.]: в отношении частей нагрузки детектора Rн2/Rн1 выбирают не менее 0,5 (чаще 0,7-0,8), чтобы не снижать его коэффициент передачи. В схеме диод- ного детектора могут быть применены диоды типа Д18, Д20 и др.
Основной недостаток обычно применяемых диодных и транзисторных детекто- ров состоит в необходимости подведения к их входам достаточно больших ампли- туд модулированных напряжений, при которых обеспечиваются сравнительно не-
большие нелинейные искажения выходного сигнала. Поэтому в высококачествен- ных радиоприемниках применяют АД с линеаризующей обратной связью, постро- енные на базе операционных усилителей ОУ.
Тема 4.2. Амплитудные ограничители (АО)
Назначение амплитудных ограничителей.
Амплитудная характеристика АО, порог и коэффициент ограничения. Схема
амплитудного ограничителя с шунтирующими диодами. Амплитудные ограни-
чители на двух транзисторах с эмиттерной связью.
АО предназначены для устранения паразитной амплитудной модуляции ЧМ нап- ряжения, действующего на входе балансного частотного детектора. Сравнивая меж- ду собой схемы АО, можно отметить, что АО шунтирующих диодах типа Д-104А с переменным углом отсечки Θ токов диодов могут применяться до весьма высоких частот, но добротность контуров Qэ при наличии диодов ухудшается, что приводит к расширению полосы частот и уменьшению величины Uвых. дет.
Ограничение в схеме с диодами при изменении величины входного напряжения происходит за счет изменения углов отсечки токов диодов и их входных сопротив-, лений, шунтирующих контуры, и коэффициента передачи схемы диодных детекто- ров.
Большим значениям амплитуды напряжения на входе каскада АО соответствует больший угол отсечки Θ, меньшие величины RBX.дет. и Qэ контура, что является при- чиной постоянства напряжения сигнала на контуре. Амплитудный ограничитель на двух транзисторах с эмиттерной связью обеспечивает лучшее подавление паразит- ной AM, но схема работает на менее высоких частотах, чем АО с шунтирующими диодами. Ограничение амплитуды напряжения промежуточной частоты в схеме АО на транзисторах происходит за счет постоянства амплитуды импульса тока коллек- тора Iк2m второго транзистора VT2 в режиме его насыщения, постоянства первой
гамоники тока I1, текущего через контур, и напряжения на нем UK = IкRэ. Для норма- льной работы такого АО и обеспечения режима насыщения транзисторов требуется сравнительное большое входное напряжение Uвх Ао >0,1В
Как было отмечено ранее, в современных радиоприемниках с ЧМ, АО обычно является составной частью ИС тракта промежуточной частоты (ИТС К174ХА6, К174ХАЗ).
Тема 4.3. Фазовый детектор (ФД)
Назначение ФД. Балансная схема ФД на диодах. Векторные диаграммы, детек-
торная характеристика. Кольцевая схема ФД.
Фазовый детектор - перемножитель в интегральном исполнении. Детектирова-
ние телеграфных сигналов ФТ и ОФТ.
Тема 4.4. Частотные детекторы (ЧД)
Назначение ЧД Детекторная характеристика, требования, предъявляемые к
ней. Показатели качества ЧД: коэффициент передачи, ширина полосы частот,
искажения сигналов, коэффициент подавления паразитной AM. ЧД частотно-
амплитудного типа, балансная схема с расстроенными контурами. ЧД частот-
но-фазового типа, балансная схема со связанными контурами, векторные диаг-
раммы.
Дробный детектор, подавление амплитудной модуляции. Детектирование теле-
графных сигналов.
Принцип действия импульсно-счетного ЧД. ЧД на ИМС.
Рассматривая структурную схему ЧД (преобразователь модуляции, детектор AM колебаний), надо помнить, что напряжение на выходе частотного детектора изменяется по закону модуляции частоты, т.е. пропорционально частотной расстройке, определяемой разностью между мгновенным значением частоты напряжения ЧМ входного сигнала и частоты настройки контуров преобразователя модуляции:

Поэтому в схеме преобразователя модуляции входное напряжение, изменяющееся по частоте, преобразуется в напряжение, изменяющееся по амплитуде AM - колебание. Изменение амплитуды выходного напряжения должно быть пропорционально ризме- нению частоты входного напряжения.
Основной характеристикой ЧД является его частотная характеристика (S-образная характеристика), представляющая зависимость выходного напряжения или коэффи- циента передачи от частотной расстройки Кд= φ(Δf).
Одним из требований, предъявляемых к ЧД, являются линейность детектирова- ния, показателем которой является крутизна его характеристики, которая должна

быть постоянной при всехзначениях Δf от 0 до ± Δfmax.
Уменьшение Sчд при больших значениях Δf (± Δf > Δfmax ) происходит вследствие уменьшения напряжения на выходе системы контуров преобразователя модуля, что и определяет в основном нелинейные искажения при детектировании ЧМ напряжения. От варианта построения структурной схемы ЧД зависят его параметры.
Наиболее распространенным типом ЧД является детектор отношений (дробный детектор) [2, параграф 6.6., рис. 6.16; 4, параграф 9.5, рис. 9.17], преимуществом ко- торого является совмещенность схемы ЧД и амплитудного ограничителя.
Однако степень появления паразитной AM невелика, обычно не более 20 дБ, даже при точной настройке контуров на промежуточную частоту, а при расстройке конту- ров эффект подавления паразитной AM заметно уменьшается.
Схема балансного ЧД, называемого частотным дискриминатором, отличается от схемы дробного детектора включением диодов и нагрузки и отсутствием конденсатора большой емкости.
S - образная характеристика балансного ЧД имеют такую же форму, как и харак- теристика дробного детектора, но при этом легче обеспечивается симметрия плеч в схеме и проще его настройка. Высокая линейность характеристики балансного ЧД без снижения ее крутизны может быть достигнута выбором его параметров: эквива- лентной добротности Q3 контуров преобразователя модуляции, фактора связи Р ме- жду контурами и параметров нагрузки амплитудных диодных детекторов. Для пода- вления паразитной AM входного ЧМ напряжения перед схемой балансного ЧД вклю- чают амплитудный ограничитель (АО).
Вопросы для самопроверки:
1 Объяснить значение транзисторных и диодных АД.
2 По каким признакам классифицируются АД?
3 Почему ток диода диодного АД имеет импульсную форму?
4 Чем отличаются квадратичный и линейный режимы работы АД?
5 Что такое коэффициент передачи АД Кд и от чего зависит его величина в квадратичном, в линейном режимах работы?
6 Перечислить причины нелинейных искажений при детектировании AM- нап- ряжений.
7 Объяснить все способы снижения нелинейных искажений при детектировании AM напряжений, возникших за счет:
а) не линейности вольт-амперной характеристики диода;
б) инерционности цепи нагрузки RH, Сн;
в) разделительного конденсатора Ср цепи базы транзистора УНЧ:
8 Как и почему зависит RnbIX от:
а) схемы его включения (последовательная, параллельная);
б) величины Rh?
9 Объяснить назначение импульсного и пикового детекторов.
10 Как влияют параметры схемы импульсного детектора на форму и параметры видеоимпульсов во время спада tcn, время установления ty, амплитуду напряже- ния UвыХуст?
11 Из каких соображений выбирают емкость нагрузки Сн, сопротивление Rн импульсного детектора?
12 Объяснить назначение АО в схеме ЧД.
13 В чем отличие схем и работы АО с шунтирующими диодами, на двух транзис- торах с эмиттерной связью?
14 Каково назначение ЧД?
15 Объяснить структурную схему ЧД, назначение всех ее элементов.
16 Какие существуют схемы ЧД и в чем отличие их качественных показателей?
17 Объяснить принцип работы балансного ЧД.
18 Объяснить принцип работы дробного ЧД.
19 Дать определение основных параметров ЧД: коэффициента передачи Кд, кру- тизны характеристики 8ВД; объяснить от чего зависят их величины.
20 Как влияют параметры резонансной цепи преобразователя модуляции ЧД Qэ, β и форма ее резонансной характеристики на величину его коэффициента переда- чи Кд, крутизну характеристики Sчд, протяженность линейного участка характери- стики ± Δfmаx.
В результате изучения раздела студенты должны знать принципы построения
детекторов AM и ЧМ сигналов радиоприемников связи и вещания, их электрические
параметры и характеристики.
Студенты должны уметь читать принципиальные схемы детекторов радиопри-
емников разного типа и назначения.
РАЗДЕЛ 5. РЕГУЛИРОВКА В РАДИОПРИЕМНИКАХ.
УПРАВЛЕНИЕ И КОНТРОЛЬ
Тема 5.1. Назначение и виды регулировок
Настройка радиоприемника на рабочую частоту. Регулировка усиления и поло-
сы пропускания. Регулировки ручные и автоматические. Назначение автомати-
ческих регулировок в радиоприёмниках, виды их.
В современных радиоприемниках широко используются системы автоматичес- кого регулирования, позволяющие повысить качество приема и упростить управле- ние радиоприемником: электронная автоматическая настройка (аналоговая и цифро- вая) АН, автоматическая регулировка усиления АРУ, автоматическая подстройка ча- стоты гетеродина АПЧ и др.
Тема 5.2. Регулировка усиления
Способы регулировки усиления резонансного усилителя: изменением крутиз-
ны усилительных приборов, изменением коэффициента передачи высокочастот-
ных делителей (аттенюаторов), изменением глубины отрицательной обратной
связи.
Ручные регулировки усиления, их место в схеме приемника, применение антен-
ного аттенюатора.
Автоматическая регулировка усиления (АРУ). Назначение и разновидности
АРУ.
Структурные схемы и принцип действия обратной АРУ, прямой и комбиниро-
ванной АРУ.
АРУ простые и с задержкой. Оценка эффективности действия АРУ, усиление АРУ. Амплитудные характеристики приемников при различных видах АРУ. Филь- тры АРУ, назначение и выбор постоянной времени фильтра. Бесшумная АРУ. Примеры практических схем АРУ.
При изучении принципа действия схем АРУ надо прежде всего уяснить принци- пиальное отличие в способах АРУ:
а) изменение режима работы регулируемых усилительных каскадов;
б) изменение коэффициента передачи напряжения сигнала управляемых высоко- частотных делителей.
Оба эти способа регулировки относятся к системам АРУ обратного действия, с обратной связью, в которых управление коэффициентом усиления регулируемого усилителя осуществляется с помощью управляющего напряжения сигнала, получа- емого на выходе детектора АРУ (или на выходе детектора сигнала при совмещении детекторов АРУ и сигнала в одной схеме).
Однако отличие этих двух способов регулировки усиления каскадов существен- ное.
При изменении режима работы биполярных транзисторов Uбэо, Iко, величина кру- тизны коллекторного тока транзисторов SK, резонансного коэффициента усиления каскадов Ко под действием регулирующего напряжения АРУ изменяются также в широких пределах входные и выходные проводимости транзисторов. Это приводит к изменению параметров резонансных цепей усилительных каскадов и, следовате- льно, параметров радиоприемника.
Этого недостатка режимной АРУ обратного действия лишена схема АРУ с высо- кочастотными диодными делителями напряжения сигнала, включаемыми между усилительными каскадами, чаще в тракте промежуточной частоты.
Следует также помнить, что эффективность действия АРУ оценивается коэффи- циентами Ο иρ, показывающими пределы изменения напряжений сигнала на входе и выходе радиоприемника.

В радиовещательных приемниках допускается величина р = 6 +10дб при
а = 20 + 60дБ.
Схема АРУ, содержащая один управляемый диодный делитель напряжения, включаемый между каскадами УПЧ, может обеспечить диапазон регулировки усиления напряжения не менее, чем а = 40 + 45дБ при р = 6 +10дб.
При включении двух управляемых диодных делителей эффективность АРУ возрастает.
Такой способ построения схемы АРУ широко применяется в приемниках ради- освязи при высоких требованиях к параметрам АРУ: α = 90 + 100дБ, р = 4 + 6дБ (приемки магистральной радиосвязи).
Тема 5.3. Автоматическая подстройка частоты (АПЧ)
Назначение АПЧ. Структурная схема частотной АПЧ, назначение элементов
схемы, принцип действия. Виды регуляторов (управителей) частоты: электромеха-
нические и электронные. Оценка эффективности работы АПЧ, остаточная расстрой- ка, коэффициент автоподстройки, полоса удержания и полоса захвата. Структурная схема фазовой АРЧ, особенность ее работы и применения.
Автоматическая подстройка частоты гетеродина АПЧ (АПЧГ) уменьшает расст-
ройку радиоприемника, возникающую из-за нестабильности (ухода) частоты гетеро- дина. Система АПЧГ широко применяется как в трактах приема ЧМ сигналов, так и в трактах AM бытовых вещательных радиоприемников.
При изучении структурной схемы и принципа действия системы АПЧ гетеродина (АПЧГ) следует помнить о следующих ее особенностях:
1 Система применяется для повышения точности настройки приемника. Частота гетеродина управляется напряжением сигнала ошибки, полученным за счет отклоне- ния промежуточной частоты от номинальной, соответствующей точной настройке приемника.
2 Регулирующим элементом является полупроводниковый диод - варикап, напри- мер, типа Д902 (варикапные матрицы типа KBC-IIIA), которые включаются в контур гетеродина и к нему подводится регулирующее запирающее напряжение обычно с
тех же точек схемы приемника, что и регулирующее напряжение АРУ.
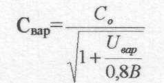
3 Изменение емкости варикапа происходит по закону:

где Со - начальная емкость варикапа при Uва=0;
Uвар - приложенное к диоду запирающее напряжение.
В радиоприемниках с балансным ЧД напряжение, подаваемое на варикап Uвap, получается с отдельного амплитудного детектора, включаемого в контур последнего каскада УПЧ (до АО).
В приемниках с добрым детектором регулирующее напряжение снимается с элек- тролитического конденсатора ЧД.
Следует однако иметь в виду, что система электронной настройки с помощью ва- рикапов не применяется в высококачественных моделях радиоприемников, так как имеет ряд существенных недостатков: нелинейность, вносимая варикапами в тракт высокой частоты вольт-фрадных (емкостных) характеристик варикапов, влияющая на точность градуировки шкал настройки радиоприемников.
Тема 5.4. Регулировка полосы пропускания
Необходимость регулировки полосы пропускания приемника. Способы регу-
лировки полосы пропускания тракта промежуточной частоты.
Регулировка полосы плавная и дискретная.
Регулировка полосы пропускания в радиоприемниках необходима, когда предус-
матривается его работа в разных режимах (А1, A3, F3 и др.) и, следовательно, прием сигналов с различной шириной спекторов частот.
При изучении этого вопроса надо обратить внимание на следующее:
1 Увеличение полосы пропускания радиоприемника П, кГц, по отношению к ширине спектра частот принимаемых радиосигналов целесообразно только тогда, когда оно не приводит к ухудшению отношения сигнал/помеха и одновременно улучшает верность приема сообщения; уменьшение полосы пропуcкания полез- но только при высоком уровне сигналов и внеполосных помех.
2 Изменение полосы пропускания всегда связано с изменением избиратель- ности приемника.
3 Основными способами регулировки полосы пропускания и избирательно- сти являются:
изменение взаимной расстройки контуров Δf отдельных каскадов широкополос-
ного усилителя;
изменение типа полосового фильтра в тракте промежуточной частоты основной
селекции.
Тема 5.5. Настройка диапазонного радиоприемника.
Способы настройки преселектора.
Неперестраиваемый широкополосный преселектор с ФНЧ на входе.
Фильтровой способ настройки с коммутацией узкополосных фильтров.
Преселектор с коммутацией избирательных цепей поддиапазонов и плавной
или дискретной перестройки их.
Способы настройки гетеродина.
Гетеродин с коммутацией поддиапазонов и плавной перестройкой. Параметри-
ческая стабилизация частоты, применение АПЧ. Декадные и цифровые синтезато-
ры частоты, принцип построения синтезаторов.
Коммутация резонансных цепей механическая, электромеханическая, электро-
нная. Барабанные переключатели и коммутирующие элементы - герконы, полу-
проводниковые диоды. Схемы электронной коммутации избирательных цепей.
Настройка резонансных цепей: плавная и дискретная. Настройка изменением
емкости с помощью КПЕ или дискретного конденсатора.
Настройка диапазонных радиоприемников сводится к изменению частот настрой-
ки колебательных контуров преселектора и гетеродина с помощью переменной емкости КПЕ или переменной индуктивности, а также с помощью ёмкостных ди- одов - варикапов (электронная настройка).
Также широко применяются не перестраиваемые широкополосные преселекто- ры с фильтрами нижних частот - ФНЧ на входах радиоприемников как связных, так и вещательных.
Наиболее перспективной является дискретная настройка, требующая наличия в радиоприемнике синтезатора частот СЧ.
Точная настройка на частоты сигналов принимаемых радиостанций осущест- вляется путем подачи напряжений кодов на делители частоты синтезатора для ус- тановки необходимых коэффициентов деления частоты.
Нужные коды можно набирать либо с помощью клавиатуры, либо нажатием кнопки, с помощью которой из запоминающего устройства ЗУ вызывается зара- нее установленных код, соответствующий необходимой частоте настройки радио- приемника.
В настоящее время в радиовещательных приемниках вводятся системы поиска
в эфире желаемой программы как вручную (от ручки настройки), так и автомати- чески - нажатием кнопки «Автопоиск».
При рассмотрении вопросов сопряжения контуров гетеродина и преселектора
диапазонных радиоприемников надо иметь в виду следующее.
При всех положениях ручки настройки разность частот настройки контуров си- гнала и гетеродина должна быть точно равна промежуточной частоте fnp; это усло- вие трудно выполнить, так как при fr >fо коэффициенты перекрытия диапазона ко-
нтурами оказываются разными (коэффициент перекрытия контура гетеродина мень- ше, чем к контура сигнала),

и если в начале диапазона fгmin – fomin = f пр , то в конце его

для уменьшения Δf (неточности сопряжения контуров) в контур гетеродина вклю- чают дополнительные конденсаторы СП0Сл. и Спар.;
допустимая величина Δf (неточности сопряжения) для разных частотных диапазо- нов разная: в ДВ и СВ – Δf ≤ 1 - 2кГц (точное сопряжение в трех точках диапазона), KB - Δ f < 50кГц (в двух точках), УКВ- Δf ≤ МГц (в одной точке);
неточность сопряжения сопровождается расстройкой контуров преселектора от- носительно частоты принимаемого сигнала и ухудшением поэтому электрических параметров приемников: уменьшением чувствительности, селективности и др.
Тема 5.6. Управление радиоприемников и контроль
Управление местное (ручное) и телеуправление. Принцип действия сенсор-
ных переключателей. Поисковая автоматическая настройка.
Телеуправление и контроль в радиоприемниках. Программное управление.
Применение микропроцессоров и ЭВМ для управления и контроля работы
радиоприемника.
При изучении данной темы надо обратить внимание на то, что система, обеспечи- вающая набор частот, их запоминание и вызов радиостанций не позволяет осущест- влять поиск в эфире желаемой радиостанции. Для осуществления такого поиска нео- бходимо иметь возможность плавно переходить от одной частоты к другой вручную или автоматически (Автопоиск), при котором происходит постепенное изменение частоты настройки радиоприемника и остановка его при точной настройке на нуж- ную радиостанцию. Существует много способов как ручного, так автоматического поиска.
Введение системы дистанционного или телеуправления позволяет повысить опе- ративность радиосвязи за счет управления приемником с помощью ЭВМ или прог- раммного устройства по заранее заданной программе.
Возможность дистанционного управления бытовой радиоаппаратурой на рассто- янии создает для радиослушателей большое удобство. Для дистанционного управ- ления на расстоянии нескольких метров в пределах одного помещения использует- ся ультразвуковые УЗ и инфракрасные ИК линии связи. Применение микропроцес-
соров для цифрового управления и контроля бытовыми радиоприёмниками выводит их на высокий современный уровень совершенствования радиоаппаратуры.
Вопросы для самопроверки
1 Перечислить виды и назначение ручных регулировок в радиоприемниках.
2 Перечислить виды и назначение автоматических регулировок в радиоприём- никах.
3 Какими параметрами оценивается эффективность работы АРУ?
4 В чем качественное различие АРУ изменением режима работы усилительных элементов и АРУ с регулируемыми делителями напряжения?
5 Объяснить назначение и принцип действия системы АПЧГ.
6 Указать назначение и способы регулировки полосы пропускания П, кГц, в радиоприемниках связи и вещания.
7 Указать перспективные способы настройки диапазонных радиоприемников и сравнить их между собой.
8 Объяснить принцип синтеза частот в синтезаторе частот.
9 Почему применение синтезатора частот обеспечивает высокую точность и стабильность настройки радиоприемника?
10 Объяснить принцип дистанционного или телеуправления радиоприемников.
11 Как и почему сказывается применение микропроцессоров, ЭВМ и программ- ных устройств на качество контроля и управления в радиоприемниках?
12 Пояснить принципы поисковой ручной и автоматической способов настройки радиоприемников.
В результате изучения раздела студенты должны знать принципы основных регу- лировок, управления и контроля в современных радиоприемниках, параметры и ха- рактеристики систем автоматического управления.
Студенты должны уметь читать принципиальные схемы систем регулировок, уп-
равления и контроля типовых радиоприемников связи и вещания.
