Автореферат диссертации на соискание ученой степени
| Вид материала | Автореферат диссертации |
- Автореферат диссертации на соискание ученой степени, 378.33kb.
- Автореферат диссертации на соискание учёной степени, 846.35kb.
- Автореферат диссертации на соискание ученой степени, 267.76kb.
- Акинфиев Сергей Николаевич автореферат диссертации, 1335.17kb.
- L. в экосистемах баренцева моря >03. 02. 04 зоология 03. 02. 08 экология Автореферат, 302.63kb.
- Автореферат диссертации на соискание ученой степени, 645.65kb.
- Автореферат диссертации на соискание ученой степени, 678.39kb.
- Автореферат диссертации на соискание ученой степени, 331.91kb.
- Автореферат диссертации на соискание ученой степени, 298.92kb.
- Автореферат диссертации на соискание ученой степени, 500.38kb.
На правах рукописи
Быстрова
Инна Валентиновна
ПСИХОЛОГО-ПЕДАГОГИЧЕСКАЯ ТЕХНОЛОГИЯ УПРАВЛЕНИЯ АДАПТАЦИЕЙ ГИМНАСТОК К ГРУППОВОЙ СПОРТИВНОЙ
ДЕЯТЕЛЬНОСТИ
(на примере групповых упражнений в художественной гимнастике)
13.00.04. – теория и методика физического воспитания, спортивной
тренировки, оздоровительной и адаптивной физической культуры
Автореферат
диссертации на соискание ученой степени
кандидата психологических наук
Санкт-Петербург - 2008
Работа выполнена на кафедре теории и методики гимнастики Санкт-Петербургского государственного университета физической культуры им. П.Ф. Лесгафта
| Научный руководитель: | АВДЕЕВ Юрий Васильевич кандидат педагогических наук, доцент |
| Официальные оппоненты: | СЕРОВА Лидия Константиновна доктор психологических наук, профессор СПбГУФК им.П.Ф.Лесгафта ИЛЬИНА Наталья Леонидовна кандидат психологических наук, доцент СПбГУ им.М.В.Ломоносова |
| Ведущая организация: | Ленинградский областной педагогический университет им.А.С.Пушкина. |
Защита состоится 27 марта 2008 г. в 13 часов на заседании диссертационного совета Д 311.010.01 Санкт-Петербургского государственного университета физической культуры имени П.Ф. Лесгафта по адресу: 190121, Санкт-Петербург, ул. Декабристов, 35, учебный корпус 1.
С диссертацией можно ознакомиться в библиотеке Санкт-Петербургского государственного университета физического культуры имени П.Ф.Лесгафта СПбГУФК и на сайте (lesgaft.spb.ru).
Автореферат разослан 26 февраля 2008 г.
| Учёный секретарь диссертационного совета, Заслуженный работник физической культуры РФ, кандидат педагогических наук, профессор | Л.А. Егоренко |
ОБЩАЯ ХАРАКТЕРИСТИКА РАБОТЫ
Актуальность. Значительные изменения в современном обществе, возрастающие требования к продуктивности деятельности человека делают проблему его адаптации к процессу и условиям этой деятельности особенно актуальной. Изучение факторов и характеристик адаптации человека к спортивной деятельности приобретает особое значение и позволяет выявить ее особенности в экстремальных условиях соревнований.
В педагогической и спортивной литературе вопрос об адаптации гимнасток к выполнению групповых упражнений является практически неизученным: не исследованы основные составляющие социально-психологи-ческой адаптации гимнасток, не выявлены адаптивно важные при выполнении групповых упражнений качества личности, не разработаны средства управления адаптацией гимнасток к групповой спортивной деятельности.
Формальным подтверждением актуальности темы является ее соответствие Плану НИОКР Госкомспорта России на 2002-2005 годы, направление 02, тема 02.04.
Объект исследования: показатели социально-психологической адаптации гимнасток, качества личности, способствующие адаптированности к работе в командах, а также средства управления адаптацией гимнасток к выполнению групповых упражнений.
Предмет исследования: особенности проявления и взаимосвязей показателей адаптированности, личностных свойств, мотивации деятельности и спортивных результатов у девушек, занимающихся художественной гимнастикой, а также возможности оптимизации и ускорения процесса адаптации гимнасток к групповым условиям деятельности с помощью специальных педагогических технологий.
Основная гипотеза исследования заключается в предположении, что комплексная педагогическая программа управления адаптацией является эффективным средством повышения адаптированности у девушек, занимающихся художественной гимнастикой на начальных этапах выполнения групповых упражнений.
Цель исследования: на основе экспериментального исследования адаптированности гимнасток к групповой спортивной деятельности разработать педагогическую технологию оптимизации социально-психологичес-кой адаптации гимнасток к выполнению групповых упражнений и проверить ее эффективность.
Задачи исследования:
1. Выявить особенности социально-психологической адаптированности гимнасток (по объективным и субъективным критериям) с различным стажем выполнения групповых упражнений (из «начинающих» команд – со стажем менее 1 года, и «опытных» – со стажем 2-3 года).
2. Осуществить сравнительный анализ выраженности мотивации спортивной деятельности, свойств темперамента, коммуникативных качеств и личностного адаптационного потенциала (ЛАП) гимнасток в «начинающих» и «опытных» командах.
3. Определить влияние показателей социально-психологической адаптированности на результативность выполнения групповых упражнений в художественной гимнастике (по показателям успешности и удовлетворенности деятельностью).
4. Определить внутренние факторы социально-психологической адаптированности гимнасток к выполнению групповых упражнений (выявить их адаптивно важные качества).
5. Разработать и апробировать технологию ускорения и фасилитации адаптации девушек, занимающихся художественной гимнастикой, к выполнению групповых упражнений по показателям адаптированности и ее факторов (мотивации занятий художественной гимнастикой, коммуникативных свойств, личностного адаптационного потенциала).
Методы исследования. Использовались констатирующий и формирующий эксперимент. В качестве инструментальных – методы опроса и экспертных оценок.
Методики исследования: поведенческого единства группы – методика Е.В. Сидоренко; ценностно-ориентационного единства группы – В.С. Ивашкиной, В.В. Онуфриевой; отношений к своей команде – В. Сишора; прогноза группового выступления на соревновании, а также мотивации спортивной деятельности – А.Н. Николаева; мотивации достижения и боязни неудачи – А.А. Реана; свойств темперамента – В.М. Русалова; коммуникативных свойств личности – Т. Лири; направленности личности в общении – С.Л. Братченко; отношений – Л.А. Головей, Е.Ф. Рыбалко; адаптивности – А.Г. Маклакова; других личностных свойств – Г. Айзенка; успешность выполнения групповых упражнений – с помощью экспертных оценок; отношения в группе – социометрии; удовлетворенность занятиями гимнастикой изучалась с помощью специальной анкеты.
Организация исследования включала в себя 9 этапов:
1-й этап состоял в изучении проблемы по литературным источникам и разработке программы экспериментального исследования.
2-й этап заключался в подборе и модификации диагностических методик, а также составлении анкет для эмпирического исследования личностных свойств, мотивации, адаптированности и успешности спортивной деятельности девушек, занимающихся художественной гимнастикой.
3-й этап предполагал проведение констатирующего эксперимента – изучение свойств личности, мотивации, адаптированности и результативности спортивной деятельности гимнасток в опытных и начинающих командах.
4-й этап заключался в обработке полученных данных с помощью методов математической статистики.
5-й этап включал в себя разработку педагогической технологии оптимизации адаптации гимнасток к групповой спортивной деятельности.
6-й этап состоял в проведении формирующего эксперимента и в математической обработке полученных результатов.
7-й этап – анализ и интерпретация полученных эмпирических данных.
8-й этап представлял собой формулирование общих выводов, оформление результатов, написание текста диссертационного исследования.
В качестве испытуемых выступили девушки, занимающиеся художественной гимнастикой в детско-юношеских спортивных центрах и школах в возрасте 16-20 лет с различным стажем выполнения групповых упражнений.
Всего в исследовании приняли участие 135 гимнасток. Из них, в констатирующем эксперименте приняли участие 70 человек. 35 гимнасток (7 команд) имели небольшой стаж выполнения групповых упражнений (менее 1 года) и 35 человек (также 7 команд) – значительный стаж групповой деятельности (2-3 года).
В формирующем эксперименте приняли участие 65 человек (13 команд) с небольшим стажем (1-3 месяца) участия в команде (начинающие команды) и сниженным уровнем социально-психологической адаптации (по данным предварительного диагностического замера показателей до экспериментального воздействия). В состав экспериментальной группы вошли 6 команд (30 человек), контрольной – 7 команд (35 человек).
Теоретико-методологической основой диссертации послужили основные положения концепций:
- адаптации личности к деятельности, разработанные Ф.Б. Березиным, М.А. Дмитриевой, Г.В. Лозовой, А. Г. Маклаковым, А.Н. Николаевым, С.Т. Посоховой, С.В. Овдей, В.Ю. Селиным;
- по специфике спортивной деятельности, представленные Г.Б. Горской, Г.В. Лозовой, Л.К. Серовой, А.Ц. Пуни;
- по специфике личности и деятельности в художественной гимнастике, отраженные в работах Е.В. Бирюк, Н.А.Овчинниковой, Л.А. Карпенко, Т.С. Лисицкой, Т.В. Староверской;
- групповой сплоченности, разработанные А.И. Донцовым, А.Л. Журавлевой, А.В. Петровским, В.В. Шпалинским;
- педагогического управления адаптацией в совместной коллективной деятельности, разработанные В.Н. Панферовым, Л.А. Петровской, Б.Д. Парыгиным, А.С. Макаренко, В.А. Сухомлинским.
Научная новизна исследования заключается в том, что впервые: определены основные составляющие социально-психологической адаптации девушек, занимающихся художественной гимнастикой, к выполнению групповых упражнений; установлены роль и значение свойств личности гимнасток в процессе адаптации к командным условиям деятельности; определен характер влияния социально-психологической адаптированности гимнасток на успешность спортивной деятельности и удовлетворенность ею; выявлены адаптивно важные качества личности гимнасток; разработаны педагогические средства и методы, положенные в основу технологии управления адаптацией гимнасток к командным условиям деятельности.
Теоретическая значимость исследования заключается, во-первых, в том, что полученные данные вносят значительный вклад в теорию спорта. Разработано определение социально-психологической адаптации гимнасток к командной деятельности, определены объективные и субъективные критерии адаптированности гимнасток к выполнению групповых упражнений; раскрыта их роль в результативности спортивной деятельности; определены особенности мотивации спортивной деятельности, свойств темперамента, коммуникативных качеств и личностного адаптационного потенциала, определяющие успешность выполнения групповых упражнений.
Практическая значимость исследования заключается в возможности применения полученных данных для диагностики показателей адаптированности. С ее помощью появляется возможность осуществлять отбор спортсменок в команды для выполнения групповых упражнений. Изучение адаптационных возможностей гимнасток, позволит, во-первых, прогнозировать уровень адаптации и, соответственно, успешность выступлений, во-вторых, применять определенные меры по профилактике дезадаптированности девушек, занимающихся художественной гимнастикой. Основным же в практической значимости исследования является разработка технологии, направленной на управление процессом адаптации гимнасток на начальных этапах овладения техникой групповых упражнений.
Выводы и рекомендации по результатам исследования могут быть использованы в организации учебного процесса в педагогических и спортивных вузах, в работе тренеров с целью повышения результатов у спортсменок.
Положения, выносимые на защиту:
1. Центральной характеристикой адаптации гимнасток к групповым условиям спортивной деятельности выступает социально-психологическая адаптация, объективными критериями которой выступают: сплоченность группы, ценностно-ориентационное и поведенческое единство и на поведенческом уровне (согласованность действий); субъективными критериями – эмоциональные отношения спортсменок к группе, прогноз спортсменками успешности групповых выступлений.
2. Показатели социально-психологической адаптированности девушек, занимающихся художественной гимнастикой, оказывают существенное влияние на мотивацию, успешность выполнения групповых упражнений и удовлетворенность спортивной деятельностью.
3. Комплексная педагогическая технология управления адаптацией гимнасток в совместной деятельности являются эффективным средством ускорения и оптимизации приспособления к выполнению групповых упражнений в начинающих командах: формирует сплоченность команды, оптимизирует отношение спортсменок к группе, стремление к коллективному успеху; развивает коммуникативные свойства личности, повышает внутреннюю личную и социальную мотивацию спортивной деятельности, способствует достижению более высоких спортивных результатов.
Достоверность и обоснованность полученных данных обеспечивается репрезентативностью выборки испытуемых в количественном и качественном отношении, валидностью и надежностью применяемых в исследовании методик и статистической обработкой данных в соответствии с установленными для научных исследований требованиями.
Апробация исследования: Основной теоретический материал и основные результаты экспериментального исследования изложены в четырех публикациях автора.
Отдельные положения и результаты работы докладывались и обсуждались на заседаниях и научных конференциях кафедры педагогики и психологии СПб ГУФК им. П.Ф. Лесгафта.
Внедрение результатов исследования. Полученные результаты включены в программу преподавания специализации художественной гимнастики для студентов и слушателей факультета повышения квалификации тренеров СПб ГУФК им. П.Ф. Лесгафта. Разработанная технология включена в программу учебно-тренировочных занятий в сборных командах по художественной гимнастики России и Санкт-Петербурга.
Структура диссертации: Диссертация состоит из введения, 4-х глав, заключения, выводов, списка литературы и приложений. Основной материал диссертации изложен на 152-х страницах. Материал иллюстрирован 21 таблицей, 28 рисунками. Библиография включает 188 наименований, в том числе 12 на иностранном языке.
ОСНОВНОЕ СОДЕРЖАНИЕ РАБОТЫ
Во введении обоснована актуальность проблемы, определены цель, задачи, объект и предмет исследования, сформулированы гипотеза и основные положения, выносимые на защиту.
Первая глава – «Теоретический анализ проблемы адаптации к групповым упражнениям в художественной гимнастике» – посвящена обзору и анализу теоретических и экспериментальных работ по изучаемой теме.
Здесь приводятся основные положения теории адаптации, методологические походы ее изучения и, главное, посредством обоснования задач исследования, осуществляется постановка проблемы.
Критерии адаптированности можно разделить на две основных группы: объективные и субъективные (объективные – эффективность деятельности, уровень социальных достижений, включенность в конструктивные межличностные и профессиональные отношения и т.д; субъективные –удовлетворенность различными аспектами деятельности и самим собой, чувство соматического и эмоционального комфорта (Николаев А.Н., 1984).
Адаптация девушек, занимающихся художественной гимнастикой, к выполнению групповых упражнений – это, прежде всего, социально-пси-хологическая адаптация, основными критериями которой являются: объективные – ценностно-ориентационное единство и сплоченность группы на поведенческом уровне (согласованность действий; Меканцишвили С.А., 1984; Лисицкая Т.С., Староверская Т.В., 1984), субъективные – позитивные оценки эмоциональных отношений в группе, прогноза успешности групповых выступлений (Обозов Н.Н., 1990; Журавлев А.Л., 2002).
Технология управления адаптацией гимнасток к работе в группе должна содержать систему разнообразных методов формирования сплоченного коллектива и развития адаптационного потенциала личности каждого участника. Эмоциональное принятие партнерами друг друга, взаимные позитивные установки, глубинный доверительный контакт создается с помощью организации совместной деятельности, психогимнастических упражнений, групповых ритуалов (Макаренко А.С.,1983; Сухомлинский В.А., 1975; Ильин Е.П., 2000). Единство ценностных ориентаций создают групповые дискуссии, беседы, внушения и убеждения тренера, коллективные творческие дела, традиции группы (Горбунов Г.Д., 1986; Шленков А.В., 1998). Единство действий, поведенческая сплоченность достигается с помощью телесноориентированных и танцевальных упражнений, деловых и ролевых игр (Захаров В.П., Хрящева М.Ю., 1990; Петрусинский В.В., 1994; Козьяков Р.В., 2000 и др.). Навыки саморегуляции, эмоциональная устойчивость и уверенность в себе, позитивная мотивация достижения развивается в комплексе данных методов, в совместных действиях, доверительном общении, сопровождающем групповой процесс, в позитивных примерах поведения тренера (ведущего группы) (Бутузов И.Д., Шульц М.П. 1983; Дубов И.Г., 1990; Николаева А.Б. 1985 и др.). В результате такой технологии достигается ее основная цель – сплочение группы, повышение адаптированности гимнасток к выполнению групповых упражнений.
Вторая глава – «Программа, организация и методы экспериментального исследования социально-психологической адаптации к групповым упражнениям в художественной гимнастике» – раскрывает организацию и методики исследования. Здесь подробно отражены задачи исследования.
В третьей главе – «Результаты эмпирического исследования социально-психологической адаптированности гимнасток к спортивной деятельности» – приводятся и интерпретируются полученные в ходе работы данные.
Таблица 1
Достоверные различия показателей социально-психологической адаптированности в группах гимнасток с низким и высоким стажем выполнения
групповых упражнений (n1 = 7, n2 = 7)
| Показатели | ![]() | σx | ![]() | σy | t | р |
| Групповая сплоченность | 0,27 | 0,08 | 0,35 | 0,05 | 2,24 | 0,05 |
| Поведенческая сплоченность | 3,57 | 1,22 | 2,42 | 0,53 | 2,28 | 0,05 |
| Ценностно-ориентационное единство | 2,03 | 1,14 | 3,43 | 1,01 | 2,43 | 0,05 |
| Оценка команды | 12,6 | 1,72 | 14,86 | 1,35 | 2,73 | 0,05 |
| Прогноз выступления | 3,55 | 0,57 | 4,29 | 0,42 | 2,76 | 0,05 |
Примечание: В данном случае анализируются не индивидуальные, а групповые индексы. Показатели субъективных критериев усреднены для каждой команды. Поэтому n – количество объектов означает количество команд в выборке.
С увеличением стажа выполнения групповых упражнений возрастает социально-психологическая адаптированность гимнасток к групповой спортивной деятельности (таблица 1).
В «опытных» командах гимнасток, по результатам экспертных оценок, значительно выше успешность спортивной деятельности (таблица 2). Гимнастки выполняют более сложные по содержанию и композиции упражнения (более значимые различия в показателях исполнительского мастерства и артистичности). Команды с меньшим стажем совместной деятельности, менее успешны в выполнении групповых упражнений. Те же тенденции характерны и для показателей удовлетворенности спортивной деятельностью.
Таблица 2
Достоверные различия в показателях успешности (n1 = 7, n2 = 7) и удовлетворенности (n1 = 35, n2 = 35) спортивной деятельности в группах гимнасток с низким и высоким стажем выполнения групповых упражнений
| Показатели успешности | ![]() | σx | ![]() | σy | t | р |
| Исполнительское мастерство | 6,5 | 0,95 | 7,62 | 0,81 | 2,37 | 0,05 |
| Артистичность | 6,59 | 0,84 | 7,55 | 0,81 | 2,17 | 0,05 |
| Сложность | 6,3 | 0,68 | 7 | 0,49 | 2,20 | 0,05 |
| Общий балл | 6,46 | 0,67 | 7,19 | 0,58 | 2,17 | 0,05 |
| Показатели удовлетворенности | ![]() | σx | ![]() | σy | t | р |
| Тренировки | 5,1 | 2,2 | 6,45 | 1,88 | 2,76 | 0,05 |
| Выступления на соревнованиях | 4 | 2,13 | 5,9 | 1,89 | 3,95 | 0,01 |
| Собственные результаты | 4,3 | 2,15 | 6,11 | 2 | 3,65 | 0,01 |
| Отношения с тренером | 5,2 | 2,45 | 6,64 | 2,1 | 2,64 | 0,05 |
| Отношения в команде | 3,9 | 2,51 | 5,82 | 1,56 | 3,85 | 0,01 |
Пояснение: Относительно показателей удовлетворенности (как и в таблицах, приведенных ниже) рассчитывались не групповые, а индивидуальные показатели, поэтому n означает количество человек в выборках начинающих и опытных гимнасток, выполняющих групповые упражнения.
Члены начинающих команд испытывают своего рода кризис, связанный с перестройкой характера своей спортивной деятельности, переходом от индивидуальной деятельности к групповой. На первых этапах работы в командах они в меньшей степени удовлетворены как процессом, так и результатом своей деятельности, отношениями с командой и тренером.
Различий в показателях мотивации результата деятельности в выборках с низким и высоким стажем выполнения групповых упражнений выявлено не было (таблица 3). Этот вид мотивов является ведущим в обеих группах. В целом, у гимнасток с большим стажем работы в командах происходят изменения в мотивации спортивной деятельности: повышается мотивация на процесс деятельности, долженствование, общение и самосовершенствование, стремление к достижениям.
Гимнастки с большим стажем выполнения групповых упражнений обладают более высоким уровнем экстраверсии, и более низким – нейротизма. Это можно объяснить тем, что умеренно высокая экстраверсия и средне низкий уровень нейротизма являются адаптивно важными качествами личности для гимнасток, выполняющих групповые упражнения.
Таблица 3
Достоверные различия в показателях социально-психологической адаптированности (мотивации, экстраверсии и нейротизма, личностного адаптационного потенциала, коммуникативных свойств, направленности в общении, типа отношений) в группах гимнасток с низким и высоким стажем выполнения групповых упражнений (n1 = 35, n2 = 35)
| Показатели | ![]() | σx | ![]() | σy | t | p |
| Мотивации на: процесс | 6,02 | 2,16 | 7,5 | 1,95 | 3,01 | 0,01 |
| самосовершенствование | 5,14 | 2,1 | 6,45 | 2,05 | 2,64 | 0,05 |
| общение | 4,19 | 2,73 | 6,25 | 2,11 | 3,53 | 0,01 |
| долженствование | 5,5 | 2,04 | 7,17 | 1,93 | 3,52 | 0,01 |
| мотивация достижения | 15,43 | 3,18 | 17,51 | 2,85 | 2,88 | 0,05 |
| экстраверсия | 13,60 | 4,51 | 16,4 | 3,88 | 2,79 | 0,01 |
| нейротизм | 16,75 | 3,95 | 14,64 | 3,85 | 2,26 | 0,05 |
| Показатели личностного адаптационного потенциала | ||||||
| Устойчивость | 5,62 | 1,43 | 6,85 | 1,54 | 3,46 | 0,01 |
| Коммуникатив. особенности | 4,61 | 1,99 | 6,19 | 1,56 | 3,70 | 0,001 |
| Адаптивные способности | 6,55 | 1,93 | 7,93 | 1,53 | 3,32 | 0,01 |
| Показатели коммуникативных свойств | ||||||
| Доминантность | 7,55 | 2,01 | 6,24 | 2,31 | 2,53 | 0,05 |
| Эгоцентризм | 8,81 | 2,95 | 6,65 | 3 | 3,04 | 0,01 |
| Подозрительность | 7,3 | 2,96 | 5,85 | 2,1 | 2,19 | 0,05 |
| Альтруизм | 4,57 | 3,02 | 6,75 | 2,97 | 3,05 | 0,01 |
| Дружелюбие | 6,41 | 3,15 | 7,94 | 2,88 | 2,12 | 0,05 |
| Агрессия | 4,95 | 3,12 | 2,96 | 3,03 | 2,71 | 0,01 |
| Показатели направленности в общении | ||||||
| Диалогическая | 1,12 | 1,65 | 3,18 | 1,93 | 4,80 | 0,001 |
| Авторитарная | 4,85 | 2,15 | 3,58 | 2,12 | 2,49 | 0,05 |
| Манипулятивная | 4,24 | 2,61 | 2,66 | 1,84 | 2,93 | 0,01 |
| Показатели типа отношений | ||||||
| Индивидуалистический | 6,15 | 2,51 | 4,25 | 2,47 | 3,19 | 0,01 |
| Коллективистический | 2,67 | 2,55 | 4,69 | 2,41 | 3,41 | 0,01 |
Девушки, выполняющие групповые упражнения в течение 2-3 лет, характеризуются большей нервно-психической устойчивостью. Они обладают высокой саморегуляцией поведения, высокой адекватной самооценкой, и реалистическим восприятием действительности.
У гимнасток со стажем участия в команде выше развиты и коммуникативные способности. Они обладают более высокой моральной нормативностью поведения, у них меньше проявляются тенденции к доминированию, авторитарности, подавлению интересов собеседника, тенденция к эгоцентризму. То есть, с увеличением стажа выполнения групповых упражнений у гимнасток развиваются коммуникативные качества личности, значимые для работы в команде. Именно эти качества дают возможность гимнасткам достигать высокого мастерства в выполнении сложных групповых упражнений.
Выявлены достоверные различия по трем основным видам направленности в общении – коммуникативно-диалогической, авторитарной, манипулятивной. Те гимнастки, которые недавно начали выполнять групповые упражнения, в общении больше проявляют авторитарную и манипулятивную направленность. Это связано с длительным стажем индивидуальной спортивной деятельности предполагающей соперничество, соревнование, стремление к личному успеху без учета интересов партнера, а иногда и тенденцией подавлять других, использовать их для достижения своей цели. Авторитарная направленность в общении наиболее выражена и у гимнасток с большим стажем выполнения групповых упражнений. Это связано со стремлением к лидерству, достижениям, активной жизненной позицией. Однако она является менее выраженной, чем у начинающих гимнасток. Больший вес у них приобретает коммуникативно-диалогическая направленность, которая выражается в ориентации на равноправное партнерское общение, взаимное уважение, доверие к другим людям, стремление к взаимопониманию, открытость, искренность, взаимопомощь, взаиморазвитие, сотворчество.
Таким образом, результаты сравнительного анализа показывают, что для гимнасток с большим стажем участия в команде характерны более высокие показатели социально-психологической адаптированности.
Различные аспекты общения, отношений, эмоциональных переживаний, связанных с позитивным межличностным взаимодействием девушек-гимнасток в команде, определяющие адаптацию к групповой спортивной деятельности, образуют единую структуру (большое количество тесных положительных связей), центральным звеном которой выступает показатель сплоченности группы (рисунок 1). Сплоченность группы опосредует поведенческое единство, что, в свою очередь, определяется согласованностью ожиданий, целей, мотивов и ценностей, разделяемых членами команды. Социально-психологическая адаптированность оказывает позитивное влияние на субъективные показатели результативности деятельности – удовлетворенность различными ее аспектами, а именно – межличностными отношениями с тренером и командой.
Удовлетворенность отношениями в группе в большей степени определяется ценностно-ориентационным единством, удовлетворенность отношениями с тренером – позитивной эмоциональной оценкой, принятием группы в целом.
Удовлетворенность межличностными отношениями имеет прямую корреляционную связь с показателями удовлетворенности выступления группы на соревнованиях, которая положительно связана с удовлетворенностью своими собственными результатами и тренировками.

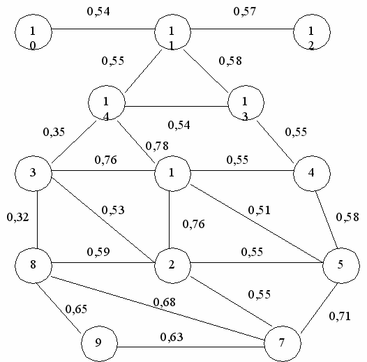
Рис.1. Взаимосвязи показателей социально-психологической адаптации и
результативности спортивной деятельности гимнасток
(n = 14. При p = 99% rкр = 0, 54, при p = 99% rкр = 0, 68).
Примечание: n – количество команд; корреляции рассчитывались между групповыми индексами и усредненными для каждой команды показателями.
Условные обозначения: 1 – индекс групповой сплоченности, , 2 – индекс поведенческого единства, 3 – индекс ценностно-ориентационного единства, 4 – субъективная оценка команды, 5 – прогноз выступления группы на соревнованиях, 7 – исполнительское мастерство, 8 – артистичность, 9 – общий балл успешности, 10 – удовлетворенность тренировками, 11 – удовлетворенность выступлениями группы на соревнованиях, 12 – удовлетворенность своими собственными результатами, 13 – удовлетворенность отношениями с тренером, 14 – удовлетворенность отношениями в команде.
Таким образом, социально-психологическая адаптированность напрямую влияет на результативность выполнения групповых упражнений.
Социально-психологическая адаптация мало зависит от врожденных свойств нервной системы и формируется в деятельности, общении (4 значимые корреляционные связи из 132-х возможных).

0,31
Рис.2. Взаимосвязи показателей социально-психологической адаптации и
коммуникативных свойств личности у гимнасток
(n = 70. При p = 95% rкр = 0,23. При p = 99% rкр = 0,30.).
Условные обозначения: 1 – индекс групповой сплоченности, 2 – индекс поведенческого единства, 4 – субъективная оценка команды, 5 – прогноз выступления группы на соревнованиях, 32 – доминантность, 33 – эгоцентризм, 34 – агрессивность, 36 – уступчивость, 38 – дружелюбие, 39 – альтруизм, 40 – индекс дружелюбности, 41 – индекс агрессивности.
Социально-психологическая адаптированность гимнасток определяется высоким уровнем дружелюбия, альтруизма, стремления к сотрудничеству, низкой агрессивностью, отсутствием склонности к доминированию над другими. Именно эти качества способствуют повышению сплоченности и поведенческого единства группы, влияют на отношение гимнасток к своей команде (рисунок 2).
Высокий уровень социально-психологической адаптированности характерен для гимнасток, обладающих коммуникативно-диалогической направленностью в общении, коллективистическим типом отношения к группе. Адаптационный потенциал в общении определяет успешность адаптации гимнасток к групповым упражнениям (рисунок 3). Сформированные адаптивные способности также предполагают высокую устойчивость, выносливость, эмоциональную стабильность в стрессовых ситуациях.

Рис.3. Взаимосвязи показателей социально–психологической адаптации и
личностного адаптационного потенциала у гимнасток
(n = 70. При p ≤ 95% rкр = 0,23. При p ≤ 99% rкр = 0,30.)
Условные обозначения: 1 – индекс групповой сплоченности, 2 – индекс поведенческого единства, 3 – индекс ценностно-ориентационного единства, 4 – субъективная оценка команды, 5 – прогноз выступления группы на соревнованиях, 51 – нервно-психическая устойчивость, 52 – коммуникативные особенности, 53 – моральная нормативность, 54 – адаптивные способности в целом.
Мотивы и показатели адаптации образуют единую структуру, тесно связаны между собой; в то же время, различные компоненты адаптации опосредуются разными группами мотивов (рисунок 4).
| | | 4 | | | | | 3 | | | | ||
| | | | | | | | | | | | | |
| 1 | | | | 18 | | | 19 | | | 5 | ||
| | | | | | | | ||||||
| | | | | | | | | | | | | |
| | | 15 | | | | 16 | | | | 21 | ||
| | | | | | | |||||||
| | | | | | | | | | | | ||
| | | | | 2 | | | | 17 | | | ||
| | | | ||||||||||
| | | | | | | | | | | | ||
Рис. 4. Взаимосвязи показателей мотивации и социально-психологической адаптации у
гимнасток (n = 70. При p = 95% rкр = 0,23. При p = 99% rкр = 0,30.).
Условные обозначения: 1 – индекс групповой сплоченности, 2 – индекс поведенческого единства, 3 – индекс ценностно-ориентационного единства, 4 – субъективная оценка команды, 5 – прогноз выступления группы на соревнованиях, процесс занятий спортом, 15 – мотивация на процесс занятий спортом, 16 – мотивация достижения спортивных результатов, 17 – мотивация самосовершенствования, 18 – мотивация общения, 19 – мотивация долженствования, 21 – мотивация достижения успеха.
Значимыми для успешной адаптации к условиям учебно-трениро-вочных занятий и выступлениям в группе являются 12 качеств.

Рис. 5. Взаимосвязи показателей свойств личности и мотивации у гимнасток
(n = 70. При p = 95% rкр = 0,23. При p = 99% rкр = 0,30).
Условные обозначения: 15 – мотивация на процесс занятий спортом, 16 – мотивация достижения спортивных результатов, 17 – мотивация самосовершенствования, 18 – мотивация общения, 19 – мотивация долженствования, 21 – мотивация достижения успеха, 22 – эргичность, 23 – социальная эргичность, 24 – пластичность, 25 – социальная пластичность, 30 – экстраверсия, 31– нейротизм, 39 – альтруизм, 40 – индекс дружелюбности, 42 – коммуникативно-диалогическая направленность личности в общении, 50 – коллективистический тип отношения к группе, 51 – нервно-психическая устойчивость, 52 – коммуникативные особенности, 53 – моральная нормативность.
Адаптивно важными для выполнения групповых упражнений у девушек, занимающихся художественной гимнастикой являются: эргичность и пластичность в предметной и социальной сфере, дружелюбие, альтруизм, низкая агрессивность, коммуникабельность, моральная нормативность поведения, эмоциональная устойчивость, коммуникативно-диалогическая направленность в общении, коллективистический тип отношения к группе (рисунок 5).
Данный комплекс качеств обеспечивает высокий уровень социально-психологической адаптированности, выраженность внутренней и внешней положительной мотивации спортивной деятельности, а так же опосредует результативность групповой спортивной деятельности у гимнасток.
В четвертой главе – «Психолого-педагогическая технология управления адаптацией гимнасток к групповой спортивной деятельности» – приводится технология управления процессом адаптации гимнасток к условиям выступлений в команде и анализируются результаты ее апробации.
Формирующий эксперимент в данном исследовании был направлен на проверку эффективности разработанной педагогической технологии управления социально-психологической адаптацией гимнасток к выполнению групповых упражнений. В экспериментальную группу вошли девушки, выполняющие групповые упражнения в художественной гимнастике менее одного года, имеющие низкие показатели групповой сплоченности.
Индексы имеют групповой характер, объем выборки здесь составляет количество команд – 6.
Применение активных методов социально-психологического обучения, целенаправленная коллективная деятельность существенно увеличивает уровень социально-психологической адаптированности гимнасток на начальных этапах занятий групповыми упражнениями (таблица 4): увеличились показатели сплоченности команд, единства на уровне поведения и ценностных ориентаций. Улучшается отношение гимнасток к совместной деятельности в спорте, восприятие других членов своей команды, возрастает вера в их общий успех в спорте. Произошла переориентация гимнасток с индивидуалистических позиций, отношения к другим спортсменкам как к соперницам, на работу в команде, партнерское отношение и взаимную поддержку.
В экспериментальных командах гимнасток значительно возросла успешность выполнения групповых упражнений, особенно исполнительского мастерства (таблица 4).
Таблица 4
Достоверные различия показателей социально-психологической адаптированности,
успешности спортивной деятельности в экспериментальной группе до и после
формирующего воздействия (n = 6)
| Показатели социально-психологической адаптированности | До эксперимента | После эксперимента | t | Р | ||
![]() | σx | ![]() | σy | |||
| Групповая сплоченность | 0,2 | 0,06 | 0,4 | 0,08 | 4,46 | 0,01 |
| Поведенческая сплоченность | 5,5 | 1,04 | 3,0 | 0,89 | 4,07 | 0,01 |
| Ценностно-ориентационное единство | 1,4 | 1,37 | 3,5 | 1,14 | 2,63 | 0,05 |
| Оценка команды | 10,5 | 2,27 | 14,54 | 2,2 | 2,85 | 0,05 |
| Прогноз выступления | 2,97 | 1,03 | 4,65 | 0,97 | 2,65 | 0,05 |
| Показатели успешности | ||||||
| Исполнительское мастерство | 5,1 | 0,75 | 6,3 | 0,6 | 3,30 | 0,01 |
| Артистичность | 4,8 | 0,93 | 5,9 | 0,61 | 2,61 | 0,05 |
| Сложность | 4,9 | 0,73 | 5,65 | 0,58 | 2,12 | 0,05 |
| Общий балл | 4,93 | 0,8 | 5,95 | 0,59 | 2,71 | 0,05 |
Произошло изменение не только в объективных параметрах, но и в субъективном аспекте результативности деятельности: успехи в выполнении групповых упражнениях сопровождаются положительными эмоциями, отношениями к работе гимнасток в командах, межличностному взаимодействию в спорте (таблица 5).
В показателе мотивации на результат деятельности значимых различий не выявлено. Это объясняется значительной выраженностью данного мотива у гимнасток и до начала эксперимента. Однако, гимнастки стали больше обращать внимание на содержание тренировок, придавать значение получению позитивных эмоций, удовольствия от выполнения групповых упражнений. У них появилось больше желания общаться друг с другом и с тренером, помогать друг другу, делиться своими проблемами и радостями.
Возросла компетентность девушек в общении. Гимнастки стали более эмоционально стабильными, гибкими во взаимодействии, уверенными в себе, социабельными, что позволяет им легче приспосабливаться к новым ситуациям и условиям деятельности.
Таблица 5
Достоверные различия показателей удовлетворенности спортивной деятельностью,
мотивации, личностного адаптационного потенциала, коммуникативных качеств
личности, направленности в общении, типа отношения к команде в экспериментальной группе до и после экспериментального воздействия (n = 30)
| Показатели | До эксперимента | После эксперимента | t | Р | ||
![]() | σx | ![]() | σy | |||
| Тренировки | 4,2 | 2,18 | 5,89 | 1,94 | 3,17 | 0,01 |
| Выступления на соревнованиях | 3,6 | 2,45 | 5,7 | 1,95 | 3,68 | 0,01 |
| Отношения с тренером | 4,7 | 2,31 | 6,12 | 2,02 | 2,54 | 0,05 |
| Отношения в команде | 3,5 | 2,55 | 6,45 | 1,75 | 5,23 | 0,001 |
| Показатели мотивации на: | ||||||
| сам процесс | 5,45 | 2,20 | 6,65 | 1,81 | 2,31 | 0,05 |
| общение | 4,21 | 2,85 | 6,11 | 2,02 | 2,96 | 0,01 |
| долженствование | 4,70 | 2,10 | 5,84 | 1,55 | 2,39 | 0,05 |
| Показатели личностного адаптационного потенциала | ||||||
| Коммуникативные особенности | 4,25 | 2,00 | 5,62 | 1,85 | 2,76 | 0,01 |
| Адаптивные способности | 5,80 | 2,11 | 7,00 | 1,84 | 2,35 | 0,05 |
| Показатели коммуникативных качеств личности | ||||||
| Дружелюбие | 6,20 | 2,25 | 7,55 | 2,26 | 2,32 | 0,05 |
| Агрессивность | 4,95 | 2,21 | 3,27 | 2,10 | 3,02 | 0,01 |
| Показатели направленности в общении | ||||||
| Диалогическая | 1,02 | 2,00 | 2,56 | 1,71 | 3,22 | 0,01 |
| Авторитарная | 4,49 | 2,12 | 3,22 | 2,06 | 2,37 | 0,05 |
| Манипулятивная | 5,52 | 2,51 | 3,45 | 2,04 | 3,51 | 0,01 |
| Индифферентная | 3,28 | 2,51 | 2,04 | 2,28 | 2,01 | 0,05 |
| Показатели типа отношения к команде | ||||||
| индивидуалистический | 6,52 | 2,55 | 5,11 | 2,15 | 2,32 | 0,05 |
| прагматический | 5,01 | 2,34 | 3,53 | 2,14 | 2,56 | 0,05 |
| коллективистический | 2,47 | 2,21 | 5,36 | 2,03 | 5,28 | 0,001 |
Возросла диалогическая направленность личности в общении, снизилась выраженность авторитарной, манипулятивной и индифферентной направленности: девушки стали стремиться к установлению партнерских отношений с людьми в целом, а не только в своей команде.
Значительно меньше у гимнасток стали проявляться тенденции к агрессивному подавлению собеседника, к доминированию над другими, к манипуляции собеседником с целью получения личной выгоды, и склонность к избеганию общения, к переводу взаимодействия только в деловое русло .
Таким образом, полученные данные свидетельствуют о том, что в экспериментальной группе под влиянием педагогической технологии произошли позитивные изменения в социально-психологической адаптированности, успешности спортивной деятельности, удовлетворенности занятиями художественной гимнастикой.
Таблица 6
Достоверные различия показателей социально-психологической
адаптированности и успешности в контрольной группе
в первом и итоговом измерениях (n = 7)
| Показатели адаптированности | До эксперимента | После эксперимента | t | р | ||
![]() | σx | ![]() | σy | |||
| Единство в поведении | 5,8 | 1,03 | 4,52 | 1,05 | 2,30 | 0,05 |
| Исполнительское мастерство | 5,15 | 0,72 | 5,92 | 0,63 | 2,12 | 0,05 |
В контрольной группе большинство характеристик социально-психологической адаптированности, артистичность при выполнении групповых упражнений, без специально организованного педагогического воздействия значимо не изменяются. По большинству значимых характеристик экспериментальная группа значительно превосходит контрольную (таблицы 6, 7 и 8).
Таблица 7
Достоверные различия показателей социально-психологической адаптированности и успешности в контрольной и экспериментальной группе в итоговых измерениях
(n1 = 6, n2 = 7)
| Показатели адаптированности | Контрольная группа | Эксперимен-тальная группа | t | р | ||
![]() | σx | ![]() | σy | |||
| Групповая сплоченность | 0,2 | 0,05 | 0,41 | 0,08 | 4,73 | 0,001 |
| Поведенческая сплоченность | 4,52 | 1,05 | 3,01 | 0,89 | 2,46 | 0,05 |
| Ценностно-ориентационное единство | 1,85 | 1,28 | 3,50 | 1,14 | 2,15 | 0,05 |
| Оценка команды | 11,62 | 2,25 | 14,54 | 2,2 | 2,07 | 0,05 |
| Прогноз выступления | 3,30 | 1,13 | 4,65 | 0,97 | 2,02 | 0,05 |
| Исполнительское мастерство | 5,15 | 0,72 | 6,30 | 0,61 | 2,99 | 0,05 |
| Общий балл | 4,93 | 0,79 | 5,95 | 0,59 | 2,29 | 0,05 |
Таблица 8
Достоверные различия показателей удовлетворенности деятельностью,
мотивации и свойств личности в контрольной и экспериментальной
группе в итоговых измерениях (n1 = 35, n2 = 30)
| Показатели | Контрольная группа | Эксперимен-тальная группа | t | р | ||
![]() | σx | ![]() | σy | |||
| Удовлетворенности: тренировкой | 4,51 | 2,20 | 5,89 | 1,94 | 2,68 | 0,01 |
| выступлениями на соревнованиях | 4,0 | 2,44 | 5,7 | 1,95 | 3,10 | 0,01 |
| отношениями с тренером | 4,91 | 2,30 | 6,12 | 2,02 | 2,25 | 0,05 |
| отношениями в команде | 4,2 | 2,50 | 6,45 | 1,75 | 4,20 | 0,001 |
| Мотивация: на процесс | 5,40 | 2,2 | 6,65 | 1,8 | 2,51 | 0,05 |
| на общение | 4,28 | 2,85 | 6,1 | 2,02 | 2,97 | 0,01 |
| долженствования | 4,75 | 2,1 | 5,84 | 1,55 | 2,38 | 0,05 |
| Индекс агрессивности | 4,60 | 2,20 | 3,27 | 2,10 | 2,49 | 0,05 |
| Направленность: диалогическая | 1,16 | 2,1 | 2,56 | 1,7 | 2,95 | 0,01 |
| авторитарная | 4,32 | 2,12 | 3,22 | 2,06 | 2,12 | 0,05 |
| манипулятивная | 5,51 | 2,42 | 3,45 | 2,04 | 3,71 | 0,01 |
| Тип отношения к команде: индивидуалистический | 6,41 | 2,48 | 5,11 | 2,15 | 2,26 | 0,05 |
| коллективистический | 3,15 | 2,19 | 5,36 | 2,03 | 4,22 | 0,001 |
Технология, предложенная в данном исследовании, в большой степени ускоряет и оптимизирует адаптированность гимнасток к работе в команде, способствует развитию адаптивно важных качеств личности и развитию позитивной мотивации занятий спортом. В экспериментальной группе выше удовлетворенность спортивной деятельностью и межличностными отношениями с тренером и другими спортсменками.
Таким образом, полученные результаты свидетельствуют о высокой эффективности предложенной педагогической технологии в плане ускорения и оптимизации процесса социально-психологической адаптации девушек, занимающихся групповыми упражнениями в художественной гимнастике на начальных этапах освоения командной деятельности.
Выводы
1. В успешных командах девушек, выполняющих групповые упражнения в течение 2-3 лет (опытные команды), по сравнению с начинающими командами гимнасток, выявлен более высокий уровень групповой сплоченности, единства ценностных ориентаций, поведения и действий, позитивное отношение к группе, уверенность в коллективных достижениях.
2. У гимнасток с высокой успешностью и большим стажем выполнения групповых упражнений повышается мотивация на процесс деятельности, долженствование, общение и самосовершенствование, стремление к достижениям; прослеживается более высокий уровень развития адаптивных способностей, коммуникабельность, альтруизм и стремление к сотрудничеству, диалогическая, партнерская направленность в общении, коллективистическое отношение к группе.
3. Социально-психологическая адаптированность, прежде всего, такие ее показатели, как групповая сплоченность и поведенческое единство группы, оказывает позитивное влияние на успешность выполнения групповых упражнений, в особенности на исполнительское мастерство и артистичность, а также на удовлетворенность спортивной деятельностью гимнасток.
4. Социально-психологическая адаптированность гимнасток опосредуется такими свойствами темперамента, как: социальная пластичность (гибкость), социальная эргичность (активность), эмоциональность (чувствительность), экстраверсия (общительность).
5. Успешность адаптации к групповой спортивной деятельности определяется коммуникативными свойствами личности: дружелюбностью в межличностных отношениях, уступчивостью, альтруистической установкой, коммуникативно-диалогической направленностью в общении, коллективистическим типом отношения к группе, коммуникабельностью, моральной нормативностью поведения.
6. Социально-психологическая адаптированность гимнасток предполагает повышение значимости мотивации на процесс и результат спортивной деятельности, самосовершенствование, общение, долженствование.
7. Выявлена связь ведущих мотивов – на спортивный результат, процесс деятельности, долженствование, общение, с такими свойствами, как эргичность, пластичность в предметной и социальной сфере, коллективистический тип отношения к группе, дружелюбие, альтруизм, моральная нормативность, эмоциональная устойчивость, экстраверсия.
8. В результате формирующего эксперимента выявлено, что в группе гимнасток, занимавшихся по специально разработанной педагогической технологии управления адаптацией, возросла сплоченность, направленность на достижение совместных спортивных успехов, гармонизировались межличностные отношения, повысился уровень развития коммуникативных качеств личности, возросла успешность спортивной деятельности и удовлетворенность занятиями гимнастикой.
Основное содержание диссертации отражено в публикациях:
1. Быстрова, И.В. Термины групповых упражнений художественной гимнастики / И.В.Быстрова // Термины и понятия в сфере физической культуры: первый международный конгресс, 20-25 декабря 2006 года. СПб., 2006.
2. Быстрова, И.В. Методический подход к изучению управления процессом адаптации представительниц художественной гимнастики к спортивной деятельности / И.В.Быстрова // Психологические основы педагогической деятельности. Материалы 33-й научной конференции. – СПб., 2006.
3. Быстрова, И.В. Особенности адаптации представительниц художественной гимнастики к групповой спортивной деятельности / И.В.Быстрова // Психологические основы педагогической деятельности. Материалы 10-й межвузовской научной конференции. – СПб., 2007
4. Быстрова, И.В. Мотивация спортивной деятельности гимнасток в «начинающих» и «опытных» группах / И.В.Быстрова // Психологические основы педагогической деятельности. Материалы 10-й межвузовской научной конференции. – СПб., 2007.
5. Быстрова, И.В. Влияние социально-психологической адаптированности на результативность спортивной деятельности девушек, занимающихся художественной гимнастикой / И.В.Быстрова // Науч.-теорет. журнал: Ученые записки университета им.П.Ф.Лесгафта. - № 9 (31)- 2007 г.- СПбГУФК им.П.Ф.Лесгафта. – СПб., 2007


