Программа курса (по выбору обучающихся) тайны создания домашнего
| Вид материала | Программа курса |
- Программа курса по выбору Для всех специальностей, 210.25kb.
- Программа курса по выбору ставрополь 2007, 232.67kb.
- В. Б. Гисин Дисциплина по выбору «Математическая логика и теория алгоритмов» Настоящий, 5.87kb.
- Учебная программа курса по выбору по дисциплине «Биоорганическая химия» Специальность:, 174.53kb.
- Программа курса по выбору для учащихся 12 класса общеобразовательных учреждений с 12-летним, 107.47kb.
- Программа элективного курса «Компьютерная графика», 346.31kb.
- Программа курса по выбору для учащихся 11 класса общеобразовательных учреждений с 12-летним, 89.04kb.
- + Аннотация на дисциплину по выбору, 15.29kb.
- Программа курса по выбору предназначена для организации предпрофильной подготовки учащихся, 16.77kb.
- Цели и задачи курса, 69.46kb.
ПРОГРАММА
курса (по выбору обучающихся)
ТАЙНЫ СОЗДАНИЯ ДОМАШНЕГО
ОЧАГА
c краткими методическими рекомендациями
9 класс

Содержание:
Пояснительная записка…………………………………………….3
Тематическое планирование……………………………………….6
Программа курса «Тайны создания домашнего очага»:
Модуль I. Тайны кулинарного искусства…………………………..7
Модуль II. Тайны создания уюта в доме…………………………..10
Рекомендуемая литература………………………………………..13
Для учителя
Для учащихся
Приложение………………………………………………………...15
Приложение 1. Методические материалы для проведения курса по выбору.
Приложение 2. Анкета1, 2 для учащихся
Приложение 3. Памятка для учителя «Самоанализ занятия»
Приложение 4. Таблица «Воздействие цвета на психоэмоциональное состояние человека»
Приложение 5. Схема введения предпрофильной подготовки в школе.
Пояснительная записка
Курс «Тайны создания домашнего очага» используется в предпрофильной подготовке обучающихся 9 класса, относится к авторским курсам по выбору межпредметного характера. Программа курса рассчитана на 34 часа в год. Программе курса присуще развивающая функция. В основе обучения учащихся используется современная деятельностная образовательная технология - проект.
Цель курса – формирование интереса и положительной мотивации школьников к художественно-технологическому направлению обучения и будущей профессиональной деятельности.
Предлагаемый курс призван решать задачи создания условий для формирования и развития у школьников:
- Практико-деятельностных умений в области технологии и искусства.
- Творческих способностей и интереса при выполнении творческих проектов.
- Стремления проявлять свои способности и добиваться успеха.
- Умения самостоятельно приобретать и применять знания на практике.
- Коммуникативных навыков, которые способствуют развитию умений работать в группе, выступать с защитой творческого проекта.
- Возможности реализовать свой интерес к предметным областям «Технология» и «Искусство», готовности для подготовки к экзамену по выбору.
- Способности к профессиональному самоопределению.
В процессе освоения данного спецкурса, обучающиеся приобретут следующие знания о:
- мире современных профессий;
- этапах выполнения и защиты творческого проекта;
- культуре застолья, правилах приёма гостей, основах рационального питания, сервировке стола, профессии «повар-кондитер», особенностях организации предприятий общественного питания;
- роли интерьера в психологическом состоянии человека;
- технологии выполнения работ декоративно-прикладного назначения для украшения своего жилища;
- видах росписи по ткани, технологии выполнения холодного и горячего батика;
- особенностях технологии уборки квартиры;
- профессии «дизайнер интерьера».
На основе усвоенных знаний формируются умения:
- планировать проектную деятельность;
- выполнять и представлять творческие проекты;
- выполнять декоративно-прикладные работы для украшения интерьера (гобелен, макраме, панно, роспись по ткани);
- выполнять уборку помещений.
Курс « Тайны создания домашнего очага» поможет обучающимся 9 класса осуществить сознательный выбор профиля обучения в старшей школе. Курс ориентирует обучающихся на художественно-эстетический, художественно-технологический профили обучения. Структура курса состоит из 2-х модульных курсов. Каждый модуль может выполнять функцию курса по выбору (элективного). Модуль I «Тайны кулинарного искусства» рассчитан на 16 часов, из-за большого объема практических работ (проектов) предпочтительно на изучение данного раздела отводить 2 часа в неделю, модуль II «Тайны создания уюта в доме» рассчитан на 18 часов. Программой курса соблюдается преемственность: содержание модулей курса по выбору соответствует общей идеи «создания домашнего очага», изучение всех последующих тем обеспечивается предыдущими темами и связано с ранее изучаемым материалом предметной области «Технология», «Искусство».
Программа курса соответствует концепции модернизации образования (введение предпрофильной подготовки обучающихся). Обучающиеся получают знания, развивающие познавательный интерес, расширяющие базовые курсы «Технология», «Искусство». В программу включены современные технологические знания и перспективные техники исполнения творческих работ. Программный материал может применяться для обучения различных групп школьников (совместное обучение мальчиков и девочек), так как отличается целостностью , актуальностью и модульным принципом построения программы. Достоинством программы спецкурса является практическая направленность обучения, что позволяет осуществить «профессиональные пробы». Программа дает возможность контролировать промежуточные и итоговые результаты, а также вовремя выявить сбой в прохождении материала. Использование наиболее эффективных методов обучения (технология проектной деятельности) позволяет учителю получить запланированный результат. Уроки проводятся в следующих формах: проблемно-поисковой деятельности, игровой деятельности, защиты и презентации проекта, круглого стола. Изучение тем спецкурса предполагает тесную взаимосвязь с информационной работой и психолого-педагогической работой, проводимой в школе в рамках предпрофильной подготовки учащихся.
Различные достижения обучающихся по выполнению творческих проектов, во-первых, могут войти в состав индивидуальной накопительной оценки «портфолио», что, несомненно, будет учтено при зачислении в профильный класс. Во-вторых, школьники имеют реальную возможность осуществить выбор экзамена в форме выполнения творческого проекта. В-третьих, многие школьники совершают выбор сферы профессиональной деятельности (ступень начального профессионального образования или средне-специального образования). В рамках предлагаемого спецкурса они ориентируются на выбор профессий: повар-кондитер, дизайнер интерьера, посредством знакомства со спецификой профессиональной деятельности, включающей профессиональные мини-пробы.
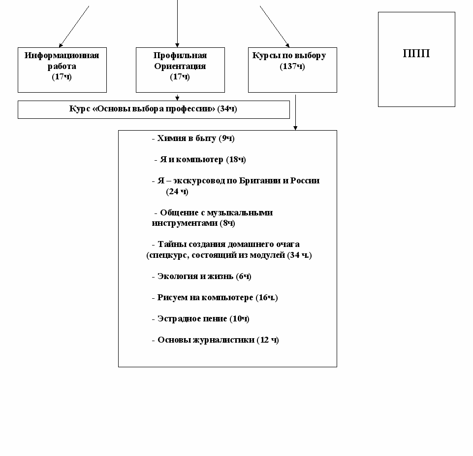
Структуру курса можно представить при помощи схемы:
СХЕМА структуры курса «Тайны создания домашнего очага»
ТАЙНЫ СОЗДАНИЯ ДОМАШНЕГО
ОЧАГА (34 ч)

КУРСЫ ПО ВЫБОРУ В РАМКАХ
ППП, осуществляемой в школе
ТЕХНОЛОГИЯ ПРОЕКТНОЙ ДЕЯТЕЛЬНОСТИ

Тематическое планирование
курса
«Тайны создания домашнего очага»
| Разделы и темы | Количество учебных часов |
| Модуль I. Тайны кулинарного искусства | |
| Особенности выполнения творческого проекта. | 1 |
| Кулинария – это наука. Культура застолья. Организация стола для приема гостей. | 1 |
| Технология приготовления холодных закусок и коктейлей. Технология приготовления блюд «на скорую руку» и горячих напитков. | 6 |
| Основы рационального питания. | 2 |
| Проектная деятельность и профессиональная проба «повар-кондитер». | 6 |
| Итого: | 16 |
| Модуль II.Тайны создания уюта в доме. | |
| Влияние интерьера на психологическое состояние человека. Цветовое оформление интерьeра помещений. | 1 |
| Технология создания изделий декоративно-прикладного направления (гобелен, макраме, батик, текстильная пластика). | 4 |
| Технология уборки помещения. | 1 |
| Проектная деятельность и профессиональная проба «дизайнер интерьера». | 12 |
| Итого: | 18 |
| Итого: раздел I и раздел II | 34 |
Программа курса «Тайны создания домашнего очага»
(9 класс), 34 ч.
(с краткими методическими рекомендациями)
Модуль I. Тайны кулинарного искусства (16ч)
Тема. Особенности выполнения творческого проекта (1 ч).
Основы проектной деятельности. Классификация проектов. Особенности творческого проекта. Этапы работы над проектом. Презентация и защита проекта. Критерии оценки проекта (см. приложение 1).
Анкетирование учащихся «на входе» (см. приложение 2, анкета № 1).
Тема. Кулинария – это наука. Культура застолья, организация стола для приема гостей (1 ч).
На протяжении веков человечество приобретало огромный опыт в области обработки продуктов и приготовления пищи. В 1779году в России вышла первая кулинарная книга Сергея Друковцева «Поваренные записи». Огромные традиции накоплены русскими поварами. Особенности кухни народов различных стран. Пища – основа жизни человека. Правила приготовления различных блюд.
Техника безопасности труда при кулинарной обработке продуктов. Санитарно-гигиенические требования к технологии приготовления блюд.
Культура застолья. Сервировка праздничного стола. Особенности шведского стола, «А ля фуршет», коктейльного стола. Приемы складывание салфеток.
Задание Выполнить в группах мини-проект: сервировать стол. Защитить проект.
Тема. Технология приготовления холодных закусок и коктейлей (2 ч).
К холодным блюдам относятся: салаты, холодные блюда из рыбы и мяса, бутерброды. Технология приготовления салатных соусов. Особенности приготовления холодных блюд из рыбы. Приготовление горячих бутербродов.
Особенности приготовление коктейлей. Подача к столу. Сообщение темы итогового проекта «Организация и работа кафе». Планирование работы над проектом. В ходе работы над выполнением проекта, учитель выступает в роли консультанта.
Задание Проект. Приготовление холодных закусок и коктейлей. Дегустация.
Тема. Проект «Встречаем гостей» (2 ч).
Правила хорошего тона. Роль хозяина и хозяйки дома.
Задание Проектная деятельность. Распределить роли. Приготовить несколько блюд, сервировать стол и пригласить «в гости» одноклассников, учителей. Презентация проекта проходит в игровой ситуации. Итог презентации проекта подводится за «круглым столом». Д/з. Сообщается тема для самостоятельной поисковой работы над следующим проектом «Блюда на скорую руку».
Тема. Технология приготовления блюд «на скорую руку» и горячих напитков (2ч).
Многие попадали в ситуацию, когда неожиданно приходят гости. Если знать несколько нехитрых рецептов быстрого приготовления блюд, то гости приятно удивятся. Учащиеся приносят уже подобранные дома рецепты и продукты. Выполняют мини-проект. Можно предварительно предложить тему для самостоятельной поисковой деятельности: «Необычные рецепты приготовления горячих напитков», результатом которой будет мини-проект по приготовлению какого-либо изысканного напитка.
Тема. Проект «Ужин при свечах» (2 ч).
Сервировка стола к ужину. Как пользоваться столовыми приборами. Правила поведения в ресторане. На этом занятии можно провести ролевую игру «Ужин в ресторане». Технология приготовления горячих блюд.
Задание На первом занятии можно приготовить несложное горячее блюдо, салат, десерт, сервировать стол. Работу лучше выполнять коллективно. Презентация проекта проходит «при свечах».
Тема. Основы рационального питания. Как правильно
составить меню (2 ч).
Принципы, которым должно отвечать рациональное питание. Роль основных пищевых веществ и пищевая ценность различных продуктов. Что должен знать о пищеварении каждый человек. Различные виды диет, их достоинства и недостатки. Как правильно готовить домашнюю пищу. Как составить сбалансированное меню.
Задание Примерные темы выполнения мини-проектов: «Меню для похудения», « Меню для детей детского сада», «Меню для людей с дефицитом массы тела», «Последствия чрезмерного или неправильного питания».
Проекты предпочтительно выполнять в группах по 2-3 человека и защищать проекты на этом же занятии.
Тема. Тайны украшения стола (2ч).
Украшение стола – это искусство. Основные требования к украшению стола. Художественное оформление блюд. Украшения из теста. Приемы создания украшений из овощей, фруктов.
Задание Мини-проект «Дизайн блюда» предполагает выполнение украшений блюд из овощей. Можно на данном занятии провести конкурс на лучшее украшение бутербродов, салатов.
Тема. Обобщение знаний и умений обучающихся. Профессиональная проба. Проект «Организация и работа кафе» (2 ч).
На заключительном занятии подводятся итоги изучения курса, осуществляется профессиональная проба «повар-кондитер» в форме деловой игры «Работаем в кафе». Перед обучающимися ставится задача - организовать работу школьного кафе (необходимо тему проекта сообщить детям на первых занятиях и курировать их самостоятельную деятельность по разработке проекта). Распределяются роли: директора, администратора, бухгалтера, поваров-кондитеров, официантов и т. д. Составляется бизнес-план работы кафе. Обучающиеся могут организовать работу такого кафе на школьном новогоднем вечере.
Возможно, совместно с классным руководителем, занимающимся информационной работой в рамках предпрофильной подготовки учащихся, организовать экскурсию в профессиональное училище, где занимаются подготовкой поваров-кондитеров или посетить предприятие общественного питания с целью знакомства с его деятельностью.
Защита проекта осуществляется выполнением своей роли каждым учеником, с последующим оцениванием проекта учителем и учащимися.
Модуль II. Тайны создания уюта в доме (18 ч).
Тема. Влияние цвета на психологическое состояние человека. Цветовое оформление интерьера (1 ч).
Природа всегда дарила человеку бесконечный веер цветовых переживаний. У большинства людей есть определенные симпатии к одним цветам и антипатии к другим. Цвет влияет на состояние психики человека. Цвет как элемент создания психологического комфорта и как средство эмоционально-эстетического воздействия на организм человека. По воздействию на человека цвета разделяют на теплые и холодные. Благоприятное воздействие на центральную нервную систему и зрение оказывает зеленый и голубой. Все светлые тона вызывают хорошее настроение, темные – угнетают, подавляют. Красный и желтый – возбуждают и активируют деятельность ЦНС. Правильное применение цвета в оформлении помещений позволяет изменить настроение человека. В оформлении интерьера надо исходить из законов цветовой динамики, учитывать то, что интерьер своей цветосветовой средой создает определенное отношение впечатление у человека, влияет на его настроение и ощущения. Влияние цвета необходимо учитывать при организации пространства жилища (см. приложение 5) Законы жилища и их цветовое оформление. Роль фитодизайна в оформлении интерьера.
Задание На этом занятии необходимо сообщить тему итогового проекта, определить совместно с учащимися этапы для работы над разработкой эскизов в течение оставшегося времени на изучение данного курса. Примерные темы: «Интерьер кухни в русском народном стиле», «Современная гостиная», «Интерьер классной комнаты», «Моя комната», «Детская» и т.д. Работа может выполняться индивидуально и в группах с использованием техники коллажа или компьютерных программ.
Тема. Технология уборки помещения (1ч).
Каждый человек, возвращаясь после трудового дня в свою квартиру, чувствует потребность в уюте, теплоте, покое. Уют и чистота в квартире – это результат кропотливого труда. Чтобы в доме было светло и чисто необходимо привести в порядок окна. Технология чистки окон: протереть подоконник и рамы теплой водой с мылом, стекла почистить специальными средствами и жидкостями, содержащими спирт, ПАВ и антистатики. При уборке ванной комнаты: абразивные вещества - для чистки кафельных поверхностей, безабразивные и несодержащие кислоты – для чистки эмалированных поверхностей. Мытье посуды специальными средствами. Мытье различных половых покрытий специальными средствами. Уход за мебелью.
Задание Круглый стол «Чистота и уют в доме» Подобрать полезные советы из дополнительной литературы по теме занятия. Придумать и показать рекламу «своей фирмы» по уборке помещений (работа в группах 2-4 человека).
Тема. Виды гобеленов. Технология изготовление навивного
гобелена (3 ч).
Ручное ковроделие как вид декоративно-прикладного искусства. Виды гобеленов: иглопрошивной, вязаный, навивной. Этапы изготовление навивного гобелена.
Задание Проект «Гобелен своими руками». Возможно выполнение (индивидуально) небольшого образца - 15х15 см по готовым эскизам, по желанию учащихся задание выполняется в группах в виде панно для украшения интерьера.
Тема. Технология изготовления изделий в технике макраме (2 ч).
История возникновения макраме. Основные узлы. Применение изделий, выполненных в технике «макраме» в оформлении жилища, одежды.
Задание Проект «Кашпо», выполняется индивидуально или группой по 3 человека. Возможно усложнения задания, в зависимости от уровня подготовки учащихся.
Тема. Основы выполнения текстильной пластики (3 ч).
Технология выполнения цветов из ткани. Этапы работы над панно, выполненным в технике текстильной пластики.
Задание Выполнение коллективного проекта «Панно в технике текстильной пластики». Возможно применение смешанных техник: макраме, солёного теста.
Тема. Технология росписи по ткани. Холодный батик (2 ч).
История возникновения батика. Холодный и горячий батик. Этапы выполнения холодного батика. Использование изделий, выполненных в технике батика в оформлении жилища.
Задание Выполнение мини-проекта: изготовление салфетки, панно в технике «холодный батик».
Тема. Технология выполнения горячего батика (2 ч).
Этапы выполнения горячего батика. Материалы и принадлежности для батика. Выполнение узелкового батика. Изготовление салфетки.
Задание Проект «Вареная одежда» выполняется в домашних условиях.
Тема. Проект изготовления панно в различных техниках.
Защита проектов (2 ч).
На основе изученных техник выполняется коллективный проект «Декоративное панно для школы или детского сада». Возможно использование разнообразных техник исполнения или работа в определенной технике. Панно представляется для презентации как коллективный проект на последнем занятии курса.
Анкетирование учащихся (см. приложение, анкета № 2).
Тема. Защита творческих проектов. Профессиональная проба «дизайнер интерьера» (2 ч).
Одной из самых привлекательных профессий для выпускников является профессия дизайнера. Но мало кто знает, что в данной профессии большую часть времени необходимо отдавать чертежам, математическим расчетам. Направлений в дизайне множество: графический дизайн, промышленный дизайн, дизайн среды, дизайн, связанный с внешностью человека. Возможно, обзорно познакомить учащихся с направлениями дизайна. Для самостоятельного изучения учащимся можно предложить список тем по теме проекта. Например: «История развития дизайна», «Виды дизайна», «Ландшафтный дизайн», «Имидж человека».
Защита проектов проводится в форме презентации. Обобщение, подведение итогов изучения курса.
Рекомендуемая литература
Литература для учителя:
- Изабелла Мартин Блюда, от которых можно похудеть.- М.: «Покупки на дом», 2002. – 88с.
- Рогов Е.И. Настольная книга практического психолога в образовании:
Учебное пособие. – М.: ВЛАДОС, 1995. – 529с.
- Сальникова Л.С. Экзамен на хозяина и хозяйку. – М.: Моск.рабочий, 1987. – 208с.
- Селевко Г.К. Современные образовательные технологии: Учебное пособие. – М.: Народное образование, 1998.- 321с.
- Скурихин И.М., Шатерников В.А. Как правильно питаться.- М.: ВО «Агропромиздат», 1987.- 256с.
- Сокольникова Н.М. Изобразительное искусство и методика его преподавания в начальной школе. – М.: Академия, 2002.
- Страшнов В.Г. Вашему дому – красоту и уют. – М.: Моск.рабочий, 1990. – 224с.
- Челышева Т.В.Предпрофильная подготовка девятиклассников. Образовательная область «Искусство». Учебно-методическое пособие. –М.: АПК и ПРО,2003. -102с.
- Юдин А.М. Химия в нашем доме: Справ. Изд.-2-е изд.,стер.- М.: Химия, 1991.-2
- Концепция профильного обучения на старшей ступени общего образования (утверждена Приказом Министерства образования РФ от 18.07.2002 г. №2783).
- Новые педагогические и информационные технологии в системе образования: Учеб. Пособие для студ. Пед. Вузов и системы повыш. Квалиф. Пед. Кадров / под ред. Е.С.Полат. – М.: Издательский центр «Академия», 2002. – 272с.
- Практика административной работы в школе. – 2003, № 6
- Программы для общеобразовательных учреждений. Трудовое обучение 5-9 классы сельской школы. Сельский дом и семья /под ред. Кальней В.А.
- Технология. Трудовое обучение. Программы общеобразовательных учреждений. – М.: Просвещение, 2000.72с.: ил.
- Цели, содержание и организация предпрофильной подготовки в выпускных классах основной школы / Под рук. Пинского А.А. М.: 2003.
- Школьный психолог. – 2004, № 44.
Литература для учащихся:
- Технология. Учебник для учащихся 10 класса общеобразовательной школы/ Под ред. В.Д. Симоненко. – М.: Вентана-Граф, 2000.
- Изабелла Мартин Блюда, от которых можно похудеть.- М.: «Покупки на дом», 2002. – 88с.
- Скурихин И.М., Шатерников В.А. Как правильно питаться.- М.: ВО «Агропромиздат», 1987.- 256с.
- Сокольникова Н.М. Изобразительное искусство и методика его преподавания в начальной школе. – М.: Академия, 2002.
Приложение
Приложение 1. Методические материалы для проведения курса по выбору.
М Е Т О Д П Р О Е К Т О В.
В основе метода проектов лежит развитие познавательных навыков учащихся, умений самостоятельно конструировать свои знания и ориентироваться в информационном пространстве, развитие критического мышления. Метод проектов – способ достижения дидактической цели через детальную разработку проблемы (технологию), которая должна завершиться реальным практическим результатом, оформленным и представленным. Суть идеи метода проектов – РЕЗУЛЬТАТ. Чтобы добиться результата, необходимо научить детей:
- Самостоятельно мыслить.
- Находить и решать проблемы.
- Прогнозировать результаты и последствия разных вариантов решения.
- Умения устанавливать причинно-следственные связи.
Метод проектов всегда ориентирован на самостоятельную деятельность учащихся – индивидуальную, парную, групповую в течение определенного времени и ориентирует на решение какой-либо проблемы.
Типология проектов.
- По доминирующей деятельности:
- Исследовательская
- Поисковая
- Творческая
- Ролевая
- Прикладная
- Ознакомительная
- Предметно-содержательная область:
- Монопроект
- Межпредметный проект
- Характер координации проекта:
- Непосредственный
- Скрытый
- Характер контактов (среди учащихся одной школы, города, региона, стран мира)
- Количество участников проекта.
- Время выполнения.
Алгоритм проектной деятельности (для учителя).
- Выбор темы проекта, его типа, количества участников.
- Продумать различные варианты проблем в рамках намеченной темы. Совместное с учащимися выдвижение проблем.
- Распределение задач, обсуждение методов исследования, поиска информации, творческих решений.
- Самостоятельная работа участников проекта.
- Постоянно проводить промежуточные обсуждения получаемых результатов.
- Защита проекта.
- Коллективное обсуждение, объявление результатов внешней оценки, выводы.
Критерии внешней оценки.
- Актуальность проблемы
- Корректность методов исследования
- Активность каждого участника проекта в соответствии с его индивидуальными возможностями.
- Характер общения участников проекта
- Глубина проникновения в проблему, использование знаний из других областей
- Умение аргументировать свои заключения, выводы
- Эстетика оформления проекта
- Умение отвечать на вопросы
Доминирующие проекты в структуре курса по выбору
«Тайны создания домашнего очага».
Творческий проект.
Такие проекты предполагают соостветствующее оформление результатов. Как правило творческие проекты не имеют детально проработанной структуры совместной деятельности участников, она намечается и далее развивается, подчиняясь конечному результату. Оформление результата должно быть четко продуманно: сценарий, дизайн, альбом, панно и т.д.
Ролевой, игровой проект.
Приблизительно намечается структура проекта. Участники принимают на себя определенные роли, обусловленные характером и содержанием проекта. Это могут быть литературные персонажи или выдуманные герои, имитирующие социальные или деловые отношения, погружаемые в определенные ситуации. Степень творчества очень высокая, но доминирующим видом деятельности все-таки является ролево-игровая.
Прикладной (практико-ориентированный) проект.
Четко обозначенный с самого начала результат деятельности участников. Тщательно продуманная структура, сценарий деятельности участников. Организация презентации проекта, практического использования.
Последовательность работы над проектом.
| № п/п | Этапы работы над проектом | Содержание работы | Деятельность учащихся | Деятельность учителя |
| 1. | Подготовка | Определение темы и целей проекта. Формирование рабочей группы. | Обсуждают предмет проекта с учителем. Устанавливают цели. | Знакомит со смыслом проектного подхода и мотивирует учащихся. Помогает в постановке целей. Наблюдает за деятельностью. |
| 2. | Планирование |
| Формируют задачи. План действий. Вырабатывают критерии успеха проектной деятельности. | Предлагает идеи, предположения. Наблюдает за деятельностью учащихся. |
| 3. | Исследование | Сбор и уточнение информации, решение промежуточных задач, выполнение эскизов. Выбор оптимального варианта. | Выполняют эскизы, работают над решением промежуточных задач. | Косвенно руководит деятельностью учащихся. |
| 4. | Формулирование и оформление результатов. | Анализ информации. Формулирование выводов. | Оформление проекта. | Консультации учащихся. |
| 5. | Защита проектов | Подготовка «презентации» проекта. | Участвуют в презентации. | Роль рядового участника. |
| 6. | Оценка результатов проектной деятельности. | Анализ выполнения проекта. Выводы. | Участвуют в оценке проекта. | Участвует в оценке проекта. Внешняя оценка. |
Оценка творческого проекта
Ф.И. обучающегося______________ 9 класс. Дата защиты_______________
Тема проекта_______________________________________________________
Цель проекта_______________________________________________________
| | Достижение целей проекта (5 б) | Оформле- ние (5 б) | Защита | Процесс работы над проектом (по 5 б) | ||||
| Представ- ление (5 б) | Ответы на вопросы ( 5 б) | Творчество | Дополнительная.литература | Практическое применение | Умение работать в группе | |||
| Самооценка | | | | | | | | |
| Учитель | | | | | | | | |
| Учащиеся | | | | | | | | |
| И Т О Г О: | | | | | | | | |
Общее количество баллов за проект_________ Отметка________
100-120 баллов – «5»
85-100 баллов – «4»
65 -85 баллов – «3»
Меньше 65 баллов – рекомендуется доработать проект.
Памятка для учащихся
«КАК ПРЕЗЕНТОВАТЬ ПРОЕКТ»
Свое выступление постройте согласно плана:
- Название проекта.
- Цели выполнения проекта.
- Состав рабочей группы.
- Характеристика основных этапов работы над творческим проектом.
- Техника исполнения.
- Использованные материалы.
- Себестоимость проекта.
- Чему научились, что узнали.
- Свое отношение к работе.
- Предложения по усовершенствованию проекта и применению на практике.
Приложение 2. Анкета 1, 2 для учащихся
Анкета №1
(для учащихся 9 классов)
Ф.И._______________________дата________
Инструкция. Если вы согласны с утверждением, поставьте «+» в бланке ответов.
Подсчитайте количество «+» по каждой колонке.
- Мне нравится живопись, скульптура, музыка.
- Даже в отлаженном деле, я хочу что-то улучшить.
- Когда я читаю книгу, я чётко вижу её героев и описываемые события.
- Мне трудно выполнять работу, требующую резких ограничений.
- Знакомые мелодии вызывают у меня в голове определённые картины.
- Разнообразные увлечения делают жизнь человека богаче и ярче.
- Мне легко представить животное или предмет, которое не существовало в природе.
- Мне больше нравится процесс деятельности, чем сам результат
- Знакомый запах вызывает в моей памяти прошлые события.
- Я не хотел бы подчинять свою жизнь строгой системе.
- Я люблю посещать выставки, спектакли, концерты.
- Я сомневаюсь даже в том, что для других очевидно.
- Я согласен с утверждением, что красота спасёт мир.
- Не люблю ходить одним и тем же путём.
- Я легко могу представить в образах содержание рассказа.
- Я не могу успокоиться, пока не доведу работу до совершенства.
Бланк ответов
| Н-О | К |
| 1 | 2 |
| 3 | 4 |
| 5 | 6 |
| 7 | 8 |
| 9 | 10 |
| 11 | 12 |
| 13 | 14 |
| 15 | 16 |
| Всего: | Всего: |
Примечание: если 6-8 положительных ответов, то признак ярко выражен, если 4-5 –выражен незначительно,1-3 – не развит.
Н-О. Наглядно-образное мышление
К. Креативность – способность личности к творчеству
АНКЕТА №2
(для учащихся 9-х классов)
- Фамилия, имя _______________________дата____________________
- Твое отношение к курсу:
- Мне понравилось заниматься;
- Мне было трудно;
- Это точно не для меня;
- Другое____________________________________________________
- Сколько времени занимает выполнение проекта?________________
- Хочешь ли ты знать больше, чем дают на уроке?
- Да;
- Нет.
- Какого вида проекты тебе нравятся больше:
- Индивидуальные;
- Работа в группе;
- Другое_____________________________________________________
6. Хотел бы ты продолжить заниматься в данном направлении:
- Да;
- Нет;
- Другое_____________________________________________________
7. Твои пожелания и предложения_________________________________
_________________________________________________________________
_________________________________________________________________
Спасибо за ответы!
Приложение 3. Памятка для учителя «Самоанализ занятия»
Памятка для учителя « Самоанализ занятия».
- Какие цели занятия?
- Место данного занятия в программе курса по выбору.
- Как занятие связано с предыдущими?
- Как занятие работает на последующие?
- Учтены ли в организации и проведении занятия задачи предпрофильной подготовки?
- В чем уникальность данного занятия?
- Почему была выбрана именно эта форма (тип) занятия?
- Какие особенности обучающихся были учтены при подготовке занятия?
- Характер взаимодействия учителя с учениками.
- Были ли отклонения в проведении занятия, если – да, то какие и к чему привели?
- Достигнуты ли цели занятия?
- Реализованы ли принципы развивающего обучения (развитие мышления, опора на творческую деятельность, побуждение к самостоятельной деятельности)
- Развитие познавательного интереса к предмету.
- Причины успехов и недостатков занятия. Выводы.
Приложение 4. Таблица «Воздействие цвета на психоэмоциональное состояние человека».
| ЦВЕТ | Л О К А Л И З А Ц И Я | ||
| Вверху | Боковые поверхности или перспективы | Внизу | |
| Красный | Возбуждает,мобили-зирует | Возбуждает | Воспринимается неестественно, может «обжигать» |
| Розовый | Ощущение легкости, счастья | Чувство нежности | Часто ассоциируется с обонятельными ощущениями |
| Оранже-вый | Способствует концентрации внимания | Ощущение тепла, способст- вует релаксации | Эффект тепла воспринимается неестественно |
| Желтый | Вызывает приятные ощущения разрядки,отвлече-ния, способствует релаксации | Возбужда-ет,вызывает приятные ощущения | Эффект приподнятости, парения |
| Зеленый | Воспринимается неестественно | Успокаивает | Успокаивает,охлаждает,мо-жет оказывать снотворное действие |
| Голубой | Ощущение легкости, способствует релаксации | «Охлаж- дает», вызывает отчужде- ние | «Охлаждает» более выражено, чем зеленый |
| Синий | Вызывает тревожность, беспокойство | Отчуждение | Тревога, «холод», ощущение бездны |
| Коричне- вый | Чувство тяжести, давления | Угнетает | Ощущение уверенности, твердости |
Приложение 5. Организация предпрофильной подготовки
в МОУ Андрейковской средней школе.
Результаты диагностического тестирования
«Профиль» (8 класс)
В апреле 2005г. руководителем спецкурса «Я и профессия» Кусакиной И.С. проводилось диагностическое тестирование в 8 классе по методике «Профиль» с целью выявления интересов учащихся и определения социального запроса на образование со стороны учеников. В опросе приняло участие 12 респондентов. Выявлены следующие результаты:

В диаграмме изображен количественный выбор учащимися профиля предполагаемого обучения.
- Физика и математика
- Химия и биология
- Радиотехника и электроника
- Механика и конструирование
- География и туризм
- Литература, искусство
- История и политика
- Педагогика и медицина
- Предпринимательство и домоводство
- Спорт и военное дело
Основываясь на полученные данные можно предложить обучающимся для удовлетворения их интересов перечень элективных курсов для изучения в 9 классе (2005/2006 уч. год). Интерес к области «Предпринимательство и домоводство» проявили 8 человек, что составляет – 66,7% от всего количества респондентов.
На вопрос о планировании места дальнейшего обучения (опрашивалось 23 человека) были получены следующие результаты, представленные в диаграмме:

Из представленной диаграммы видно, что большинство обучающихся предполагают продолжить образование в системе СПТУ – 10 человек
( 43,5 %), ССУЗ – 4 человека (17.4 %) , продолжить обучение в 10 классе – 9 человек (39,1 %).
Таким образом, 60,9 % обучающихся 8 класса предполагают продолжить профессиональное образование вне школы.
Схема организации ППП в 9 классе на 2005/2006 учебный год.
