Тепло-электродинамические механизмы макроскопического формирования сверхпроводящих состояний и их устойчивость к возмущениям различной природы 01. 04. 13 электрофизика, электрофизические установки
| Вид материала | Автореферат диссертации |
| Cconst и существование стабильного повышения температуры сверхпроводника перед возникновением неустойчивости до значения T 1 – расчет по формуле (16); 2 4), либо две ( – кривая 5 |
- Ргетике, как науке о нелинейных неравновесных процессах в открытых системах различной, 17.72kb.
- Объект и модель. Задача формирования модели объекта наблюдений, 86.94kb.
- Iv всероссийская конференция «биологические системы: устойчивость, принципы и механизмы, 65.09kb.
- А. М. Алейник Сцинциляционный -спектрометр Методические указания, 301.41kb.
- Устойчивость состояний тонкопленочных слоев магнитных носителей к внешним импульсным, 96.67kb.
- А. В. Холодовская Некоторые социально-психологические механизмы формирования конформизма, 170.68kb.
- Концепция субстанции. Спиноза, Декарт, Лейбниц. Ее критики Беркли и Юм. Философия Французского, 131.94kb.
- Б. Е. Большаков Механизмы формирования идеалов и ценностей для управления безопасностью, 924.23kb.
- Л. Д. Плотников,к п. н., доцент Пояснительная записка, 165.69kb.
- Пояснительная записка по лоту №8 в форме программы повышения квалификации по курсу, 247.47kb.
Рис. 1. Изменение температуры поверхности сверхпроводника до и после возникновения магнитной неустойчивости при варьировании коэффициента теплоотдачи
Изменение температуры Nb–Ti сверхпроводника, которое происходит до и после возникновения магнитной неустойчивости при различных условиях, теплообмена приведено на рис.1. Влияние коэффициента теплоотдачи на значения температуры, тепловыделения и индукции внешнего магнитного поля перед возникновением неустойчивости изображено на рис.2 для различных значений скорости нарастания внешнего магнитного поля. Результаты, приведенные на рис. 1, 2, показывают, что при неинтенсивных условиях охлаждения сверхпроводника или быстром нарастании внешнего магнитного поля повышение его температуры, предшествующей магнитной неустойчивости, весьма заметно. В рассматриваемом численном эксперименте допустимый перегрев теплоизолированного сверхпроводника достигает 10% от величины его критической температуры.
Согласно (7) перегрев сверхпроводника перед возникновением неустойчивости может быть оценен как
T
.Здесь Сt – усредненная по температуре теплоемкость сверхпроводника. Приведенная оценка показывает, что в случаях, когда неустойчивость инициируется за относительно малые времена (ts<<aСt/h), допустимый перегрев зависит от общей энергии, выделенной в процессе диффузии магнитного поля. При этом условия теплообмена будут оказывать слабое влияние на значение
а условия возникновения неустойчивости будут слабо зависеть от характера изменения внешнего магнитного поля. С увеличением времени, предшествующего скачку потока, допустимый перегрев сверхпроводника уменьшается и при ts>>aСt/h, например, при малых скоростях его нарастания или интенсивном охлаждении, основной вклад в величину перегрева сверхпроводника будет вносить мощность диссипируемого тепла. В этом случае характер изменения во времени внешнего магнитного поля будет влиять на стабильное формирование электродинамических состояний. Из сказанного следует, что изменение теплового состояния сверхпроводника перед возникновением магнитной неустойчивости качественно аналогично зависимостям, описывающим допустимое изменение его теплового состояния при действии импульсного теплового возмущения различной длительности. Именно данная связь лежит в основе зависимости поля скачка потока от скорости ввода тока. Подчеркнем важность данного вывода: он впервые сформулирован в рамках модели вязкого течения. 
Рис.2. Влияние коэффициента теплоотдачи на допустимое повышение температуры Tm, выделяемое количество тепла Gm и поле скачка потока Bm при варьировании скорости ввода:
1 – dB/dt=10 Тл/с; 2 – dB/dt=1 Тл/с; 3 – dB/dt=0,1 Тл/с
Рис.2 также демонстрирует существование нетривиальной связи между стабильным повышением его температуры и потерями энергии в сверхпроводнике, находящемся в переменном магнитном поле. Видно, что с улучшением условий теплоотдачи тепловыделение в сверхпроводнике, которое не будет вызывать возникновение неустойчивости, увеличивается на фоне монотонно уменьшающегося допустимого перегрева. В результате, тепловые потери при интенсивном охлаждении будут приводить к возникновению неустойчивости, развивающейся на фоне незначительного перегрева сверхпроводника. В то же время, в существующей теории потерь тепловыделения никак не связаны с возможным перегревом сверхпроводника. Поэтому только лишь электродинамический анализ влияния допустимых потерь на условия стабильной работоспособности сверхпроводящих материалов будет приводить к ошибочным оценкам условий устойчивости. Причем наибольшая ошибка будет иметь место при интенсивном охлаждении сверхпроводника, когда согласно результатам, представленным на рис. 2, его допустимое повышение температуры заметно ниже критической температуры сверхпроводника.
Существование однозначной связи между допустимыми потерями, условиями возникновения магнитной неустойчивости и стабильным перегревом жесткого сверхпроводника показывают, что имеет место общий тепловой механизм возникновения неустойчивостей, позволяющий на основе единой методики определить границу стабильных сверхпроводящих состояний при действии возмущений различной природы. Данный вывод связывает между собой теорию магнитной неустойчивости, теорию потерь и теорию тепловой стабилизации.
Повышение температуры сверхпроводника перед возникновением неустойчивости, которое максимально при адиабатических условиях возмущения (рис. 1, 2), видоизменяет известные адиабатические условия стабильности критического состояния как при частичном, так и при полном проникновении магнитного потока внутрь сверхпроводника. В главе 3 сформулированы неизотермические критерии адиабатической устойчивости сверхпроводника с линейной температурной зависимостью критической плотности тока
. (9)Здесь Jc0 и TcB – известные критические параметры сверхпроводника для заданного магнитного поля, соответственно.
Предполагая Cconst и существование стабильного повышения температуры сверхпроводника перед возникновением неустойчивости до значения Tm, для режима частичного проникновения магнитного потока (0<xp<a) впервые выписаны критерии стабильности, учитывающие тепловую предысторию формирования электродинамических состояний сверхпроводников. Соответственно, условие стабильности критического состояния имеет вид
. (10)При этом выделенное количество теплоты должно удовлетворять условию
. (11)При соблюдении критериев (10) или (11) индуцированное в сверхпроводнике электрическое поле будет монотонно затухать после прекращения нарастания внешнего магнитного поля на фоне конечного стабильного перегрева сверхпроводника, равного Tm–T0. Они наглядно демонстрируют влияние перегрева сверхпроводника на условия стабильного формирования критического состояния и строго доказывают связь между перегревом, тепловыми потерями и условиями возникновения магнитной неустойчивости.
Условие возникновения магнитной неустойчивости при полном проникновении магнитного потока нетрудно получить из критерия (10), полагая xp=0. Однако он не дает ответа на вопрос о том, каково конечное состояние сверхпроводника после возникновения неустойчивости. Данная проблема исследована с учетом зависимости теплоемкости сверхпроводника от температуры начального возмущения. Впервые показано, что магнитная неустойчивость не возникает, если при каком-либо начальном повышении температуры сверхпроводника до значения Ti ее полутолщина либо перепад магнитного поля удовлетворяют условиям
, (12)соответственно. При Ti=T0 условия (12) преобразуются в известные критерии, сформулированные в изотермическом приближении, в частности, имеет место условие
. Однако с точки зрения существования допустимого повышения температуры сверхпроводника перед возникновением неустойчивости данное условие имеет новую трактовку. Оно означает не только стабильность критического состояния по отношению к магнитным неустойчивостям, как это следует из существующей теории, но и определяет устойчивость сверхпроводящего состояния к начальным температурным возмущениям Ti, изменяющимся в диапазоне от T0 до TcB. Другими словами, при соблюдении условия
имеет место полная тепловая стабильность сверхпроводника, когда неустойчивость не возникает при любом начальном изменении теплового состояния сверхпроводника, если при этом он не нагрелся до своей критической температуры. В рамках развиваемого неизотермического приближения впервые доказано, что если полутолщина пластины или допустимый перепад магнитного поля удовлетворяют соотношениям
, (13)то в этом случае магнитный поток не стабилен. Однако возникающая неустойчивость не сопровождается переходом сверхпроводника в нормальное состояние, т.к. показано, что в этом случае его спонтанный разогрев не будет превышать критическую температуру сверхпроводника. При этом для всех параметров, удовлетворяющих неравенству
,произвольное внешнее изменение начальной температуры сверхпроводника меньшее, чем TcB, не будет приводить к его переходу в нормальное состояние, несмотря на развитие в сверхпроводнике неустойчивости.
И наконец, спонтанное развитие магнитной неустойчивости будет сопровождаться полным разрушением сверхпроводящих свойств пластины, если a>a' или B>B'm.
Неизотермический анализ устойчивости критического состояния демонстрирует не только количественное изменение известных критериев устойчивости, но и приводит к качественно новым результатам. Показано, что возникновение скачка потока и его последующее развитие зависит от двух характерных температур Ti' и Ti'' (Ti'<Ti''). Их значения следуют из решения уравнений
,соответственно. Они определяют условия тепловой стабилизации критического состояния. А именно, если Ti'<Ti<Ti'', то имеет место частичная тепловая стабилизация критического состояния, когда при действии температурного возмущения, равного Ti, магнитная неустойчивость развивается без перехода сверхпроводника в нормальное состояние. В случае если температурное возмущение удовлетворяет условию Ti''<Ti<TcB, то магнитная неустойчивость не развивается, т.к. в этом случае соблюдается полная тепловая стабильность. Выполнены численные эксперименты, верифицирующие сформулированные условия тепловой стабилизации критического состояния.
Исследование неизотермических особенностей формирования критического состояния перед возникновением магнитной неустойчивости позволило впервые объяснить механизмы возникновения и подавления осцилляций критического состояния. В главе 3 обсуждены физические причины, лежащие в их основе. Показано, что осцилляции зависят от интенсивности увеличения температуры сверхпроводника, на фоне которой они происходят. В частности, они отсутствуют при адиабатических условиях. Сформулирована тепловая причина возникновения осцилляций в жестком сверхпроводнике: колебания индуцированных внутри сверхпроводника температуры и электромагнитного поля начинаются в том случае, когда усредненная скорость нарастания теплового потока
из области намагниченности сверхпроводника удовлетворяет условию
. Здесь
– мощность кондуктивно-конвективного теплового потока в поперечном сечении сверхпроводника,
– мощность джоулева тепловыделения на единицу поперечного сечения сверхпроводника. Записанный критерий является следствием уравнения
, ![]() |
| Рис.3. Динамика температуры, напряженности электрического поля и плотности тока при осцилляции критического состояния |
. Из него следует, что значения
как функции
могут быть знакопеременными. Характерные стадии осцилляций температуры сверхпроводника, напряженности электрического поля и плотности экранирующего тока, возникающие в случае неинтенсивных условий охлаждения (h=10 Вт/м2К), когда влияние
на динамику происходящих процессов мало и изменение знаков у
и
происходит практически одновременно, приведено на рис. 3. Видно, что при t<t1 напряженность электрического поля на поверхности сверхпроводника и ее температура одновременно увеличиваются, т.к. в этом случае
и выделяемое тепло преобладает над отводимым. Однако при t1<t<t2 тепловые потери эффективно удаляются из области намагниченности, т.к.
, и поэтому напряженность электрического поля на поверхности сверхпроводника монотонно уменьшается. При t>t2 ее значение начинает снова возрастать в силу соответствующего перераспределения экранирующего тока. Вследствие этого температура сверхпроводника по истечению некоторого времени, а именно при t>t3, начнет увеличиваться, и процесс осцилляции критического состояния повторяется в силу эффективного удаления тепловых потерь, выделяемых внутри области намагниченности, и последующего перераспределения экранирующего тока по сечению сверхпроводника. Следовательно, имеет место тепловой механизм возникновения осцилляций, который зависит от интенсивности нарастания температуры сверхпроводника. Поэтому осцилляции критического состояния будут отсутствовать, если скорость отвода из толщи сверхпроводника индуцированного теплового потока мала. В этом случае происходит интенсивное нарастание температуры сверхпроводника на протяжении всего процесса формирования критического состояния. В результате, осцилляции будут исчезать не только при уменьшении коэффициента теплоотдачи, но и при увеличении скорости изменения внешнего магнитного поля, ухудшении токонесущей способности сверхпроводника.В главе 4 исследовано влияние тепловой предыстории формирования электродинамических состояний композитного сверхпроводника на условия разрушения его критического состояния при изменении внешнего магнитного поля, а также на условия возникновения магнитных неустойчивостей в сверхпроводящих композитах с реальными ВАХ. Показано, что несверхпроводящая матрица приводит к дополнительному увеличению перегрева сверхпроводника перед возникновением в нем неустойчивости. Кроме этого, она также влияет на динамику электрического поля и температуры. А именно, перед возникновением неустойчивости начальная стадия развития устойчивого состояния может характеризоваться увеличением температуры композита. Поэтому критерии устойчивости, сформулированные в рамках предположения, что неустойчивость возникает, если температура композита непосредственно после введения заданного магнитного поля возрастает, занижают границу стабильных состояний.
Выполнен анализ влияния композитной структуры на критерии устойчивости критического состояния. Впервые показано, что модель анизотропного континуума приводит к более жестким условиям, обеспечивающим устойчивость сверхпроводящего состояния композита. В частности, критическое состояние композита устойчиво, если выполняется условие
.Здесь Cs, Cm – объемные теплоемкости сверхпроводника и матрицы, соответственно; – коэффициент заполнения композита сверхпроводником, физический смысл остальных параметров был определен выше. По сравнению с известным адиабатическим условием устойчивости в правой части данного критерия помимо температурного члена (TcB – T0)/(TcB – Ti), учитывающего влияние начального повышения температуры композита до температуры Ti, появляется дополнительный сомножитель 1/. Т.к. <1, то записанный критерий даже при изотермическом приближении (Ti =T0) показывает, что учет композитной структуры токонесущего элемента приводит к более оптимистичным оценкам границы устойчивых состояний.
Основные тепловые закономерности, сформулированные в главе 3 и лежащие в основе неизотермического формирования стабильных и нестабильных электродинамических состояний жестких сверхпроводников без стабилизирующей матрицы, соблюдаются при проникновении электромагнитного поля внутрь сверхпроводящих композитов с реальными ВАХ. А именно:
– роль допустимого перегрева в условиях возникновения магнитной неустойчивости возрастает при увеличении скорости нарастания внешнего магнитного поля, ухудшении условий теплоотдачи;
– существуют тепловые причины возникновения и подавления осцилляций в композитных сверхпроводниках с различными типами нелинейности ВАХ. В их основе также лежит существование критической скорости кондуктивно-конвективного отвода тепловыделений из толщи композита в хладагент. Соответственно, с увеличением скорости нарастания внешнего магнитного поля или при уменьшении параметров нарастания ВАХ сверхпроводника имеет место эффект теплового подавления осцилляций.
Предложенные модели использованы при определении условий возникновения магнитной неустойчивости в композитах плоскопараллельной формы, ВАХ которых описывалась уравнениями (2) или (6), в геликоидальном токонесущем элементе, изготовленном на основе Nb-Ti или Nb3Sn, с ВАХ экспоненциального типа. Результаты, полученные для геликоидов, сопоставлены с экспериментами. В качестве иллюстрации на рис. 4 приведены результаты экспериментального и теоретического определения поля скачка потока в геликоиде основе Nb-Ti. Удовлетворительное совпадение теоретических и экспериментальных данных верифицирует предложенные модели и подтверждает сформулированную нами зависимость перегрева композитного сверхпроводника, предшествующего возникновению неустойчивости, от скорости изменения внешнего магнитного поля.
В главе 5 исследованы закономерности формирования и разрушения стабильных сверхпроводящих состояний в композитах круглого сечения на основе низкотемпературных сверхпроводников при вводе в них тока, изучены условия возникновения токовой устойчивости в сверхпроводящих кабелях, а также сформулированы особенности изменения с температурой джоулева тепловыделения в композитах с неравномерно распределенным током и действии интенсивных тепловых возмущений.
Для определения условий стабильности использовались методы, разработанные в главе 3. Они позволили сформулировать основные тепловые особенности возникновения токовых неустойчивостей в композитных сверхпроводниках с ВАХ экспоненциального вида. В этом случае особенности формирования тепло-электродинамических состояний сверхпроводящего композита исследовалось на основании решения следующей задачи
. (14)Н

Рис. 4. Зависимость стабильного перегрева и поля скачка магнитного потока от скорости изменения внешнего магнитного поля на внутренней поверхности геликоида:
1 – B0=1,14 Тл; 2 – B0=1,131 Тл; 3 – B0=1,181 Тл; 4 – B0=1,18 Тл; 5 – B0=3,528 Тл; 6 – B0=3,526 Тл
а рис. 5 изображена динамика температуры поверхности Nb-Ti в медной матрице как при непрерывном вводе тока, так и при его вводе до заданного значения. Приведенные результаты соответствуют двум характерным состояниям, предшествующим возникновению неустойчивости: полному (а) и частичному (б) проникновению транспортного тока. Они показывают, что граница стабильного увеличения температуры композита перед возникновением неустойчивости зависит не только от условий охлаждения и скорости ввода тока, как это было сформулировано выше, но и от степени нелинейности ВАХ. В результате, при прочих равных условиях токовая неустойчивость возникает тем раньше, чем выше значения J и T. Как и при возникновении магнитной неустойчивости, токовая неустойчивость также характеризуется нетривиальной связью между перегревом композита, значением стабильно выделенной энергии и глубиной проникновения тока (рис. 6).
Принимая во внимание данную связь, выписано уравнение, позволяющее найти ток срыва для композита круглого сечения в предположении, что C и не зависят от температуры. Его значение определяется из решения трансцендентного уравнения


Рис. 5. Изменение температуры поверхности композита при непрерывном вводе тока с различными скоростями (1, 4) и после его прекращения (2, 3, 5, 6)
. (15)
З

Рис. 6. Зависимость допустимого перегрева, глубины проникновения тока
и выделившегося тепла от скорости ввода при h=10 Вт/м2К, J=4107 А/м2, T=0,048 К

Рис. 7. Токи срыва в зависимости от параметра эфф
десь Iq – значение тока срыва при dI/dt→0,
– допустимый перегрев композита. Используя безразмерный параметр
, введенный в монографии «Гуревич А.Вл., Минц Р.Г., Рахманов А.Л., Физика композитных сверхпроводников, Москва, Наука, 1987» и уравнение (15), можно оценить диапазон параметров, при которых стабильное повышение температуры композитного сверхпроводника перед возникновением неустойчивости будет влиять на условия ее возникновения. На рис. 7 приведены зависимости токов срыва от параметра эфф для различных условий теплоотдачи. Они рассчитаны на основе решения задачи (14) (сплошные линии), по формуле (15) (штрихпунктирные линии), а также получены в предположении, что в уравнении (15) имеет место предельный переход C→0, ΔTm→T (штриховые линии), который соответствует допущению о малом перегреве композита. Видно, что параметр эфф позволяет оценить неизотермический характер процессов, протекающих в сверхпроводнике при вводе тока: при эфф<<1 отличия между значениями токов срыва, вычисленные в рамках изотермического и неизотермического приближений, становятся незначительными. Поэтому условие эфф<<1 соответствует таким режимам ввода тока, при которых неизбежный перегрев композита оказывает слабое влияние на условия устойчивости вводимого тока. Далее в главе 5 исследованы особенности изменения с температурой удельной мощности джоулева тепловыделения, которые имеют место в композитных сверхпроводниках при диффузии транспортного тока, индуцированной либо его вводом, либо действием интенсивного источника тепловыделения. В рамках теории тепловой стабилизации общепринято считать, что тепловыделение начинается в тот момент, когда его температура увеличится до значения, при которой плотность транспортного тока становится равной критической плотности тока сверхпроводника. При ее превышении ток разделяется между сверхпроводником и матрицей, а после достижения критической температуры сверхпроводника он протекает только по матрице. Однако эта модель справедлива для равномерно распределенных токов, не изменяющихся во времени. Предложенные в предыдущих главах методы и модели позволяют выполнить общий анализ джоулевых потерь в композитных сверхпроводниках, учитывая неизотермичность происходящих процессов и неравномерное распределение тока. В частности, использовалась численная модель, описываемая уравнениями (14). На рис.8 приведены температурные зависимости джоулевых потерь, выделяемых в охлаждаемом композите круглого сечения, которые имеют место как до возникновения неустойчивости, так и после ее развития. Предполагалось, что в начальный момент времени ток в сверхпроводящем композите отсутствовал, а затем он начал нарастать с постоянной скоростью. Сплошные линии показывают изменение мощности теплового потока
, отводимого в хладагент, приведенной к единице длины композита, а штрихпунктирные линии соответствуют изменению мощности теплового потока
, отводимого в хладагент. Штриховые линии показывают соответствующие значения мощности тепловыделения, рассчитанные по формуле
, (16)принятой в теории тепловой стабилизации. Здесь Jc0 и TcB – критические параметры сверхпроводника, Jq – плотность тока, после которого возникает неустойчивость, пересчитанная в предположении его равномерного распределения по сечению к

Рис. 8. Джоулево тепловыделение в Nb-Ti композите до и после развития токовой неустойчивости при различных условиях его охлаждения
омпозита.
Результаты, приведенные на рис. 8, приводят к следующим выводам. Во-первых, с ростом dI/dt наблюдается существенное уменьшение диапазона температур, при котором тепловые потери оказываются пренебрежимо малыми. Данные закономерности наблюдаются и при интенсивных условиях теплообмена на поверхности композита. Во-вторых, лавинообразный характер развития неустойчивости сопровождается резким нарастанием напряженности электрического поля, развиваемого внутри композита. Поэтому формирование тепло-электродинамического состояния сверхпроводящего композита в результате развития токовой неустойчивости характеризуется высокими з

Рис. 9. Температурная зависимость джоулева тепловыделения в композите
при действии внешних тепловых импульсов различной длительности t
и мощности q0 после ввода тока I0=170А со скоростью dI/dt=104 A/c:
1 – расчет по формуле (16); 2-5 – численный расчет, 2 – t=10-3 с, q0=0,13108Вт/м3;
3 – t=10-3 с, q0=0,14108Вт/м3; 4 – t=10-4 с, q0=1,4108Вт/м3; 5 – t=10-5 с, q0=14108Вт/м3
начениями тепловых потерь даже после того, как температура сверхпроводника превысила его критическое значение. В результате, значение G's(T) при T>TcB является по своему физическому смыслу асимптотическим значением, к которому будет стремиться тепловыделение в композите после затухания неустойчивости.
Интенсивные тепловыделения могут также инициироваться внешними тепловыми возмущениями. Прежде всего, это наблюдается при действии кратковременных тепловых импульсов, наиболее опасных с точки зрения сохранения сверхпроводимости. На рис.9 представлены температурные зависимости джоулевых тепловыделений Gs(T), инициируемых импульсными тепловыми возмущениями различной мощности в “плохо” охлаждаемом Nb-Ti композите с медной матрицей (h=10 Вт/м2К). Здесь же приведены соответствующие значения G's(T). В выполненном численном эксперименте предполагалось, что в начальный момент времени ток отсутствовал. Затем он увеличивается с постоянной скоростью и после того, как при t=ti достигает значение I0, в тонком поверхностном слое композита действует тепловое возмущение с мощностью q0 и длительностью t.
Приведенные на рис. 9 кривые наглядно демонстрируют, что в результате действия внешнего теплового возмущения диссипативные процессы, происходящие в композите уже на стадии его устойчивого состояния, могут сопровождаться дополнительными джоулевыми тепловыделениями, интенсивность которых зависит от мощности импульса. Причем тепловые потери могут существенно возрастать с уменьшением длительности импульса. Следовательно, будет наблюдаться не только явное отклонение реальных значений Gs(T) от упрощенных зависимостей G's(T), вычисленных по формуле (16), но и возможно существенное уменьшение диапазона температур, при котором влиянием дополнительных тепловых потерь можно пренебречь. Поэтому внешние тепловые возмущения могут заметно увеличивать фоновую температуру композита, предшествующую возникновению неустойчивости, а значит, может наблюдаться и соответствующее уменьшение границы стабильности вводимых токов даже при действии возмущений, энергия которых не вызывает переход сверхпроводник в н

Рис. 10. Зависимость температуры композита на основе Nb-Ti при непрерывном вводе тока
и действии внешних тепловых возмущений с различной энергией
ормальное состояние.
На рис. 10 представлены результаты расчета температуры неинтенсивно охлаждаемого сверхпроводящего композита при непрерывном вводе в него тока и действии докритических возмущений. (В рассмотренном случае для заданного тока I0=170 A критическое значение q0, после превышения которого сверхпроводник спонтанно переходит в нормальное состояние, равно 14,1106 Вт/м3). Видно, что с увеличением мощности внешнего теплового возмущения, который сам по себе не переводит композитный сверхпроводник в нормальное состояние, токовая неустойчивость начинает развиваться при более низких значениях вводимого тока. Следовательно, деградация токонесущей способности сверхпроводящего композита зависит от энергии докритических тепловых возмущений.
О

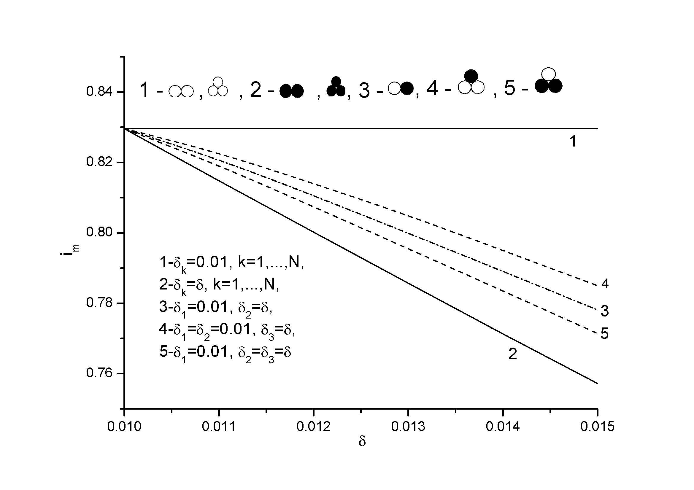
Рис. 11. Токи срыва im=Im/(NkSkJc0) сверхпроводящего кабеля при
/N=100 А/св зависимости от количества и качества жил
пределение границы стабильных состояний сверхпроводящих сред на основе метода возмущения исходного равновесного состояния позволило разработать эффективную методику анализа условий устойчивости сверхпроводящих состояний, не зависящую от типа нелинейности их ВАХ и природы возмущения. Используя ее, могут быть решены и более сложные задачи об определении условий сохранения сверхпроводимости, в частности, задача об определении условий стабильной работоспособности сверхпроводящих кабелей. Для решения данной проблемы в главе 5 предложена модель, учитывающая самосогласованное изменение тока и температуры в каждой компоненте кабеля в моменты времени, предшествующие возникновению неустойчивости. Она позволяет выйти за рамки модели сплошной среды и принять во внимание локальные особенности формирования тепло-электродинамических состояний всех компонент сверхпроводящего кабеля.
Результаты анализа токонесущей способности сверхпроводящих кабелей простейшей конфигурации с компонентами на основе Nb-Ti композита в медной матрице, имеющими различную степень нелинейности ВАХ, приведены на рис. 11. Кривые 1 и 2 показывают токи неустойчивости двух- и трехжильного кабелей, вычисленные в предположении, что все жилы одинаковы, но в первом случае p=0.01,
, а во втором – p=,
и значение варьировалось. Штрихпунктирная линия описывает изменение тока неустойчивости двухжильного кабеля, в котором параметр размытия одной жилы фиксировался (1=0.01), а у другой (2=) – увеличивался в интервале
Пунктиром построены предельные токи трехжильного кабеля в случаях, когда он имеет одну (
– кривая 4), либо две (
– кривая 5) "плохих" жилы. Из рис. 11 следует, что токонесущая способность сверхпроводящего кабеля зависит от количества и “качества” его компонент. В результате, появление в кабеле даже одной жилы с повышенным “размытием” ВАХ будет приводить к неизбежной деградации токонесущей способности всего кабеля в силу соответствующего повышенного значения ее температуры, которую она принимает при вводе тока. Доказано, что в основе эффекта деградации тока, вводимого в сверхпроводящий кабель, лежит неравномерное распределение температуры и тока по всем элементам кабеля, которое возрастает с увеличением количества элементов кабеля. Данный вывод подтверждается имеющимися в литературе экспериментальными данными.В главе 6 исследованы физические особенности неизотермического формирования электродинамических состояний в высокотемпературных сверхпроводниках (Bi2Sr2CaCu2O8, Bi2Sr2Ca2Cu3O8, YBa2Cu3O7) и выписаны соответствующие условия возникновения в них токовых неустойчивостей.
Впервые показано, что при непрерывном вводе тока зависимость теплоемкости ВТСП от температуры влияет на вид его вольт-амперной характеристики. Данный эффект, влияние которого возрастает с увеличением температуры хладагента, наиболее заметен в области высоких электрических полей при формировании как устойчивых, так и неустойчивых состояний. Вследствие этого нестационарная ВАХ ВТСП имеет только одну ветвь, наклон которой всегда положителен. Поэтому при непрерывном вводе тока ВАХ ВТСП не позволяет определить значения токов, после которых развивается неустойчивость. Именно поэтому при экспериментальном определении границы устойчивых состояний ВТСП используется метод конечного возмущения исходного равновесного состояния, который впервые предложен автором диссертации. Отмеченные тепловые особенности формирования ВАХ ВТСП изображены на рис. 12. Они имеют место при вводе тока с различными скоростями в сверхпроводящую пластину из Bi2Sr2CaCu2O8, охлажденную до температуры жидкого гелия. Для удобства проведения анализа ток нормировался на ширину пластины. Он проводился на основе численного решения нестационарной одномерной системы уравнений теплопроводности и Максвелла с ВАХ степенного типа вида (1). Кривая 1 на рис. 12 описывает предельные состояния композита при dI/dt→0, а кривые 2 - 4 – при конечных значениях dI/dt. Здесь же приведены соответствующие граничные значения напряженности электрического поля и тока (Eq,0, I*q,0), определяющие максимально допустимое увеличение электрического поля, тока и температуры. Представленные результаты наглядно показывают, что конечный перегрев ВТСП, величина которого перед возникновением неустойчивости зависит от скорости ввода тока, оказывает заметное влияние на формирование его электродинамических состояний.
В главе 6 также определены характерные значения напряженности электрического поля, позволяющие оценить роль тепловых механизмов (конвективного и кондуктивного) в условиях устойчивости электродинамических состояний ВТСП. В частности, показано, что ток срыва ввода уменьшается, если при теоретическом анализе условий его стабильности во внимание принимается тепловая неоднородность электродинамических состояний, которая зависит не только от термического сопротивления сверхпроводника, но и от его критических свойств. Выписаны уравнения, позволяющие с учетом размерного эффекта, найти граничные значения напряженности электрического поля и тока, после превышения которых возникает токовая неустойчивость.
![]() |
| Рис. 12. Зависимость напряженности электрического поля на поверхности (2, 3, 4) и в центре (2´, 3´) сверхпроводящей пластины от приведенного тока. Расчет при C=C(T): 1 – dI*/dt 0; 2, 2´ – dI*/dt=102 A/(сcм); 3, 3´ – dI*/dt=103 A/(сcм); расчет при C=C(T0): 4 – dI*/dt=102 A/(сcм) |
Изучены особенности нарушения устойчивого распределения тока в Bi2Sr2CaCu2O8, Bi2Sr2Ca2Cu3O8 и YBa2Cu3O7 в зависимости от условий их охлаждения жидкими гелием, водородом и азотом. Впервые показано, что возникновение токовой неустойчивости в сверхпроводнике, охлаждаемом жидким хладагентом, может происходить не только из-за перехода условий охлаждения от пузырькового режима кипения к пленочному. Оказывается, что токовая неустойчивость может развиваться в области пузырькового кипения жидкого хладагента в силу нарушения стабильного формирования электродинамических состояний сверхпроводника, когда его дифференциальное сопротивление стремится к неограниченно большому значению. Данные состояния с наибольшей степенью вероятности будут наблюдаться при охлаждении сверхпроводников жидким азотом. Выписаны необходимые критерии, позволяющие определить действие того или иного механизма возникновения токовой неустойчивой в зависимости от свойств сверхпроводника и хладагента. В частности, из них следует, что с увеличением показателя нарастания ВАХ сверхпроводника, охлаждаемого каким-либо жидким хладагентом, вероятность теплового механизма возникновения токовой неустойчивости, т.е. влияние кризиса кипения на устойчивость электродинамических состояний высокотемпературного сверхпроводника, уменьшается.
Исследована устойчивость резистивных состояний ВТСП без стабилизирующей матрицы с падающей температурной зависимостью показателя степени нарастания его вольт-амперной характеристики. Установлено, что в области высоких значений напряженности электрического поля и температурных перегревов возможно возникновение дополнительных стабильных резистивных состояний. Они характеризуются устойчивыми скачками напряженности электрического поля и температуры, не переводящими сверхпроводник в нормальное состояние. Мультистабильные резистивные состояния могут появляться в силу соответствующего изменения дифференциального сопротивления сверхпроводника. В этом случае основную роль в их формировании играет взаимосвязанное уменьшение с температурой критической плотности тока сверхпроводника и показателя степени нарастания его ВАХ. Поэтому корректное описание уменьшающихся с температурой значений Jc(T) и n(T) во всем диапазоне варьирования температуры высокотемпературного сверхпроводника, в особенности в окрестности его критической температуры, играет важную роль в корректном описании процессов, происходящих в сверхпроводниках.
В главе 7 изучено влияние стабильного перегрева сверхпроводника на токонесущую способность ВТСП-композитов. В приближении ha/<<1 определены предельные токи, которые могут стабильно протекать по ВТСП-композитам с ВАХ вида (1) или (2) и температурной зависимостью критической плотности тока вида (9). Найдены характерные значения напряженности электрического поля, которые определяют тепловую роль матрицы и хладагента в характере формирования электродинамических состояний ВТСП-композита. Выписаны уравнения, позволяющие определить максимально допустимое увеличение электрического поля Eq, тока Iq и температуры Tq в приближении бесконечно медленного ввода тока. Они позволили определить границы существования докритических и закритических условий устойчивости вводимого тока. Соответствующие значения как функции коэффициента заполнения при различных значениях RRR=m(273 K)/m(4.2 K) и Jc0 представлены на рис. 13.
![]() ![]() |
| Рис. 13. Граничные значения напряженности электрического поля и тока как функции коэффициента заполнения ВТСП-композита на основе Bi2Sr2CaCu2O8 с различными уравнениями ВАХ (, - - - - – степенная ВАХ; – экспоненциальная ВАХ): 1 – Jc0 =104 A/cм2; 2 – Jc0 =3104 A/cм2; 3 – Jc0 =105 A/cм2 |
Результаты, приведенные на рис. 13, также показывают, что отклонение токов возникновения неустойчивости от критического тока возрастает с увеличением коэффициента заполнения. Другими словами, при увеличении коэффициента заполнения имеет место деградация токонесущей способности композита. Эта закономерность наблюдается как при закритических, так и докритических режимах. Эффект деградации связан с неизотермическим характером формирования электродинамических состояний композита, т.е. с неизбежным отличием температуры сверхпроводящего композита от температуры хладагента перед возникновением неустойчивости. Согласно рис. 13, тепловая деградация токонесущей способности сверхпроводящего композита наиболее заметна при докритических условиях устойчивости.
В главе 7 также впервые показано возможное существование мультистабильных токовых состояний ВТСП-композитов. Они могут возникать в области высоких значений напряженности электрического поля и температуры композита в силу взаимосвязанного изменения с температурой или индукции магнитного поля критической плотности тока сверхпроводника и удельного электрического сопротивления матрицы, которые влияют на механизм деления тока между сверхпроводником и матрицей. Поэтому в отличие от общепринятой формы стационарных ВАХ сверхпроводящего композита, когда существует одна стабильная (E/J>0) и нестабильная (E/J<0) ветви, формирование ВАХ ВТСП-композита при высоких значениях напряженности электрического поля и допустимого перегрева может характеризоваться возникновением дополнительных стабильных участков. На рис. 14 построены ВАХ композитного сверхпроводника на основе Bi2Sr2CaCu2O8 в серебряной матрице, охлаждаемого криокулером. Представленные кривые показывают возможное существование следующих ВАХ. А именно, могут наблюдаться:
1. Мультистабильная ВАХ с двумя стабильными областями, у которой токи во второй стабильной области не превышают ток возникновения неустойчивости (кривые 1 и 2);
2. Мультистабильная ВАХ с двумя стабильными областями, когда устойчивые токи во второй области превышают допустимые токи в первой области (кривые 3 и 4);
3. Моностабильная ВАХ, при нарастании которой будет наблюдаться значительное устойчивое повышение температуры композита, но при этом ее максимально допустимое значение ниже критической температуры сверхпроводника (кривые 5 и 6);
4. Моностабильная ВАХ, стабильное формирование которой происходит во всем диапазоне изменения температуры – от температуры хладагента до критической температуры сверхпроводника (кривая 7).
![]() |
| Рис. 14. Стабильные () и нестабильные ветви (- - - -) вольт-амперной характеристики ВТСП-композита при изменении температуры хладагента: 1 – T0=10 K; 2 – T0=15 K; 3 – T0=16 K; 4 – T0=18 K; 5 – T0=20 K; 6 – T0=25 K; 7 – T0=26 K |





