Эндогенный (внутренний) аспект формирования ноосферной экономики и социальной политики
| Вид материала | Документы |
Содержание2.2. Проблемы становления ноосферной экономики 2.3. Экономико-математическая макромодель формирования социально ориентированной ноосферной экономики |
- Научный труд основа ноосферной экономики и социальной политики, 426.18kb.
- О деятельности комитета тпп РФ по вопросам социальной политики, 176.34kb.
- О деятельности комитета тпп РФ по вопросам социальной политики, 312.01kb.
- Программа дисциплины Социальная политика «Социология», 154.71kb.
- Запросы россиян к государству на сокращение социального неравенствА и социальную поддержку:, 535.55kb.
- «Межкультурная коммуникация», 81.77kb.
- Темы рефератов по курсу «Социальная политика», 18.29kb.
- Задачи региональной экономики. Регион в системе рыночных отношений. Предмет экономики, 23.38kb.
- Региональная конференция 17 октября 2002 г., г. Барнаул, 42.41kb.
- Городские системы поддержки социализации молодежи, 330.37kb.
2.2. Проблемы становления ноосферной экономики
и социальной политики в Беларуси
В Республике Беларусь, получившей открытую, со 120% экспортно-импортной составляющей к ВВП, экономику, в целях координации экономической политики с Россией и другими странами СНГ в начале 1992 г. была проведена широкая реформа цен, а именно: отменен контроль над оптовыми ценами на большинство товаров и услуг с сохранением при этом жестких лимитов на нормы прибыли и надбавки.
В отличие от соседних стран СНГ и государств Балтии, либерализация цен в республике сочеталась с сохранением значительного количества регулируемых цен на продовольственные и многие промышленные товары. В результате усилился вывоз товаров с фиксированными и регулируемыми ценами в соседние страны, что создавало дефицит на потребительском рынке республики.
Не спасало положение и введение так называемых «карточек потребителя», талонов и купонов, а также принятие закона о защите внутреннего потребительского рынка. Внутренние цены по уровню и структуре были несопоставимы с мировыми. Поддержание же их устойчивости стало невозможным вследствие стремительного удорожания энергетических и сырьевых ресурсов. При этом низкое качество продукции и работ привело к снижению ее конкурентоспособности и сокращению традиционных рынков сбыта, прежде всего, по ценовым показателям и качеству.
Возникли проблемы с институциональными реформами, с созданием самостоятельных эффективных государственных и хозяйственных органов, финансовых рынков и, в частности, независимых, ориентированных на рынок государственных коммерческих банков.
Наряду с созданием новой законодательной базы потребовалась и срочная разработка эффективных механизмов государственного регулирования в бюджетно-налоговой и денежно-кредитной сферах, в ценообразовании, во внешнеполитической и внешнеэкономической деятельности, в выработке государственной научной стратегии экономической трансформации, реструктуризации и демонополизации государственных предприятий, в стимулировании создания и развития предпринимательства, малого и среднего бизнеса.
В начале перестройки основным лозунгом реформаторов был призыв к ускоренному переходу к рыночной экономике. И уже к 1991 г. такие программы были разработаны. Однако основной их недостаток заключался в том, что было отдано предпочтение зарубежным методам без учета специфики формирующейся в Беларуси модели.
Советников искали за пределами Отечества. Средства массовой информации с подачи «реформаторов» из Верховного Совета вели популистскую кампанию только о преимуществах либеральной экономики: приоритете монетарных факторов, коммерциализации банков, приватизации государственной собственности263 на чековой основе.
Оставались в стороне проблемы приоритетной инновационной реструктуризации материального сектора экономики по сравнению с банковской системой, а главное, либерализация хозяйственной деятельности путем формирования частной собственности (сектора) на собственной основе. По инициативе России стали распадаться экономические связи между республиками бывшего СССР, начался процесс разрушения единого рублевого пространства, установления границ, таможен и т.д. Иными словами, происходила форсированная изоляция страны. В результате – гиперинфляция, народ остался без сбережений, предприятия – без оборотных средств и инвестиций.
В итоге были созданы политические и правовые завалы, которые не позволяли экономике развиваться. Это касается всех сущностных проблем реформы: системы политики государственного управления, разгосударствления и приватизации, реструктуризации материального сектора, создания коммерческих банков и т.д. По этой причине процессы разумного реформирования экономики Беларуси оказались трудными, непоследовательными и противоречивыми.
Из-за отсутствия самостоятельной научно обоснованной стратегии развития страны, ее целей, направлений, выбора форм и методов управления, продуманного курса социально-экономических преобразований, идеология реформ на начальном этапе их проведения (1992 - 1994) приобрела хаотическую направленность. Образовался вакуум разумного управления, права, политической и экономической власти на всех стадиях общественного воспроизводства: производства, распределения, обмена, потребления и накопления.
Действующий ранее партийно-политический и правовой контроль за процессами социально-экономического развития был снят, начался процесс слияния номенклатуры и капитала, обесценивания и разворовывания накопленных денежных вкладов и государственного имущества.
На этом этапе переходного периода в Республике Беларусь в осуществлении экономических реформ преобладало неэффективное государственное управление экономикой.
Произошло ускоренное разрушение государственных плановых методов без создания других, более эффективных форм и методов ведения хозяйства, что способствовало нарастанию социально-экономического кризиса в республике.
Имел место высокий уровень безработицы, и наблюдался ее неуклонный рост. Государственный капитал из материального производства и нематериальной сферы вследствие коммерциализации государственных финансов «перетекал» в отрасли торгово-посреднической и банковской деятельности, где имели место (вне связи с материальным сектором экономики) быстрый оборот капитала и возможность получения сверхприбыли (инфляция и обвальное обесценивание сберегательных вкладов населения), т.е. происходило быстрое накопление фиктивного капитала.
Опережающее разрушение прежней системы государственного управления по сравнению с процессом созидания новых эффективных экономических отношений не способствовало выходу республики из кризиса. Развитие кризисных процессов подвело государство к опасной и тревожной ситуации возможной утраты национальной безопасности в результате полного разрушения экономического потенциала. Первый Президент Республики Беларусь А. Г. Лукашенко дал этому периоду точную характеристику: «Власть валялась под ногами».
Стало ясно, что переход к новым производственным отношениям будет длительным и потребует целенаправленного решения комплекса стратегических и тактических задач, согласованных действий законодательной и исполнительной власти, укрепления государственной власти и обеспечения системной управляемости трансформации общественного производства с упором на постепенную реструктуризацию государственного сектора, на создание благоприятных условий для становления и развития частного сектора на собственной основе, на стимулирование предпринимательства.
Не менее очевидным для народа Беларуси стало и то, что для решения вышеназванных задач и проблем необходим соответствующий сильный институт президентства. Белорусский народ качественно решил эту проблему - первым президентом страны избран А. Г. Лукашенко. Новейшая история показала, что выбор был правильным. Избранный в третий раз глава государства и в настоящее время оправдывает оказанное ему народом доверие.
С целью преодоления системного кризиса, охватившего республику, Президентом Республики Беларусь были предприняты радикальные меры по усилению государственного руководства экономикой. И первым шагом на этом пути была разработка и реализация Программы неотложных мер по выходу из кризиса, которая впоследствии привела к принятию Основных направлений социально-экономического развития Республики Беларусь на 1996- 2000 гг.
Одним из важнейших условий реализации программы явилось восстановление определенной управляемости государственным сектором экономики, который продолжает занимать ведущие позиции в хозяйственном комплексе республики. Для этого были определены меры по совершенствованию системы государственного регулирования экономических отношений, созданию механизма реальной ответственности государственных предприятий за результаты производственно-хозяйственной деятельности, сохранение и приумножение доверенного им имущества.
Одновременно предусматривались ускорение рыночных институциональных преобразований, структурная перестройка экономики, совершенствование процессов приватизации, демонополизация, развитие предпринимательства, создание благоприятной экономической среды. Однако при реализации Программы возникли определенные трудности, связанные с противодействием сил, впитавших в себя инерцию упадка, низкого профессионализма, политического охлократизма, пролетарского снобизма и т.д. В среде бывших управленцев превалировали стремления вернуться если не в СССР, то под покровительство России.
С целью ликвидации указанных трудностей был проведен целый ряд организационных мероприятий, прежде всего, по восстановлению управленческой вертикали, обновлению ее кадров и улучшению их профессиональной подготовки. Все эти меры сопровождались широкой разъяснительной работой через СМИ, серию республиканских совещаний. Так, в 1994 г. Президентом Республики Беларусь было проведено совещание исполнительных органов власти, на котором были заложены концептуальные принципы работы экономики и сформулированы важнейшие базовые положения, в том числе о роли государства в управлении экономикой и социальной сферой, государственным имуществом, налоговой политикой, ценообразованием, процессами приватизации, обменного курса белорусского рубля, инфляции.
Большое внимание в обеспечении выполнения Программы неотложных мер уделялось укреплению исполнительской дисциплины, ответственности руководителей всех уровней. Проводимая организаторская работа предполагала уже в 1995 г. получить определенные позитивные результаты в экономике: стабилизировать обменный курс национальной денежной единицы, заметно снизить темпы роста инфляции и дефицит государственного бюджета, создав тем самым условия для макроэкономической стабилизации в целом. В результате принятых мер лучше заработали энергетика, торфодобывающая и деревообрабатывающая промышленность и уже в 1996 г. увеличился ВВП.
Переход от командной, плановой экономики к регулируемой рыночной - процесс трудный и болезненный для каждого члена общества264, ибо в каждом человеке в той или иной мере живут и борются принципы, стереотипы и догмы прошлого, настоящего и будущего. Эта борьба составляет его внутренний мир, мировоззрение, сознание, мышление, убеждения, интересы - самые консервативные и трудно преодолеваемые свойства и ценности, чем человек и общество располагают изначально и что должно быть изменено прежде всего. Без приоритетного решения этой сложной проблемы невозможно двигаться вперед. Для многих из наших людей преодоление ностальгии, неуверенности, страха, тем более выбор новых ценностей и ориентиров является огромной проблемой. Поэтому необходимо учитывать и эволюционно осуществлять реформирование экономики посредством максимального снижения социальных и экономических издержек проводимых преобразований.
Важным направлением работы, проводимой в экономике в рамках построения новой белорусской государственности, является преодоление негативных последствий, связанных, как принято говорить, с тоталитарным прошлым СССР. К их числу, прежде всего, следует отнести всеобщий командно-административный, чиновничий контроль за каждой хозяйственной ячейкой общества, невосприятие частной собственности, отсутствие условий для проявления инициативы и риска в экономике, игнорирование драматических по своим результатам исторических уроков применения концепций и взглядов белорусских ученых-экономистов.
Не ставя перед собой цель дать целостное представление белорусской экономической мысли о путях и моделях развития национальной экономики, остановимся на одной системе взглядов - концепции социально-экономического развития под названием «Беларусь - Красная Дания», подвергшей жесткой критике ортодоксальных большевиков во главе с И. В. Сталиным за попытку ухода от быстрой индустриализации, коллективизации и «реставрации» капитализма в белорусской экономике на основе развития рыночных отношений.
Авторы названной концепции (Д. Прищепов, И. Кисляков, А. Смолич, Р. Бонч-Осмоловский, С. Жданович, Г. Горецкий и др.) были названы сторонниками Н. Д. Кондратьева и А. Чаянова - проводниками буржуазных идей, заимствованных у И. Тюнена, А. Вебера и других экономистов Запада265. За поддержку местных ученых-экономистов досталось и всему руководству БССР 1920-х годов: А. Г. Червякову - председателю ЦИК БССР, И. А. Адамовичу - председателю СНК БССР, А. И. Криницкому - первому секретарю ЦК КП(б) Беларуси.
В концепции шла речь о приоритетном развитии сельского и лесного хозяйства и создании промышленности, которая была бы тесно связана с этими отраслями. Предлагалось привлекать иностранный капитал путем создания акционерных, смешанных обществ по заготовке и сбыту леса, а также картофеля, молочной продукции в Германию и Украину, подключив к этому услуги транспортников. Обосновывалась целесообразность предоставления субъектам хозяйствования с участием иностранного капитала различных льгот (налоговых, тарифных) со стороны белорусского правительства.
Белорусские экономисты считали, что отечественная промышленность базируется преимущественно на собственном сырье, трудоемком, а не на энерго- и металлоемком производстве. Экономический рост связывался с внедрением рыночных отношений, особенно в белорусской деревне. В этом их взгляды совпадали с позициями таких «правых» русских экономистов, как А. Чаянов, Г. Сокольников, Л. Юровский.
По мере исследования процессов, происходящих в аграрном секторе экономики, вскрывались причины его отсталости, низкой интенсивности и эффективности. Например, Г. Горецкий так обосновывал главную причину: «Не низкий урожай причина низкой рыночности и товарности в Белоруссии (как трактуется многими), - говорил он на научно-практической конференции в Минске (1928 г.), - а как раз наоборот - низкая рыночность нашего хозяйства есть причина низкой урожайности в Белоруссии»266.
Вместе с тем, авторы концепции не отрицали роль плана и административных методов управления. Отрицалась насильственная коллективизация и индустриализация. В итоге все авторы концепции и руководители республики, их поддерживающие, преждевременно ушли из жизни или были репрессированы.
Выход из кризиса был невозможен без разработки разумной экономической политики. Появилась потребность в стратегическом документе, который бы комплексно и реалистично оценивал и обосновывал основные направления проведения дальнейших преобразований.
В этой связи первым Президентом Республики Беларусь А. Г. Лукашенко еще в 1995 г. было принято решение о разработке Программы социально-экономического развития Республики Беларусь до 2000 г., основной задачей которой являлась консолидация сил и средств общества для вывода экономики из кризиса на основе стратегических целей реформирования всей системы общественных отношений. К разработке программы были привлечены ученые, представители различных государственных и общественных структур, были использованы лучшие достижения экономической мысли.
Проект несколько раз возвращался Президентом на доработку, поскольку предлагаемые варианты не полностью отвечали, по его мнению, двум главным требованиям:
- во-первых, программа должна быть реалистичной, выполнимой;
- во-вторых, ее реализация должна обеспечить улучшение жизни людей не в далекой перспективе, а в ближайшее время.
При этом руководство республики, на что неоднократно обращал внимание Президент Республики Беларусь А. Г. Лукашенко, никогда не собиралось и не собирается проводить реформы ради реформ, вводить рынок ради рынка или проводить приватизацию ради приватизации, или осуществлять производство ради производства, осуществлять накопление ради вещного накопления. Поэтому в окончательном проекте Основных направлений социально-экономического развития Республики Беларусь на 1996-2000 гг., которые были одобрены Всебелорусским народным собранием, состоявшимся 19-20 октября 1996 г., и утверждены Указом Президента от 14 ноября 1996 г., определялись перспективная модель - модель социально ориентированной рыночной экономики страны, соответствующие цели и задачи, этапы и основные направления преобразований в экономике и социальной сфере267.
Упомянутый документ устанавливает, что стратегической целью социально-экономических преобразований в республике является повышение жизненного уровня белорусского народа, постепенное приближение его к уровню высокоразвитых европейских государств. Эту цель предполагалось реализовать путем создания высокоэффективной экономики, имеющей сильную, приоритетную, социальную направленность, а главное, раскрепощения человека как личности.
Этим требованиям в наибольшей мере отвечает модель социально ориентированной рыночной экономики, главное условие которой - свобода для товаропроизводителя. Он производит, что хочет, и продает, где хочет и по каким хочет ценам в соответствии с действующими законами. При этом часть вновь созданной стоимости через налоги направляется на решение государственных, общенародных целей и задач и на поддержку тех, кто по возрасту или состоянию здоровья не может себя содержать.
Такое общество предполагает формирование мощного среднего класса. Оно развивается устойчиво динамично, поскольку государство не ограничивает трудовое стремление к богатству каждого человека и не допускает нищеты.
В Основных направлениях предусматривалось два этапа реформирования - завершение в основном в 1997 г. процесса макроэкономической стабилизации, создание предпосылок для возобновления экономического роста и обеспечение на втором этапе, до 2000 г., устойчивого подъема производства в приоритетных отраслях экономики, создание новых инновационных рабочих мест и реальное последовательное повышение уровня жизни населения.
Подобная экономическая модель на практике осуществляется в Финляндии, Швеции, Норвегии, Германии и других развитых странах.
2.3. Экономико-математическая макромодель формирования социально ориентированной ноосферной экономики
Исходя из содержания и целевой функции формирования социально ориентированной ноосферной экономики, общественное воспроизводство целесообразно рассматривать в единстве не по двум (I, II), как общепринято 268, а по трем совокупным подразделениям:

где I - производство средств производства, включая природные ресурсы; II - производство предметов потребления, включая дары природы; III - производство человека как биосоциального и ноосферного продукта (разум, знание, наука, образование, здравоохранение, культура и другие услуги); С, V, М, П - воспроизводство соответственно постоянных фондов, переменных фондов, прибавочного продукта и валового национального продукта (воспроизводство валового национального продукта страны, региона).
Такой подход к группировке отраслей общественного воспроизводства позволяет описать социально-экономическое развитие как устойчивый и взаимосвязанный инновационный процесс накопления фондов и воспроизводства материального и нематериального продукта.
Данную модель в распределительно-затратном товарно-денежном аспекте можно представить на основе правил линейной алгебры в виде следующей схемы:

где П1 - распределение потребленных материально-вещественных условий и факторов производства; П2 - распределение произведенных предметов потребления; П3 - распределение произведенного биосоциального и ноосферного продукта.
Воспроизводство и накопление фондов в самом общем плане осуществляются следующим образом. Продукция I подразделения (П1), которая состоит из потребленных средств производства (включая и природные ресурсы), распадается на три части: C1, С2, С3. Часть продукции, равная С1, поступает посредством внутреннего обращения для возобновления (возмещения) примененных постоянных фондов в процессе производства общественного продукта этого же подразделения. Часть продукции, равная С2, поступает во II подразделение с целью возобновления (возмещения) примененных постоянных фондов в процессе производства предметов потребления. Часть продукции, равная С3, поступает в III подразделение с целью возобновления (возмещения) примененных постоянных фондов в процессе производства биосоциального и ноосферного продукта (планетарного интеллекта, разума, культуры, здоровья, духовных благ и других нематериальных услуг).
Аналогичное движение происходит и с продукцией II и III подразделений. Продукция II подразделения (П2) поступает как для работников этого подразделения (II), так и для двух других подразделений (I и III). Производство этой продукции возобновляет переменные фонды (V1, V2, V3) каждого из соответствующих подразделений в плане удовлетворения материальных благ и услуг. Продукция III подразделения (П3) также поступает во все три подразделения для возобновления переменных фондов в плане удовлетворения социальных (нематериальных, духовных) благ и услуг.
Все три подразделения находятся в органической взаимосвязи, которая может быть представлена матрицей (здесь и далее применяются матричные методы, которые изложены в книгах по линейной алгебре и линейному программированию (Виславский М. Н. Линейная алгебра и линейное программирование. Мн., 1966; и др.):

Продукция, произведенная в каждом из подразделений, показана соответствующей строкой. Назовем эту матрицу матрицей затрат первоначального стоимостного состава валового национального продукта (М3ВНП).
Переместив входящие в нее элементы таким образом, чтобы строки заменились столбцами с теми же номерами, получим видоизмененную матрицу

Каждая отдельная строка этой матрицы отражает движение продукции как внутри одного подразделения, так и за его пределами, т. е. в другие подразделения. Данную продукцию назовем матрицей предложения МПВНП. Здесь каждый элемент отражает соответствующие потоки продуктов. Так, C1, V2, М3, являясь элементами, расположенными на главной диагонали, потребляются в тех же подразделениях, где они производятся. После обмена эти элементы не изменяют своего места в матрице. Другие изменения происходят с элементами С2 и V1, С3 и M1, V3 и М2.
Все они, соответственно, меняются местами друг с другом. Транспонируя, т.е. меняя строки и столбцы данной матрицы, получаем следующую видоизмененную матрицу:

Назовем ее матрицей спроса МСВНП. Первый столбец МС отражает движение средств производства, воспроизведенных в I подразделении для возмещения постоянных фондов во всех трех подразделениях социально-экономической системы. Второй столбец отражает использование предметов потребления, воспроизведенных во II подразделении для возмещения экономической части переменных фондов во всех трех подразделениях социально-экономической системы. Третий столбец отражает использование социального продукта (нематериальных, духовных благ и услуг), воспроизведенного в III подразделении для возмещения социальной части переменных фондов также во всех трех подразделениях социально-экономической системы.
В результате регулируемого рыночного взаимодействия всех сфер деятельности возобновляются основные и переменные фонды, а именно:

Перед нами матрица возобновленных фондов (МФ). Она отражает реальный процесс накопления фондов, которые обеспечивают производство нового общественного продукта.
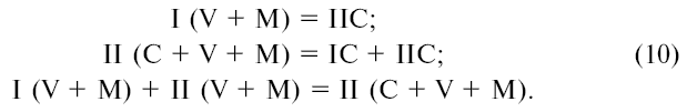
Для того чтобы возобновление фондов осуществлялось непрерывно, необходимо обеспечение равенства между матрицей предложений продуктов (МП) и матрицей спроса (МС). Данное равенство выражает условие сбалансированного развития простого воспроизводства, которое можно представить следующим образом:

Для того чтобы воспроизводство и накопление фондов осуществлялось непрерывно и сбалансированно, без диспропорций, необходимо обеспечение равенства между матрицей предложений продуктов (МПВНП) и матрицей спроса (МСВНП). Данное равенство выражает условие сбалансированного воспроизводства, которое может быть представлено так:

Произведя сокращение одинаковых элементов в обеих частях данных уравнений, получим

Предполагается, что биосоциальное и ноосферное (нематериальное) и экономическое (материальное) не включено друг в друга, а находится в дифференцированном состоянии. Эта дифференциация свидетельствует о том, что без прироста биосоциального и ноосферного продукта трудно (если вообще возможно) получить прибавочный продукт в материальном производстве и наоборот. Воспроизводство и накопление фондов в III подразделении не может осуществляться без соответствующего объема производства прибавочного продукта в I и II подразделениях. Каждое из равенств является одновременно условием и результатом двух остальных. При этом необходимо отметить, что существующее в экономической науке понятие «простое воспроизводство» требует другого понимания, когда речь идет о социально ориентированном воспроизводстве.
Как известно, существующее понятие простого воспроизводства отражает в большей мере процесс распределения продукта, нежели процесс его производства. Определив норму прибавочной стоимости всегда равной 100% и идущей на личное потребление владельца средств производства - капиталиста, а не на увеличение необходимого продукта для развития личности трудящегося или средств производства, К. Маркс правомерно назвал такой процесс капиталистического производства простым, выразив его условия следующим образом:

Однако, исходя из этой схемы, вряд ли можно считать социально ориентированное воспроизводство простым, если имеет место любое увеличение производства продукта по сравнению с базовым уровнем независимо от системы его распределения. По-видимому, простым воспроизводством является лишь такое производство, когда нет какого-либо роста его масштабов. Если же обеспечивается прирост П, то имеет место расширенное воспроизводство:

После распределения продукта (П’) данное уравнение можно представить так:

где ΔС и ΔV - добавления к постоянным (С) и переменным (V) фондам.
Обращение продуктов и фондов каждого подразделения отражено в виде следующей схемы:

где С’1, С’2, С’3 - стоимость средств производства, необходимых для возмещения и расширения постоянных фондов соответственно в I, II и III подразделениях.
Аналогично этому V’1, V’2, V’3 - предметы потребления, необходимые для возмещения и расширения преимущественно переменных фондов, а M’1, M’2, M’3 – соответственно, стоимость прибавочного продукта, необходимого для расширения (накопления) постоянных и переменных экономических и социальных фондов.
Данный процесс может быть представлен следующей матрицей:

Если отобразить матричным методом конечный процесс воспроизводства и накопления фондов по итогам года, то необходимо осуществить процесс поворота элементов данной матрицы вокруг ее главной диагонали (С1, V2, М3), т.е. транспонирования других ее элементов.

Социальный продукт (П3), взаимодействуя с материальным продуктом (П1, П2), в процессе воспроизводства в конце года овеществляется и социализируется в фондах (С и V), приобретая такую структуру:

Эти расширенные фонды будут участвовать в производстве валового национального продукта в следующем году, но будут уже иметь другую стоимость:

Весь процесс расширенного воспроизводства валового национального продукта и накопления фондов можно представить так:


Используя уравнения (8) и (9), выводим условия расширенного воспроизводства и накопления фондов:

Сократив одинаковые числа в данных уравнениях, получим

Распределив прибавочный продукт и объединив элементы переменных фондов в обеих частях каждого из этих уравнений, запишем

Объединив все виды продукта и элементы фондов в одно подразделение и учтя фонд личного потребления, получим

Как видно из схем и матриц, возникает необходимость непрерывного и сбалансированного функционирования всех сфер воспроизводства общественного продукта и накопления фондов. Однако здесь не совсем ясна роль и место фондов потребления и накопления, если подходить к этим категориям с традиционных позиций.
Обычно потребление, равно как и накопление, связывается с вещественным богатством как самоцелью общества и противопоставляется накоплению по аналогии с подходом к нему К. Маркса, считавшего потреблением все то, что не служит делу капитала. «Не может накоплять тот, - писал он, - кто проедает весь свой доход вместо того, чтобы добрую долю его расходовать для найма добавочных производительных рабочих, дающих больше, чем они стоят»269. И это положение совершенно верно для конкретного потребления - капиталистического.
Если же потребление рассматривать с позиций нашей трактовки социально ориентированного общественного производства, где действительным богатством общества должна являться личность человека, то потребление - это накопление переменных фондов во всех сферах общественного производства. Именно потребление как накопление переменных фондов представляет предпосылку и условие воспроизводства основного отношения социально ориентированного воспроизводства по поводу, прежде всего, развития самих людей, а не по поводу лишь производства материальных благ, на что правомерно указывает В. Я. Ельмеев270.
Отсюда вытекает необходимость, во-первых, понимания потребления как всего того, что служит накоплению переменных фондов, но, естественно, «погибает» в них, а во-вторых, отказа от существующего деления национального дохода на фонды потребления и накопления. Их следует классифицировать как постоянные и переменные фонды.
Для доказательства практической значимости и необходимости использования в современной деятельности народнохозяйственных региональных органов власти и управления трех и более секторных схем воспроизводства продукта и накопления считаем целесообразным предложить систему соответствующих экономико-математических моделей их реализации.
Прежде всего, речь идет о преобразовании трехсекторных схем воспроизводства продукта и накопления фондов путем замены элементов их стоимостного состава взаимосвязанными коэффициентами и удельным весом каждого. Для этого введем некоторые известные обозначения.
Пусть аi - отношение стоимости постоянных фондов Сi и стоимости продукта Пi; вi - отношение стоимости переменных фондов Vi к Пi; сi - отношение прибавочной стоимости Мi к Пi. Назовем каждую из этих величин отношением «стоимость - продукт». С помощью указанных отношений можно определить относительные величины структурных компонентов воспроизводства и накопления фондов по каждому из подразделений:

В ходе накопления и воспроизводства фонды (постоянные и переменные) применяются полностью, но их стоимость переносится на вновь созданный продукт прямо пропорционально общественно необходимым затратам труда. Создаваемая в процессе производства стоимость выражается в валовом национальном продукте, который после распределения и потребления вновь воплощается в фондах, т.е. как бы возвращается к своему исходному началу. Это обратное превращение можно выразить системой уравнений

Предполагается, что отношения а, в и с являются научно обоснованными заданными величинами. Определим оптимальные соотношения между воспроизводством продуктов П1, П2 и П3 и накоплением фондов Ф1, Ф2 и Ф3. Для того чтобы эффективно функционировал этот процесс в целом, используем систему уравнений

Введя в нее компоненты (23) и одновременно преобразовав каждое уравнение, получим

Учитывая, что только два первых уравнения являются независимыми, тогда как третье (производство социального продукта - жизненных средств) может быть как выведено из них, так и существовать в них, изложим эту систему уравнений в виде

Применив правило Крамера, получим

Преобразовав эти равенства, запишем

Транспонировав (поменяв местами строки и столбцы) элементы определителя, данные соотношения представим так:

Используя правила вычисления определителей путем понижения его n-го порядка, систему уравнений (26) запишем в следующей матричной форме:

Поменяв строки и столбцы этой системы уравнений, выразим ее определитель:

Сравнивая знаменатель системы уравнений (30) и определитель системы (32), можно увидеть, что каждый из знаменателей в (30) представляет собой минор (Мij) элемента аij, т.е. определитель Дij, который получается из определителя Д вычеркиванием i-й строки и j-го столбца, на пересечении которых стоит элемент аij. Обозначив определители системы (30) как Д13, Д23, Д33, запишем эту систему в виде:

Применив свойства определителя системы (32), приходим к выводу о равенстве определителей системы (30), что выражается системой уравнений

Для подтверждения правомерности данного уравнения определим Д11, Д12 и Д13. Представим:

Из (26) следует, что в2 + с2 − 1 = −а2, в3 + с3 − 1 = −а3. Таким образом:

При исчислении Д12 сложив первый столбец со вторым, можно получить:

Из (26) следует, что а2 + c2 = −(в2 − 1), а3 + с3 − 1 = −в2. Таким образом:

Д11, Д22 и Д33 являются главными минорами определителя Д. Их соотношения (Д11:Д22:Д33) показывают пропорции распределения продуктов (П) и накопления фондов (Ф) по подразделениям (I : II : III). Предположим, что стоимость всего валового национального продукта, воплощающая совокупное общественно необходимое рабочее время, равна П. Из систем (33) и (34) видно, что непрерывное осуществление процесса воспроизводства продукта и накопления фондов предполагает следующее распределение всего совокупного рабочего времени между рассматриваемыми здесь подразделениями:

Применяя (34), запишем эти соотношения таким образом:

Зная отношения «стоимость - продукт» и величину валового национального продукта (П), можно определить те научно обоснованные объемы постоянных фондов (С) и переменных фондов (V), которые могут и должны быть направлены в каждое подразделение, чтобы получить научно заданную величину прибавочной стоимости (М), или доходы (V + М), или заданный прирост общественного продукта (П).
Из (25) получим:

Используя правила вычисления определителя n-го порядка путем понижения порядка, записываем (26) в матричной форме:

Подставив в (42) соотношения из (33), получим:

Используя соотношения(40) и (23), запишем:

Эти выражения совместно с условием равновесия при простом воспроизводстве (П1 = С, П2 = V, П3 = М = 0) и с соотношениями (33) и (34) можно выразить так:

В условиях простого воспроизводства (7), (8) весь общественный продукт является необходимым продуктом, который идет на возмещение средств производства, а также на производство товаров (для удовлетворения материальных и духовных потребностей членов общества). Здесь предложение средств производства, предметов потребления и жизненных средств обеспечивает постоянные общественные потребности.
Иначе говоря, воспроизводство продукта и фондов осуществляется строго сбалансированно по всем структурным элементам (С, V, М) и без изменений по сравнению с ранее достигнутым базовым уровнем развития, а также без роста П. Эффективность фондов при таком воспроизводстве заключается лишь в сбалансированном функционировании всех его структурных элементов, что на практике бывает не так уж часто, а если и имеет место, то это говорит о застойном процессе воспроизводства, точнее, простом воспроизводстве.
Для социально-экономического развития, как уже отмечалось, характерно расширенное воспроизводство и накопление фондов, что предполагает разработку несколько иного инструментария.
Используя уравнения (13) и (14), матрицы (23), (30) - (35), запишем исходные значения отношений стоимости фондов к продукту в условиях расширенного воспроизводственного цикла и накопления:

где а’i + в’i + c’i = 1.
Коэффициенты а’i, в’i, c’i научно определяют, как должны соотноситься каждая из структурных частей фондов, чтобы обеспечивался заданный прирост общественного продукта и накопление фондов как в целом по региону, так и по отраслям (сферам).
Рассуждая так же, как и в случае простого воспроизводства, можно представить пропорцию между фондами и выпуском продукции в различных подразделениях:

Следовательно, при научно обоснованной заданной величине стоимости продукта П можно выяснить, какой должна быть структура и величина общественного продукта, чтобы обеспечивалось его воспроизводство в расширенном масштабе и, соответственно, накопление фондов, а именно:

Когда пропорции фондов научно определены до начала процесса воспроизводства продукции, могут быть соответственно определены и размеры получения необходимого и прибавочного продукта. Для расчета используем формулы (23) и (41):

Применив также соотношения (42) и (43), процесс расширенного воспроизводства и накопления фондов можно представить в матричной форме:

Расширенное воспроизводство и накопление фондов имеют место как при одновременном приросте всех элементов (Пi, Сi, Vi и Мi), так и при различном их сочетании, но всегда при Пi. В данных схемах потребление рассматривается как накопление переменных фондов. Потребление, которое имеет место за пределами воспроизводства и накопления, не принимается во внимание.
Таким образом, если научно обоснованы коэффициенты аi, вi, сi, определяющие стоимостное строение продукции каждого подразделения, то можно научно определить и фактические размеры постоянных фондов Сi и переменных фондов Vi, которые необходимы для расширения воспроизводства и накопления фондов в любой регионально-отраслевой системе в зависимости от уровня развития производительных сил и производственных отношений.
Иначе говоря, с помощью системы отношений «стоимость - продукт» имеется возможность определять эффективность тех пропорций, в которых фонды, функционируя по регионам и отраслям, обеспечивают максимальную отдачу. Однако для этого необходимо иметь соответствующие статистические данные, которых пока недостаточно.
Для того чтобы более зримо ощутить полезность данной методики, необходимо рассмотреть весь механизм применения на условных числовых примерах. Признаем как факт, что составные части стоимости общественного продукта находятся в следующих соотношениях:

Используя (23), введем отношения стоимости элементов продукта и фондов со следующими цифровыми значениями:
Применяя (32) и (50) и используя эти цифровые элементы, определяем:

где Д11 : Д22 : Д33 = 42/75 : 14/75 : 14/75 = 3 : 1 : 1.
Предположим, что мы знаем стоимость будущего общественного продукта, например, равную 10 000. Тогда, применив (42) и (50), получим следующие необходимые условия стоимостного строения воспроизводства продукта и фондов:

В предложенных схемах модель воспроизводства общественного продукта и фондов выглядит таким образом:

Теперь предположим, что за счет интенсификации, научно-технического прогресса и других факторов прирост прибавочного продукта достигает 50% от его базового уровня в каждом из подразделений. Тогда, согласно (50), получим другое стоимостное строение расширенного воспроизводства и накопления фондов:

Рассмотрим стоимостную структуру воспроизводства и накопления фондов при других (новых) цифровых значениях структурных элементов:

Применив (46) - (50), если П = 10 000, получим

а при П′ = 11 000 будем иметь

В принятых обозначениях процесс расширенного воспроизводства общественного продукта и накопления фондов выглядит по всем изложенным вариантам следующим образом:


где А, А’, Б, Б’ - варианты воспроизводства валового национального продукта и накопления фондов соответственно при старых (А, А’) и новых (Б, Б′) значениях структурных элементов.
Приняв А и Б за исходный уровень, т.е. за 100%, обеспечение расширенного воспроизводства продукта и накопление фондов на 10% (А’ и Б’) можно представить так:

Значит, заданный прирост общественного продукта требует всегда обеспечения соответствующего прироста С, V, М.
Рассчитаем удельный вес (в процентах) каждого элемента (С, V, М) в общественном продукте (П). Это позволит определить роль и место их в общей системе заданных координат воспроизводства и накопления фондов и, тем самым, добиться более точного расчета эффективности функционирования каждого из них, избежав при этом соответствующих приписок и фетишизации.

Как видим, в каждом подразделении могут складываться различные соотношения между элементами. В одних производствах больший удельный вес занимает С, в других - V, а в третьих - М. Это вполне закономерно, поскольку на формирование этих структур оказывает влияние множество различных факторов, причем в разных направлениях. При этом можно утверждать, что если господствует по удельным весам С, то мы имеем фондоемкий процесс воспроизводства и накопления, если V, то, соответственно, трудоемкий или фондоэкономный. Однако не следует, по-видимому, определять вне системы, какой из них является более эффективным процессом накопления.
Этот вывод обосновывается путем расчета разности между удельными весами элементов следующим образом: А’ - А и Б’ - Б, т.е.:

Прирост общественного продукта в целом на 10% потребовал изменения всей структуры воспроизводства и накопления фондов в сторону опережающего роста общественно необходимых затрат во II и III подразделениях по сравнению с I. Этот процесс характеризуют приросты П2 и П3 соответственно на 7,0 и 12,4 пункта и снижение доли в валовом национальном продукте П1 на 19,4 пункта. При этом в целом накопление постоянных фондов на 0,2 пункта и переменных фондов на 9,75 пункта обеспечивалось за счет снижения доли социального продукта на 9,95 пункта и валового продукта, производимого в I подразделении, на 19,4 пункта.
Определенные изменения удельных весов других структурных элементов произошли в каждом конкретном подразделении. Так, в I подразделении удельный вес С, V, М снизился соответственно на 11,7; 5,85 и 19,4 пункта. Во II подразделении, наоборот, прирост удельного веса составил: С2 - на 6,4 пункта, V2 - на
3,4 и С2 - на 7,0 пункта одновременно со снижением удельного веса М2 на 2,8 пункта. В III подразделении удельный вес С3 увеличился на 5,5 пункта, V3 - на 8,2 и П3 - на 12,4 пункта одновременно со снижением удельного веса М3 на 1,3 пункта.
Аналогичное движение произошло и с нормами накопления фондов. Если их рассчитать по формулам (C : m) * 100, (V : m) * 100 и (C + V) / m * 100, то получим следующие данные:


Как видно по варианту А’, заданный прирост общественного продукта на 10% обеспечивался за счет достаточного гармонического развития всех трех подразделений. Здесь в каждом подразделении и в целом во всем общественном воспроизводстве норма накопления всех фондов составляла 36,4%.
Совершенно другой процесс происходил с накоплением фондов в варианте Б’. Опережающее накопление фондов здесь наблюдалось во II и III подразделениях за счет снижения удельного веса общественно необходимых затрат I подразделения.
Отсюда следует вывод: достижение определенных результатов может быть обеспечено за счет различных соотношений видов живого и овеществленного труда как внутри каждой отрасли и каждого региона, так и во всем общественном воспроизводстве продукта и накопления фондов региона (страны, края, области и т.д.) в целом.
С учетом стоящих перед обществом задач данная модель, в отличие от существующих, требует системного выбора путей повышения эффективности накопления, а также учета накопленных фондов. При этом важно иметь в виду сложившуюся технологию, уровень научно-технического прогресса и наличие ресурсов, а не стремиться к искусственному созданию условий по опережающему развитию той или иной отрасли, тем более по обязательному ускоренному росту, например, военно-промышленного комплекса, или I подразделения по сравнению со II, или I и II по сравнению с III подразделением.
В современной экономической политике не должно иметь место установление на длительный период единых для всех участников общественного воспроизводства норм накопления фондов, тем более нормативных соотношений между ростом производительности труда и ростом заработной платы. Главным должна быть мобильная (но реальная) перестройка общественного производства по обеспечению более быстрого и полного удовлетворения возрастающих потребностей (материальных и нематериальных) человека и общества на основе роста (а не снижения) общественно необходимых затрат труда, особенно научных, интеллектуальных, что вытекает из двойственного характера времени и труда.
В каждый данный момент времени общественное воспроизводство выступает во всех трех формах: денежной, производительной и товарной. Первая и третья из них (денежные и товарные фонды) функционируют в сфере обращения, вторая (производительные фонды) - в сфере производства. В своем единстве эти три формы образуют кругооборот фондов.
Схематично в самом общем виде кругооборот фондов можно изобразить следующим образом271:

где Д, Д’ - деньги; Т, Т’ - товар; ТР, ТР’ - трудовые ресурсы; СП, СП’ - средства производства; ПР, ПР’ - природные ресурсы.
Здесь по аналогии с кругооборотом капитала, который, как известно, начинает свое исходное движение также с денежной формы (Д), личный и вещественный элементы производства соединяются на базе различных форм реализации общественной и индивидуальной собственности при помощи социально-экономической формы найма трудящегося как личности, а не только как носителя рабочей силы.
Работник в условиях функционирования фондов по сравнению с капиталом выступает в новом качестве - распорядителя средств и условий производства, хотя на сегодня далеко еще не в полном смысле этого понятия, не говоря уже о статусе хозяина вещественных факторов и условий производства. Часто на деле ни коллектив, ни его руководители не могут уйти от бюрократического административного вмешательства в их деятельность.
Если движение фондов задерживается на первой фазе, то образуется «омертвленный капитал» и имеет место инфляция, что преграждает путь потоку производства продуктов и услуг; если на второй фазе, то на одном полюсе будут всегда находиться, не функционируя, вещественные факторы, а на другом - незанятые, безработные трудящиеся; если на третьей - будет идти накопление нереализованных продуктов и будут создаваться условия для их дефицита и образования «омертвленного капитала».
Весь характер социально ориентированного производства определяется потребностями развития каждого члена общества и общества в целом. Следовательно, не столько производство прибавочной стоимости, тем более прибыли, сколько производство всей вновь созданной стоимости и потребительной стоимости, а также развитие человека и совершенствование производственных отношений, т.е. накопление фондов, и составляют ведущую тенденцию кругооборота фондов. Постоянное увеличение и качественное совершенствование фондов становятся условием реализации указанной тенденции.
В условиях многообразия форм реализации общественной собственности схема выражает не только то, что произведено, как при капитале (прибавочную стоимость - прибыль), но и планомерное накопление фондов, т.е. ТР’, СП’ и ПР’ не есть противоположность ТР, СП и ПР, а есть первоначальная стоимость фондов плюс стоимость накопленных фондов.
При этом товарная и денежная формы являются особыми способами существования фондов, и не более. В условиях сохранения товарно-денежных отношений товарные фонды выполняют только товарные функции, а денежные фонды - только денежные функции. Различие же между ними равно различию между товаром и деньгами. Если же этого не происходит, то общество имеет другие, не социально ориентированные отношения.
На эту сторону наша экономическая наука и практика не обращают внимания, а потому все в большей мере одним из способов устранения имеющихся социально-экономических бед считают получение максимальной прибыли, что характерно для капиталистического и докапиталистического способов производства. Как это ни странно, но получить максимальную прибыль совсем несложно. Причем, нередко это возможно и при очевидной бесхозяйственности. (Спрашивается, на кого работает торговля, особенно плодоовощная, которая имеет прибыль, несмотря на то, что до 40-50% продукции не доходит до потребителя).
Социально ориентированную экономику может определять только процесс производства потребительных стоимостей, чтобы изначально удовлетворить запросы потребителя или заменить товары иной потребительной стоимости. Это не означает, что денежные фонды не играют существенной роли в процессе кругооборота фондов. Наоборот, без них невозможно обеспечить нормальное движение фондов.
Именно денежные фонды служат не только в качестве фонда оплаты труда, но и того резервного средства, которое позволяет устранять нарушения кругооборота фондов. При этом денежные фонды с самого начала выступают как товарные фонды (не цель) всего производственного процесса и накопления, т.е. не служат для обогащения индивидуальных производителей за счет образования, так называемой, ложной стоимости путем издержек в системе ценообразования и несоответствия спроса и предложения. Главное свойство денежных фондов то, что они есть стоимость, порождающая потребительную стоимость.
Так как пропорции, в которых может осуществляться процесс социально ориентированной экономики, определяются не произвольно, а предписываются научно-техническим прогрессом, точнее, уровнем развития самого человека и общества, то труд, предназначенный для «фондизации» - накопления фондов (нередко лишь посредством повторения нескольких кругооборотов фондов), может достичь таких размеров, при которых он действительно функционирует как дополнительные фонды или входит в кругооборот фондовой стоимости, совершающий свой процесс.
Фонды, как и капитал, в своем движении имеют тенденцию к постоянному изменению и взаимопревращению, что обуславливается конкретно-историческими условиями их функционирования независимо от отраслевых и территориальных границ.
Это объясняется, в свою очередь, тем, что весь характер социально ориентированного производства, равно как и накопления, определяется гуманным отношением к человеку и природе, эквивалентным обменом труда, общецивилизационными потребностями каждого человека и общества в целом, а также исключением эксплуатации в производственных отношениях. Следовательно, если подобные отношения не имеют устойчивой тенденции к прогрессу, то утверждать о функционировании категории фондов, тем более их накоплении, совершенно недопустимо.
Для содержательной характеристики фондов с точки зрения их движения, а также установления более четкой функциональной взаимосвязи с существующей классификацией основных сфер общественного производства не менее важно уточнить существующие названия их относительно самостоятельных основных видов.
Правомерно было бы назвать фонды, которые осуществляют кругооборот в сфере производства экономического продукта, материальными экономическими фондами, подразделив их на основные и оборотные экономические фонды.
Фонды же, которые осуществляют кругооборот в сфере производства биосоциального и ноосферного продукта, целесообразно было бы назвать социальными экономическими фондами, в свою очередь также подразделив их на основные и оборотные социально-экономические фонды.
Понятия «экономические фонды» и «социальные фонды» предлагается употреблять в следующем значении: всякая социально ориентированная отрасль так называемых сфер материального или нематериального (духовного) производства. При этом экономические и социальные фонды обозначают только относительно самостоятельные виды фондов, функции которых составляют содержание тоже относительно самостоятельных, но не отделенных жесткими границами друг от друга сфер предпринимательской деятельности, обеспечивающих социальное и экономическое развитие страны. Они обозначают лишь особые функциональные формы фондов, которые в своем кругообороте не только последовательно принимают все три формы - денежную, производительную и товарную, но и взаимодействуют друг с другом, находясь постоянно в процессе интеграции (например, наука и производство).
Взаимодействие и интеграция экономических и социальных фондов в процессе их кругооборота возможны лишь в том случае, если их различные фазы без задержек переходят одна в другую не только в границах кругооборота экономических и социальных фондов, но и фондов в целом, как бы по вертикали, через их границы.
Этот процесс можно представить в виде схемы

где I и II - соответственно кругооборот экономических и социальных фондов.
К сожалению, этой важной стороне движения фондов экономическая наука пока не уделяет внимания.
Не случайно в нашем обыденном сознании нередко абсолютизируются и фетишизируются результаты товарного производства материальной сферы, а нематериальная, духовная сфера выступает в роли ее иждивенца, потребителя, расточителя, нахлебника. Отсюда живучесть остаточного подхода в социально-экономической практике к развитию социальной сферы и неправомерное отнесение материальных затрат в учреждениях науки, просвещения, здравоохранения, искусства, органах государственного управления и обороны к фонду потребления.
Такая классификация фондов с точки зрения их движения в полной мере адекватна сути социально ориентированного содержания общественного производства. При этом социальный продукт, равно как и занятость трудящихся по его производству, должен занимать приоритетное место в структуре всего общественного продукта, чего, к сожалению, пока не наблюдается. В сфере воспроизводства доля услуг в ВВП на сегодняшний день составляет менее 50%. В развитых экономиках этот показатель составляет более 70%.
В условиях перехода к ноосферной экономике и социальной политике целесообразно пересмотреть действующую систему налогообложения (в сторону ее упрощения и обеспечения максимальной свободы производителей продукции), создав единые условия для коммерческой деятельности во всех сферах (производственной и непроизводственной) и на всех иерархических уровнях (индивидуального производителя, предприятия, отрасли, региона и страны в целом).
Регулируемые рыночные отношения могут выступать в основном в форме стимулирующих норм отчисления от дохода (вновь созданной стоимости), но с учетом фактической динамики совокупной фондоотдачи (фондоемкости). То есть налогоплательщик платит с общей суммы зарплаты и прибыли. При этом если коэффициент фондоотдачи растет, то снижается единый норматив отчисления, и наоборот. Например, если фондоотдача возросла на 5%, то налогоплательщик платит не 33, а 31%, снизилась она на 5% - платит не 33, а уже 35% от добавленной стоимости.
Этот механизм становится не столько фискальным, сколько стимулирующим. Эффективнее, интенсивнее, качественнее работаешь, больше выпускаешь конкурентоспособной, высокорентабельной продукции - относительно меньше налоговая нагрузка. Хуже работаешь, плохо используешь производственные мощности, фонды, материальные, финансовые и другие ресурсы - больше налоговая нагрузка, быстрее разоряешься и становишься банкротом.
Однако внедрение такой модели требует предварительного решения целого ряда задач:
- сокращения хождения наличных денег и расширения сферы действия «электронных» денег - безналичных расчетов;
- обеспечения единого рыночного курса валют и рыночной системы ценообразования со снятием административных ограничений по уровню рентабельности товаров, работ и услуг;
- создания при органах ценообразования информационных центров по ценам отечественных и зарубежных товаров, структуре их стоимости;
- введения системы научно обоснованного отраслевого калькулирования затрат, особенно материальных и условно-постоянных расходов;
- создания системы исчисления стоимости и вновь созданной стоимости с помощью рынка, а не из заводского, отраслевого, тем более правительственного кабинета (т.е. из стоимости реализованной по рыночным ценам продукции вычитается стоимость материальных издержек и другие приравненные к ним расходы по финансовым счетам и в ценах на момент их приобретения);
- введения системы исчисления фондоотдачи (ФО) как отношения объема реализованного товара (продукции, работ и услуг) (ТР) к стоимости основных, оборотных фондов, земли (территории) и трудовых ресурсов (Ф), т.е. ФО = ТР/Ф;
- изменения существующего сознания и понимания сути социально ориентированной экономики (СОЭ) не как экономики, которая обеспечивала бы удовлетворение растущих (по сути неограниченных) материальных потребностей, а как экономики, которая обеспечивала бы приоритетное развитие ноосферы и социальной сферы (разума, науки, образования, культуры, спорта, искусства, информационных, духовно-нравственных и экологических и других ценностей) по сравнению с материально-потребительными стоимостями.
Исходя из социально ориентированной экономики, распределительная и финансово-бюджетная политика должна основываться на необходимости обеспечения гармонизации трех классифицированных выше макроэкономических сфер воспроизводства валового национального продукта (ВНП) и валового внутреннего продукта (ВВП).
Отсюда вытекают идеология, сознание, мышление, убеждения и практические действия о необходимости приоритетного (а не остаточного) развития социальной сферы, особенно ее ядра - разума человека (ноосферы) - реального фактора накопления настоящего и будущего прогресса материального производства на основе инновационного научно-технического прогресса.
В связи с предстоящим повышением роли, прав и ответственности за социально-экономическое развитие местных органов власти и управления, на наш взгляд, имеет право на внедрение одноканальная система сбора и распределения налоговых платежей. В чем ее суть?
Налогоплательщик (предприниматель) платит первичному органу власти и управления - району, городу без районного деления 34% от вновь созданной, добавленной стоимости с учетом коэффициента изменения фондоотдачи. Район, город без районного деления из поступившей от всех налогоплательщиков суммы платит 34% также с учетом коэффициента изменения фондоотдачи, но исчисленной уже из всего объема реализованной продукции, полученной в районе, городе, и всей суммы фондов района, города. Область, город с районным делением действует аналогично району и городу без районного деления по отношению к республике. Республиканские органы власти используют поступившие налоги в основном на государственные нужды (оборону, содержание госаппарата, правоохранительных органов, международную деятельность, фундаментальные научные исследования и др.).
Система контроля за полный сбор и законное расходование бюджетных средств основывается на принципе: кто проверяет, тот и перечисляет недоплаты, штрафы за неуплату налогов в соответствующий бюджет. Проверка осуществляется только сверху вниз, т.е. республиканские органы имеют право проверять любой нижестоящий субъект (областной, городской, районный, предпринимателя), областные - соответственно город, район, предпринимателя и т.д.
Не менее важно повысить ответственность и расширить возможности самих людей (имеется в виду рост заработной платы в увязке с ростом производительности труда). Другими словами, кроме определенных минимальных государственных гарантий по социальной защите более широкое распространение должны получить различные частные и государственные пенсионные, медицинские, страховые и другие внебюджетные фонды.
Необходимо отметить, что предлагаемая модель налогообложения полностью коррелируется с теоретическими и практическими нормативами развитых стран мира (кривые профессора А. Лафэра) и изобретенного в Европе НДС. Вспомним, барщина и оброк в России «работали» в пределах 30-35% по сути того же ВВП. Так зачем сейчас нужно такое количество разнообразных контрольно-ревизионных служб и сложнейшая система бухгалтерского учета? Не проще ли сразу вновь созданную стоимость объединить и без потерь достичь цели?
В свое время отец «Богатства народов» А. Смит впервые в экономической теории выдвинул идею создания упрощенной, прозрачной, умеренной налоговой системы, базирующейся на едином налоге. Эту идею начала реализовывать Франция, введя НДС, который получил широкое распространение в мировой практике. Его часто называют «европейским налогом», поскольку именно благодаря ему пополняется бюджет Европейского сообщества.
НДС взимается с прироста стоимости товара на каждой стадии в общей цепи производства и реализации. В конечном итоге государству безразлично, сколько посредников в цепочке на пути от производства до реализации товара. Главное, что в государственную казну поступает вся подлежащая налогообложению вновь созданная стоимость, что увеличивает стимулы к труду и бережливости.
Стержнем единого налогообложения на основе НДС являются счета предпринимателя, который одновременно выступает и как их получатель, и как выставитель. Они - самое главное и ценное, ибо все, что не подтверждено счетами, облагается налогом.
С учетом практики европейского НДС в социально ориентированной устойчивой инновационной экономике суверенной Беларуси может быть создана и инновационная налоговая система, что предполагает изменение бухгалтерского учета с заменой категории «себестоимость» на категорию «стоимость» продукции, работ, услуг и ВВП на микроуровне, т.е. вновь созданной стоимости: амортизации, заработной платы, прибыли и налогов.
В социально ориентированной устойчивой инновационной экономике государству важно обеспечение роста не только структурных частей ВВП, какими являются в настоящее время прибыль и налог, но и амортизации с заработной платой.
Исходя из принципа «золотого сечения» целого, НДС может исчисляться по единому для всех сфер деятельности и субъектов хозяйствования ВВП в размере 34% от вновь созданной стоимости:

где 34 - единый норматив исчисления налога; Vp – стоимость объема реализованной продукции, работ и услуг; Мз - материальные затраты, подтвержденные счетами (документами).
Сумма амортизации основных производственных фондов исчисляется по научно обоснованным нормативам, в соответствии с отраслевой спецификой и структурой фондов.
Размеры и соотношения заработной платы и прибыли устанавливаются каждым коллективом, предпринимателем самостоятельно, исходя из задач обеспечения принципа конкурентоспособности «цена - качество».
Системы распределения налогов в государственном и региональном аспектах основываются на том же принципе «золотого сечения» целого, т.е. 34% всех налогов поступают в государственную казну и 66% - в региональную систему власти и управления (т.е. в области, города, районы).
Политика заработной платы реализуется в зависимости от эффективности деятельности с соблюдением децильного принципа - не более 5:1. Размер пенсий должен быть увязан с размером заработной платы также на основе принципа «золотого сечения» целого и составлять 66% от средней заработной платы за последние 10 лет.
Внедрение инновационной налоговой системы позволит нашей стране без особых сложностей войти в действующие и будущие финансовые, экономические и другие международные альянсы, в том числе с Россией, Украиной, Казахстаном, Узбекистаном и др.
Реализация данной налоговой системы будет способствовать процветанию нашего социально ориентированного инновационного общества: соединение экономической свободы и социальной ответственности всех субъектов хозяйствования, населения и государственной власти позволит снизить криминализацию, активизировать огромные внутренние потенциальные возможности каждого человека для улучшения жизненного уровня и, тем самым, увеличить экономическую мощь государства.
