Мировая экономика и международный бизнес
| Вид материала | Учебник |
Содержание8.4. Анализ структуры мировой экономики методом «затраты — выпуск» |
- Малый и средний бизнес в системе внешнеэкономических связей России 08. 00. 14 Мировая, 331.95kb.
- Современные тенденции развития мирового страхового рынка 08. 00. 14 Мировая экономика, 293.7kb.
- Эволюция энергетической политики фрг в условиях европейской интеграции 08. 00. 14 Мировая, 344.45kb.
- Особенности инновационной маркетинговой политики современных тнк 08. 00. 14 Мировая, 674.64kb.
- Роль китая в процессах глобализации мировой экономики 08. 00. 14 -мировая экономика, 324.37kb.
- Особенности международной инвестиционной деятельности в условиях глобализации 08. 00., 358.88kb.
- Долговая политика России в условиях мирового финансового кризиса 08. 00. 14 Мировая, 298.31kb.
- Современные тенденции развития международного рынка высоких технологий 08. 00. 14 Мировая, 385.98kb.
- Развитие дистанционных форм занятости в современной мировой экономике 08. 00. 14 Мировая, 397.15kb.
- Инновационные направления развития внешнеэкономических связей дальнего востока россии, 282.87kb.
8.1. Стандартная модель международной торговли
Эта модель служит основным теоретическим инструментом анализа международной торговли. Модель оперирует совокупным спросом и предложением и исходит из предпосылки о существовании торговли двумя товарами между двумя странами. В рамках стандартной модели рассматривается и производство товаров с растущими издержками замещения.
Простейший случай обмена товаров. В стандартной модели обмен товаров принято задавать прямой линией, что соответствует идее линейного (пропорционального) обмена. Рисунок 8.1 иллюстрирует случай, когда некая страна, обладая количеством b товара В, желает обменивать его на некоторое количество а товара А. «Условия торговли», т.е. соотношение обмена товара В на товар А, задаются прямой аЪ (линией обмена товаров).

Рис. 8.1. Простейший случай обмена товаров
Другими словами, обмен задается одним и тем же коэффициентом пропорциональности (£ = tga). Функция предпочтения между товарами А и В как обычно выражена графически кривыми безразличия, позволяющими точно оценить степень предпочтительности того или иного набора благ (товаров А и В), а также определить по этому признаку различные комбинации двух товаров. При анализе влияния международной торговли на общественное благосостояние используют кривые безразличия, отражающие вкусы и предпочтения страны в целом, или так называемые общественные кривые безразличия. При переходе от индивидуальных кривых безразличия к общественным делается необходимое предположение о том, что каждый потребитель имеет одни и те же вкусы и предпочтения и наделен одними и теми же факторами производства.
Кривые безразличия С0, ГУ,, U2 на рис. 8.1 показывают, каким количеством единиц одного товара общество готово пожертвовать, чтобы получить дополнительную единицу другого товара и при том чтобы благосостояние общества оставалось на прежнем уровне. Иными словами, предельный уровень замещения характеризуют совокупный спрос.
Карта кривых безразличия, отражающих предпочтение товара В товару А, и пучок линий обмена, выражающих улучшение условий торговли, позволяют найти множество новых точек максимальной удовлетворенности. Данные точки образуют кривую спроса (рис. 8.2).

Рис. 8.2. Кривая спроса
Имея карту кривых безразличия, а также линию обмена, можно найти и проанализировать различные кривые спроса на обмениваемые товары, получающиеся соединением точек касания. Очевидно, что изменение количества экспортируемых и импортируемых товаров в ответ на изменение в условиях торговли зависит от формы кривых безразличия.
Производство или перераспределение. Прямые линии обмена товаров при условии неизменности вмененных издержек, отражающих упущенные возможности, могут использоваться и для иллюстрации распределения данного объема производительных сил страны между альтернативными отраслями промышленности А и В. Наклон линии обмена отражает возможные варианты перевода производительных сил из одной отрасли производства (например, из отрасли В) в другую (например, в отрасльЛ).
В условиях отсутствия торговли страна должна найти такое сочетание внутреннего производства двух товаров, которое бы максимизировало благосостояние общества. Такое наилучшее сочетание обеспечивается точкой касания границы производственных возможностей с одной из кривых безразличия.
На практике же стране приходится жертвовать все большим количеством единиц одного товара, чтобы обеспечить производство каждой дополнительной единицы другого товара, т.е., как правило, мы сталкиваемся с возрастанием издержек замещения одного товара другим. Кривая производственных комбинаций поэтому представляет собой выпуклую вверх линию (рис. 8.3). Кривая производственных комбинаций иногда называется линией предельного уровня трансформации и задает совокупное предложение.

Рис. 8.3. Линии производственных комбинаций
Точка касания линии производства и соответствующей кривой безразличия задает набор, максимизирующий полезность от производства товаров А и В и, следовательно, оптимизирующий распределение производственных ресурсов. Эта точка (точка Р) связана с оптимальной переориентацией страны с производства одного товара на другой и называется точкой специального равновесия.
Сдвиг границы производственных возможностей (ЛП, ЛП;) приводит к установлению нового равновесия в некой точке — точке касания линии производственных возможностей с общественной кривой безразличия более высокого порядка, что обеспечит более высокий уровень благосостояния общества и, следовательно, более высокую полезность (точка Pt). При этом в стране одного товара производится больше, чем другого.
Таким образом, до вступления одной страны в торговые отношения с другой баланс устанавливается путем взаимодействия между спросом и предложением. В точке касания достигается максимальное удовлетворение потребностей страны — страна потребляет максимальное количество производимых ею же двух товаров.
Торговля и производство. Возможность выбора между производством и обменом, позволяющую достигнуть более высокий уровень удовлетворенности набором товаров и В, можно проиллюстрировать на рис. 8.4.


Рис. 8.5. Ситуация самообеспечения
Возможна ситуация, при которой кривая предельного уровня трансформации страны имеет более крутую форму, что свидетельствует о производстве относительно незначительного количества товара В и большого количество товара А, часть которого может быть обменена на товар В из другой страны, а оставшаяся часть использована для внутреннего потребления.
Рисунок 8.6 иллюстрирует ситуацию, при которой страна производит nK(tnf) товара 5, при этом дополнительно количество/Р2 того же товара обменивается в соответствии с линией обмена на nm(Kf) товара А. В результате совокупный объем товара В, полученный страной, превысит возможный объем выпуска при переориентации производства. Форма кривой

Рис. 8.4. Выбор между производством и обменом товаров
В ситуации автаркии (обособленности) равновесие устанавливается в так называемой точке национального равновесия — Kt, При вступлении страны в торговые отношения производство из этой точки по границе производственных возможностей сдвигается в другую точку Рх — точку касания кривой предельного уровня замещения и линии обмена.
В результате международной торговли обе страны получают возможность выйти на такой уровень потребления, который был недостижим для них в условиях автаркии. Так, в точке Р1 страна В переходит на более высокий уровень удовлетворения спроса, чем в точке Р.
Любые изменения в условиях торговли отразятся на соотношении экспорта и импорта страны, а также на количестве произведенного и обмениваемого товара. На графике это выразится в смещении точки К вправо либо влево.
В случае совпадения точек касания необходимость в торговле отсутствует, а потому страна, по всей видимости, прекратит свои внешнеторговые операции и перейдет на самообеспечение (рис. 8.5).
Рис. 8.6. Производство и обмен товара в предельного уровня замещения свидетельствует о том, что в данной стране отдается предпочтение товару В и, следовательно, в новой точке равновесия Р2 достигается больший уровень удовлетворенности набором благ А и В, Отрезок та соответствует количеству товара Л, который остается внутри страны после достижения новой точки равновесия.
Таким образом, второй стране выгодно экспортировать товар Л и импортировать товар В, тогда как первой — наоборот.
В результате международной торговли обе страны получают возможность выйти на такой уровень потребления, который был недостижим для них в условиях автаркии.
Торговля и производство двух стран с одинаковыми предпочтениями. Графическая интерпретация торговых отношений между двумя странами представлена на рис. 8.7, который получается при совмещении рис. 8.4 и рис. 8.6 в одной системе координат. В этом случае данными выступают кривые предельного уровня замещения (спрос) без ярко выраженных предпочтений и кривые предельного уровня трансформации (предложение).

Рис. 8.7. Совмещение рис. 8.4 и 8.6
При рассмотрении торговли между двумя странами с разными производственными возможностями необходимо определить условия торговли так, чтобы повысить полезность от производства и обмена товаров для обеих стран. Следует заметить, что баланс в условиях торговли, обеспечивающий международное равновесие, выводится методом подбора, исходя из следующих двух предпосылок:
в силу того, что обе страны действуют в одинаковых условиях торговли, линии обмена должны быть параллельны;
в сбалансированной экономике экспорт одной страны равняется импорту другой и наоборот.
Торговля и производство двух стран с одинаковыми производственными возможностями. В случае, когда производственные возможности двух стран абсолютно одинаковые, возникает вопрос о целесообразности развития торговых отношений. Чтобы ответить на этот вопрос, необходимо проанализировать спрос, который основывается на вкусах и предпочтениях потребителей и не может полностью совпадать в двух странах.
Странам с одинаковыми производственными возможностями также выгодно вступать в торговые отношения друг с другом, которые в данном случае строятся на различном спросе потребителей. В итоге страны получают большее количество предпочитаемого товара, нежели при полной переориентации на его производство.
Резюмируя основные положения стандартной модели международной торговли, необходимо отметить следующее:
-— предложение характеризуется предельным уровнем трансформации, а спрос — предельным уровнем замещения;
баланс объемов производства рассмотренных товаров до вступления стран в торговые отношения друг с другом устанавливается путем взаимодействия между линией производственных комбинаций и кривой безразличия;
баланс в условиях торговли находится подбором;
— международная торговля позволяет странам достигнуть более высокого уровня потребления товаров, который был недостижим в условиях самообеспеченности и, следовательно, достигнуть более высокого уровня удовлетворенного спроса, что и объясняет причину вступления стран в торговые отношения;
— каждая из стран от международной торговли выигрывает ровно столько, сколько она получает в результате перехода на более высокую кривую безразличия.
Международное равновесие. Модель международного равновесия является развитием стандартной модели международной торговли. Она основывается на теории взаимного спроса — показателе, объединяющем спрос и предложение и показывающем, какое количество импортного товара требуется стране, чтобы побудить ее экспортировать различные количества другого товара.
Кривые взаимного спроса показывают точное соотношение между парой экспортного и импортного товаров, которое возникает в результате торговли. Объем международной торговли представляет собой разность между внутренним производством товара и его потреблением. Когда производство больше потребления, страна экспортирует, когда меньше — импортирует. Следовательно, если QlwQ2 — объемы производства (предложение) товаров А и В, a D, и D2 — потребление (спрос) товаров А и В, то (Ql - D,) — экспорт товара А, а (£>2 - Qt ) — импорт товара В.
Поскольку теория международной торговли использует понятие относительной цены, то в условиях общего равновесия импорт товара В должен быть равен экспорту товара А, умноженному на его относительную цену:
D1-Q2 = (Qx-Dl)Pi:Pr (8.1)
Международное равновесие — одновременное уравновешивание спроса и предложения на товар во внутренней и международной торговле (на внутреннем и мировом рынке) (рис. 8.8).

Рис. 8.8. Международное равновесие
Модель общего равновесия в международной торговле позволяет изучить все основные параметры международной торговли и связанные с ней параметры национальной экономики. Она показывает условия производства (предложения) и предпочтения потребителей (спроса), а также размеры производства и потребления и относительные товарные цены в условиях отсутствия торговли, как и относительное преимущество каждой из стран. В условиях торговли модель показывает уровень специализации стран на производстве каждого товара, физический объем торговли, условия торговли, выигрыш от торговли и его распределение между странами. Общее международное равновесие достигается тогда, когда одновременно урав-новешиваются спрос и предложение на товар во внутренней и между народной торговле.
8.2. Гравитационные модели
Для моделирования товарных потоков между парами стран построень специальные эконометрические модели, получившие название грави тационных. Каждая модель представляет собой функцию, связываюшук товарный поток с несколькими факторами: социально-политическими экономическими, географическими. Гравитационные модели определяют зависимость однонаправленного внешнеторгового потока от параметра внутриэкономического состояния как страны-экспортера, так и страны импортера.
В основе названия гравитационных моделей лежит известная и: физики формула притяжения. Впервые в экономических процессах эта фор мула была применена для описания зависимости между продавцом в го роде и покупателем, живущим за городом, исходя из предпосылки, что и> «притягивает» друг к другу:
(8.2)

где Л/, — показатель «притягивания» (например, число поездок); Pi — численность населения в городе; J — расстояние от клиента до центра.
В общем случае гравитационная модель экспорта представляет собой экономическую функцию, связывающую товарный поток из страны или региона / в страну или региону с различными факторами, в том числе с издержками по продвижению потока из / в:
(8.3)

где Е\- — экспорт из страны (региона) / в страну (регион)у;
2\ — внутренние факторы страны /, определяющие экспортное
предложение; Z' — внутренние факторы страны у, определяющие импортный спрос;
Щ — фактор интенсивности товарного потока из i в у, определяемый географическим положением торгующих стран и особенностями
транспортировки (вид транспорта, расстояние и т.п.).
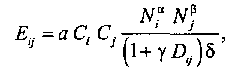
Одна из первых моделей экспорта была предложена известным голландским экономистом Я. Тинбергеном. Зависимость интенсивности товарного потока от расстояния между торгующими странами и обусловленность импорта страны величинами их валового национального продукта (ВНП) задается формулой

(8.4)
где £, — экспорт из страны / в странуу;
а— константа;
Y— ВНП страны /;
Y—ВНП страны У;
D — расстояние между странами i ну;
а,— эластичность экспорта от ВНП страны-экспортера;
а,— эластичность экспорта от ВНП страны-импортера;
а3— эластичность экспорта от расстояния между / иу.
Другая модель экспорта выражает зависимость величины меж-странового товарного потока от национального дохода стран-экспортеров и стран-импортеров, расстояния между ними, величины транспортных тарифов и др.:
Еще одна модель импорта была разработана для известного проекта международной торговли ЛИНК (о нем см. ниже):

(8.7)
где М —объем валового импорта в текущих ценах;
i — индекс импортных цен; q — отношение индексов цен внутреннего рынка к отношению
индексов импортных цен; W — показатель «экономической активности»:

(8.8)
где S, — автономные расходы, определяемые по формуле

(8.9)

(8.10)
где Et. — экспорт из / в у;
а — константа; С,. — параметр экспорта /; Cj — параметр импортау; Nt, N — национальный доход соответственно стран i иу; D . — расстояние между странами i иу;
а — параметр эластичности экспорта от дохода;
Р — параметр эластичности импорта от дохода;
у — коэффициент транспортных расходов на одну морскую милю;
S — «параметр изоляции».
Примером-модели импорта может служить модель, разработанная для национальной экономики США:

(8.6)
где М: — импорт товара /;
Х: — емкость внутреннего рынка по этому товару; Рт — импортная цена; Р3_ — цена внутреннего потребления; Tt — импортная пошлина; Vt — ошибка расчетов; Pi, j32, Pj — коэффициенты эластичности.
где G, —государственные расходы;
— валовые инвестиции в основной капитал; £, — экспорт.
Гравитационные модели международной торговли продолжают свое развитие и в настоящее время. В своем исследовании, посвященном роли ВТО в международной торговле, профессор школы бизнеса Хаас Калифорнийского университета Э. Роуз использовал стандартную гравитационную модель двусторонней торговли. На основе статистических данных за период 1948—1999 гг. для 178 страной приходит к выводу, что эффект от членства в ГАТТ-ВТО экономически несуществен, часто негативен и находится в пределах статистической ошибки. Используя более 60 индикаторов степени либерализации торговой политики (например, соотношение объема импорта к ВВП, уровни тарифной и нетарифной защиты), Роуз исследует данные о торговле 168 стран за период с 1950-го по 1998 г. и не находит существенной зависимости между степенью свободы торговой политики и членством в ВТО.
8.3. Глобальная модель международной торговли — проект ЛИНК
Проект ЛИНК представляет собой глобальную модель международной торговли, разработанную в 1968 г. Уортонской ассоциацией экономических прогнозов (WEFA) под руководством лауреата Нобелевской премии Л. Клейна для оказания консультативной помощи Государственному департаменту США в выборе эффективных мероприятий во внутренней и внешней политике. Проект замышлялся для того, чтобы интегрировать статистические модели разных стран, в том числе стран третьего
мира


При этом векторы-столбцы экспорта и импорта обозначены через
а цены экспорта и импорта — через РЕ и Рм соответ-
и социалистических государств, в единую общую систему с целью улучшения понимания международных экономических связей и прогнозирования в области мировой торговли.
Моделирование международной торговли с использованием проекта ЛИНК базируется на идее объединения национальных регионально-страновых эконометрических макромоделей на основе общей методики с целью проведения расчетных процедур для вычисления показателей международной торговли. Такой подход позволяет объединять автономно рассчитанные страновые и региональные эконометрическис модели с широким спектром параметров при условии использования в них одной централизованно выработанной методики проведения расчетов.
При построении модели ЛИНК используются показатели экспортных цен, импорта и прочих факторов, определяющих особенности уровня социально-экономического развития каждой страны. Необходимо отметить, что эта модель учитывает только международную торговлю товарами, однако показатели экспорта и импорта услуг при наличии статистических данных могут быть отражены в моделях отдельных стран.
В проект ЛИНК вошли модели промышленно развитых стран, а также развивающихся регионов (Южной Америки, Юго-Восточной Азии, Ближнего Востока и Африки) и группы стран с переходной экономикой.
Расчеты в проекте ЛИНК проводятся в разрезе четырех товарных групп:
— продукты питания, напитки, табачные изделия;
— сырье и материалы;
— топливо;
— готовые изделия, полученные в результате укрупнения 10 позиций Международной стандартной торговой классификации (МСТК).
С помощью проекта ЛИНК были проимитированы последствия энергетического кризиса 1973 — 1974 гг., «новой экономической политики» Р. Никсона, а также возможных вариантов налоговой политики администрации Дж. Картера для экономики США и ряда других стран. В частности, «постлинковые» результаты расчетов по последнему сценарию показали, что снижение налогов в США, передавшись по цепи межстрановых экономических взаимодействий, обнаруживает наибольшее воздействие на улучшение платежного баланса Франции.
Методическим каркасом проекта является матрица мировой торговли (сводного баланса международной торговли) (табл. 8.1), которая отражает движение товарного потока из страны (региона) / в страну (регион)/имеет вид X - Хг :
ственно. Тогда матрица коэффициентов удельной торговли, полученная путем деления соответствующих элементов таблицы на импорт страныу, записывается следующим образом:
(8.10)

где

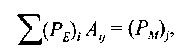
Соотношение между экспортом и импортом в матричной форме задается как
(8.П)

Сумма по столбцу матрицы А равна единице, следовательно, в данной модели мировой торговли имеет место тождество:
(8.12)

Другими словами, мировой экспорт равен мировому импорту. Однако необходимо отмстить, что ошибка этого тождества может составлять около 1 млрд дол. из-за различия в оценках стран ввиду возникновения статистических ошибок, ошибок в определении таможенных режимов и т.п.

Используя равенство (8.11) и сопоставив предыдущие равенства, выводим
Уравнение, связанное с предыдущим и демонстрирующее равенство номинальной стоимости экспорта и импорта в одних денежных единицах, выводится так. Из равенства (8.12) получаем

(8.14)

откуда
где j-,...,n.
Окончательно
(8.15)


В результате
(8.16)
представляет собой известную систему ЛИНК и является инструментом для превращения экспортных и импортных цен в эндогенные переменные. Строки матрицы А в равенстве (8.11) выступают в роли корректирующих величин при сопоставлении объемов национального импорта с экспортом. Столбцы матрицы А в тождестве (8.15) —- веса при сопоставлении национальных экспортных цен и превращении их в импортные как средневзвешенные. Алгоритм проекта ЛИНК реализуется следующим образом.
На первом этапе задаются обоснованные значения экспорта и импортных цен, которые поступают в систему уравнений национальной модели; таким образом рассчитываются значения импорта и экспортных цен.
Затем полученные значения вводятся в систему уравнений ЛИНК и по ним определяются новые значения экспорта и импортных цен, которые сравниваются с заданными ранее, и при наличии расхождений, выходящих за допустимые пределы, процесс повторяется до обеспечения сходимости. Мировая торговля при этом трактуется как сумма мирового
импорта.
Проект ЛИНК ставил своей целью определение областей приложения усилий Соединенных Штатов по балансированию внешнеторговой политики исходя из условий сбалансированности мировой торговли (равенство глобального экспорта и импорта), что достигается с помощью определенного алгоритма коррекции.
Несмотря на то что система ЛИНК была разработана для того, чтобы служить инструментом прогнозирования в мировом масштабе, она не оправдала себя в этом качестве. Так, построение системы на основе краткосрочных и среднесрочных национальных и региональных экономических моделей препятствует ее использованию при составлении долгосрочных прогнозов. Между тем, большинство глобальных проблем носит долгосрочный характер. Кроме того, система даст неточные результаты даже при краткосрочном прогнозировании цен — ключевом показателе системы. Наконец, она ориентирована на нужды ведущих развитых стран, хотя важнейшая часть глобальных экономических проблем связана с поиском путей ликвидации отсталости развивающихся стран.
С методической точки зрения автономные страновые компоненты проекта ЛИНК, а также способ их увязки в единую систему представляют несомненный интерес.
Проект ЛИНК известен наиболее широко, но это только одна из моделей подобного рода. Государственными агентствами во всем мире были разработаны несколько подобных моделей: ЕРРА — мировая эконометри-ческая модель, созданная Японским агентством экономического планирования; EEC — модель Европейской экономической комиссии; MINIMOD — сравнительно небольшая модель МВФ. Кроме того, широкомасштабные модели были разработаны частными фирмами, занимающимися экономическими консультациями, например DRI — модель объединенных данных о ресурсах.
8.4. Анализ структуры мировой экономики методом «затраты — выпуск»
Метод экономического анализа, получивший название «затраты — выпуск», был разработан американским ученым русского происхождения В. Леонтьевым. За это он был удостоен Нобелевской премии по экономике в 1973 г. Этот метод часто характеризуют как попытку использовать модель общего равновесия для эмпирического исследования процесса производства. Действительно, В. Леонтьев сделал попытку применить экономическую теорию общего равновесия к эмпирическому изучению взаимозависимости между различными отраслями народного хозяйства, проявляющейся в ковариации цен, объемов производства, капиталовложений и доходов.
Для исследователей немаловажным является возможность изучения с помощью метода «затраты — выпуск» количественных изменений в отраслях после изменений в конечном спросе или в условиях производства какой-либо отдельно взятой отрасли.
В основе модели В. Леонтьева лежат следующие предположения:
в экономической системе производятся, продаются, покупаются, потребляются и инвестируются п продуктов;
каждая отрасль является «чистой», т.е. производит только один продукт, совместное производство различных продуктов исключается. Различные отрасли выпускают разные продукты;
3) под производственным процессом в каждой отрасли понимается преобразование некоторых (возможно, всех) типов продуктов в определенный продукт. При этом соотношение затраченных продуктов и выпускаемого предполагается постоянным.
Таким образом, если для производства единицы у'-го продукта надо затратить atJ единиц /'-го продукта, то выпуск X единицу-го продукта потребует лац единиц /-го продукта.
Иными словами, независимо от масштаба производства удельный выпуск и соотношение затрат предполагаются постоянными.
Пусть xi — валовой выпуск /-го продукта за год. Этот продукт расходуется на производственное потребление во всех отраслях и конечное (непроизводственное) потребление. Величина выпуска /-й отрасли, используемого в качестве ресурса в отрасли у — .v.., а величина ее выпуска, используемого для конечного потребления,— F. Начальный фактор производства — труд — L, а его объем, используемый отраслью;/, — L.. Эти данные приведены в табл. 8.2.

Величины х,., F, могут быть представлены в натуральных или стоимостных единицах измерения, в соответствии с этим различают натуральный или стоимостный межотраслевые балансы.
Используя табл. 8.2, мы можем получить (п + I) уравнение

(8.17)
где (я + I) — первичный производственный ресурс (в данном примере труд), непосредственно используемый в потреблении.
Сущность метода Леонтьева состоит в определении валового выпуска отраслей по заданному экзогенно конечному спросу на основе данных о технологических возможностях, воплощенных в расходных коэффициентах ai. По этим же уравнениям может быть решена и обратная задача: по заданным валовым выпускам определяются объемы конечного спроса F. на каждый продукт.
Леонтьев отмечал, что мировая экономика, как экономика отдельной страны, может быть представлена как система взаимозависимых процессов, состояние которых может быть описано в форме двойной таблицы «затраты — выпуск», характеризующей потоки товаров и услуг, имеющие место между различными отраслями и структурными единицами. Такой подход был им использован при проведении глобального исследования под эгидой ООН проблем ускоренного развития и борьбы с безработицей с целью выявления перспективных направлений в развитии мировой экономики и охраны окружающей среды.
Исследования основывались на предположениях, что мировая экономика состоит из двух регионов: развитые и развивающиеся, и что экономика каждого региона делится на три производственных сектора: добывающих отраслей, производящих сырье; поставляющих обычные товары и услуги; перерабатывающих загрязняющие вещества.
Исходя из проделанного анализа по 28 группам стран и почти 45 производственным секторам для каждой группы, Леонтьев дал общую характеристику всемирному хозяйству, сводящуюся к двум таблицам, построенным по схеме «затраты — выпуск». При этом конечное потребление разделено на два потока: потребление на внешнем и внутреннем рынке.
Условия охраны окружающей среды описывались для 30 основных загрязняющих веществ; использование несельскохозяйственных природных ресурсов — для почти 40 различных минералов и видов топлива.
Обе таблицы «затраты — выпуск» описывают межсекторные потоки товаров и услуг в экономике развитых и развивающихся стран. Поток природных ресурсов из развивающихся в развитые страны, а также противоположный ему поток промышленных товаров из развитых в развивающиеся страны характеризует процессы экспорта (со знаком плюс) и импорта (со знаком минус). Последний столбец таблиц характеризует внутренний валовой продукт и объем загрязняющих веществ.
Положительные величины в третьей строке («загрязнение окружающей среды») характеризуют объем загрязняющих веществ (в натуральном выражении), вырабатываемых отраслью производства, указанной в соответствующем столбце. Отрицательная величина на пересечении третьего столбца и третьей строки характеризует объем загрязняющего вещества, прошедшего переработку. Такие ресурсы, как энергия, химикаты и т.д., приобретаемые отраслью, перерабатывающей загрязняющие вещества, в других отраслях и добавленная стоимость, выплаченная ею, включены как положительные величины в этот же третий столбец. Разница между общим объемом загрязняющих веществ, произведенных всеми отраслями, и объемом очищенных загрязняющих веществ составляет нетто-выброс. Его величина указана в третьей строке последнего столбца. В двух нижних строках показаны затраты труда в каждой отрасли производства и выплаты прочим доходополучатслям.
Значения величин, приводимых в табл. 8.3, приблизительные, но их порядок соответствует примерным оценкам межотраслевых потоков внутри каждой из двух групп стран, а также между ними за последние два десятилетия до получения представляемых результатов.

Модель Леонтьева использовалась в 1939 и в 1947 г. для предсказания изменений всеобщей занятости и занятости по секторам в период перехода экономики от мира к воине и обратно. Метод Леонтьева стал главной составной частью систем национальных счетов большинства стран мира, как капиталистических, так и социалистических. Этот метод до сих пор применяется и совершенствуется правительственными и международными организациями и исследовательскими институтами во всем мире.
Леонтьев совершенствовал свою систему на протяжении 50—60-х годов. Чтобы исследовать проблемы экономического роста и развития, он разработал динамический вариант прежде статичной модели анализа «затраты —- выпуск», добавив в нее показатели потребностей в капитале к списку так называемого конечного спроса, или конечных продаж. Поскольку метод «затраты —- выпуск» доказал свою полезность в качестве аналитического инструмента в новой сфере региональной экономики, шахматные балансы начали составляться и для хозяйства некоторых американских городов.
Прогноз развития экономики, основанный на схеме «затраты — выпуск», носит краткосрочный или среднесрочный характер ввиду сложности оценки объема и структуры конечного спроса, а также времени сохранения относительной стабильности технологических коэффициентов затрат (5—10 лет), определяемых «инерцией» экономики. Использование модели Леонтьева позволило определить изменения мировой экономики за 30 лет, начиная с 1970 г., и спрогнозировать три альтернативных гипотетических состояния экономики в 2000 г.
Примером использования межотраслевого баланса в статической форме для прогнозирования экономики одной страны может служить расчет уровней валовых выпусков отраслей экономики ФРГ на 1960 г., сделанный группой советских ученых.
В экспериментальных расчетах были использованы показатели межотраслевого баланса ФРГ 1953 г., первый раздел которого включает 46 отраслей. Он был разработан группой сотрудников Гейдельбергского университета под руководством В. Крслле. Баланс за 1960 г. включает 33 отрасли экономики, причем для сопоставимости показателей двух балансов отраслевая классификация баланса за 1953 г. была агрегирована до 33 отраслей. Такие балансы наиболее удобны для использования их показателей в расчетах прогноза.
Как отмечал Леонтьев, выбор между альтернативными сценариями является ключевым моментом прогнозирования, следовательно, и рационального программирования мировой экономики как неразрывной связи национальных экономик. В целом анализ по методу «затраты — выпуск» признан классическим инструментом в экономике.
Применение математических методов моделирования новейших тенденций развития мировой экономики позволяет раскрыть основные проблемы развития международной торговли на современном этапе. Использование этих моделей для анализа деятельности современных транснациональных корпораций (ТНК) как основных участников международного бизнеса в условиях глобализации во многом определяет процесс определения перспективных путей и направлений их функционирования в современной мирохозяйственной системе.
Основные термины и определения
Стандартная модель — модель, которая помогает научиться выбирать оптимально соотношение товаров, обеспечивающее максимальное удовлетворение потребностей, и устанавливать оптимальные цены на товары.
Гравитационные модели — модели, которые позволяют устанавливать оптимальные значения экспорта и импорта, учитывая такие показатели, как уровень национального дохода стран, инвестиции в основной капитал, величины транспортных тарифов, факторы торговых преференций.
Проект ЛИНК — глобальная модель международной торговли, разработанная для использования транснациональными корпорациями с целью выбора рычагов влияния (давления) на экономику развивающихся стран и нахождения оптимальных путей экспансии на зарубежные рынки товаров и услуг.
Модель «затраты — выпуск» Леонтьева — модель, которая на основе оценки исследования отдельных отраслей позволяет анализировать экономический рост и прогнозировать развитие мировой экономики в целом.
Вопросы для самоконтроля
В чем заключастся смысл международного равновесия в стандартной модели международной торговли?
Как гравитационные модели используются для исследования современных тенденций развития международной торговли?
На чем базируется использование проекта ЛИНК для моделирования мировой экономики?
Какова основная цель глобального проекта ЛИНК?
В чем состоит специфика прогноза развития мировой экономики, основанного на схеме «затраты — выпуск»?
Литература
Атурин В.В. Математическое моделирование экономических процессов. М., 2004.
Киреев А.П. Международная экономика. М.: Международные отношения, 1998.
Клейн Л. Проект ЛИНК//Экономика и математические методы. 1977. Вып. 3.
Леонтьев В. Экономические эссе/Пер. с англ. М.: Политиздат, 1990.
Линдерт П.Х. Экономика мирохозяйственных связей/Пер. с англ. М.: Прогресс, 1992.
Dieckheuer G. Makrookonomik. Springer-Vcrlag Berlin Heidelberg, 1993.
