«Площади»
| Вид материала | Документы |
- ТемЫ рефератов по мерчендайзингу, 204.9kb.
- Разработка урока по теме «Понятие площади многоугольника», 32.86kb.
- Механика Жидкостей и Газов, 12.81kb.
- Блиц (матан и триг.) блиц (геометрия) Вопросы по планиметрии, 56.04kb.
- Лабораторная работа №1 Тема: «Разработка простейших программ линейных структур», 169.83kb.
- Городские тематические экскурсии, 85.03kb.
- Урок-сказка по теме "Площади и объемы". 5-й класс, 87.63kb.
- Урок геометрии в 8 классе по теме «Площади многоугольников», 52.25kb.
- Об изучении площади в начальной и средней школе, 56.34kb.
- Доклад заместителя министра лесного хозяйства, 82.14kb.
Как решать задачи по планиметрииссылка скрыта Статья отнесена к разделу: ссылка скрыта ![]() Треугольник.
Сумма углов треугольника - 180° АС + ВС > АВ-наибольшая сторона, меньше суммы двух других. АВ - АС < ВС-наименьшая сторона, больше разности двух других. Sтр = 1/2 BC·AH = 1/2 AB·AC·Sin A = ![]()
Свойства биссектрисы
Свойства медиан
В прямоугольном треугольнике- катет, лежащий против угла в 30, равен половине гипотензы: ВА=2СА;- центр описанной окружности лежит на середине гипотенузы: АО=ОВ. - площадь равна полупроизведению катетов. - h2 = BH·HA Треугольник и окружность ![]() ![]() ![]() Четырёхугольники
Трапеция
S = 1/2 (a + b)·h = MN·h Окружность и круг ![]() OD - a - радиус, проведённый в точку касания перпендикулярен касательной. ![]() ![]() ![]() Треугольник.
Комментарий: Тип задач, когда по изготовлению чертежа по условию, вводится вспомогательная величина. Затем с помощью формул и приёма выражения одной величины из двух разных фигур составляется алгебраическое уравнение. Отличается их решение широким спектром алгебраических преобразований. Предлагаем решение данных задач. Задача 1. ![]() Решение: Составим уравнение, используя формулу площади треугольника через полупроизведение основания на высоту: 1/2 ВС·АК = 1/2АС·ВМ. Обе части уравнения сократим на 1/2, введём данные по условию задачи и неизвестную величину, обозначенную через х. , - уравнение иррациональное с одним неизвестным, которое и позволит найти х = ВС, а затем и площадь треугольника АВС.3) Предварительно возведём обе части уравнения в квадрат. После алгебраических преобразований, выразим x2*h2=b2(x2-b2/4); b2*x2-x2h2-(b2)2/4=0; x2(b2-h2)=(b2)2/4 ![]() 4) Площадь треугольника АВС: S = 1/2 BC·AK, ![]() Задача 2. А К - биссектриса, пусть равна m.Свойства биссектрисы, кроме того, что она с делит угол пополам и точки её на равном расстоянии от сторон угла, - делит m противоположную сторону на отрезки пропорциональные прилежащим сторонам треугольника. Теорема “труженица” - ВК/АВ = КС/АС (1) Здесь необходимо найти биссектрису, через которую вместе с данными из условия задачи, используя теорему косинусов, легко выражаются отрезки ВК и КС: Из АВК ВК2 = с2 + m2 - 2 cm cos /2 Из АКС КС2 = b2 + m2 - 2 bm cos /2.Коль имеем дело с квадратами выражений, для упрощения преобразований, возводим обе части (1) в квадрат ![]() и выполним подстановку: ![]() Выполним деление: ![]() Переносим всё в одну часть: ![]() Полученное выражение можно записать в следующем виде: m?(1/c - 1/b)(1/c + 1/b) - 2 m cos1/2(1/c -1/b) = 0, где присутствует общий множитель m·(1/c - 1/b). Вынесем его: m·(1/c - 1/b) (m (1/c +1/b) - 2 cos /2) = 0 - произведение равно 0, то:
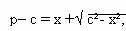
Задача 3. ![]() Уравнение по условию задачи, где дан периметр: ![]() возведём обе части уравнения в квадрат: ![]() . Вот здесь будьте внимательными! Чтобы не уйти в длинное решение! Заметив, что полупроизведение катетов даёт площадь данного прямоугольного треугольника, в виде сразу даём ответ, не находя неизвестное.![]() Ответ: 1/2 (p2 - 2pс) Задача 4. ![]() Из данных условия задачи, очевидно, надо использовать формулу площади треугольника: полупроизведение основания на высоту треугольника АВС. Следует провести высоту треугольника АВС к основанию АС. Для решения задачи, конечно же, выгодна высота ВH, т.к. она связана с основаниями всех трёх треугольников: АВС, МВК, МРК. Введём вспомогательные неизвестные величины: Пусть: BH = h; AC = a - в треугольнике АВС и BT = h'; MK = a' - в треугольнике МВК. При этом TH = h - h' - является высотой треугольника МРК. По условию задачи: S ABC = 1/2ah = S (1)S MBK 1/2a' h' = S' (2)Отсюда: S MPK =1/2a' (h - h' ) =1/2 a'h - 1/2 a'h' = 1/2 a' h - S'; S MPK = 1/2 a' h - S' (3)Треугольники АВС и МВК - подобные, коль МК АС - по условию задачи.Значит: АС/МК=BH/BT, т.е. a/a' = h/h', ah' = a'h -по свойству пропорции. А вот здесь, полезно обратить внимание на равенство полученных произведений и проявить смекалку! Задайте себе вопрос: Где взять это произведение? Перемножив почленно, записанные уравнения (1) и (2), получим: 1/4 ah·a'h' = S·S' , где ah' заменим на a'h: 1/4 a'h·a'h = SS' и (a'h)2 = 4 SS' Значит: a' h = , что подставим в выражение (3) площади треугольника МРК и получим: S MPK = ? · ' - S'; S MPK = - S' Отсюда площадь искомого четырёхугольника РМВС: - S' + S' = Ответ: ![]() |













прямоугольном треугольнике
катет, лежащий против угла в 30, равен половине гипотензы: ВА=2СА;













А=a. Найти длину биссектрисы угла А.


, - уравнение иррациональное с одним неизвестным, которое и позволит найти х = ВС, а затем и площадь треугольника АВС.

К - биссектриса, пусть равна m.
АВК ВК2 = с2 + m2 - 2 cm cos
/2 



0, (b - c)/ (bc) = 0



возведём обе части уравнения в квадрат
. Вот здесь будьте внимательными! Чтобы не уйти в длинное решение!
сразу даём ответ, не находя неизвестное.

, что подставим в выражение (3) площади треугольника МРК и получим:
- S'