Разработка алгоритмов пелеменной оценки крупного рогатого скота
| Вид материала | Автореферат |
- Программа развития сельского хозяйства и регулирования рынков сельскохозяйственной, 16.63kb.
- Откорм крупного рогатого скота, 305.74kb.
- Комплексная Программа нпо нарвак по диагностике, профилактике и лечению инфекционных, 72.94kb.
- Доклад на коллегии Управления ветеринарии по теме: «Эпизоотическое состояние Ульяновской, 67.74kb.
- Ветеринарно-санитарные правила по профилактике и ликвидации хламидиоза крупного рогатого, 202.68kb.
- Критерии оценки эпизоотической ситуации и прогнозирование заболеваемости крупного рогатого, 359.75kb.
- современного фермерского хозяйства, на базе существующего крестьянского хозяйства,, 72.62kb.
- 2688-03 «Экспресс-метод оценки токсичности проб воздуха по водорастворимым компонентам, 1630.05kb.
- «Коксиеллез-ассоциированная инфекция крупного рогатого скота и усовершенствование лабораторных, 460.33kb.
- Использования ежегодно, в течение всего года, проводится бонитировка племенного крупного, 79.65kb.
На правах рукописи
САДИКОВ РИФАТ ЗАЙНИДИНОВИЧ
РАЗРАБОТКА АЛГОРИТМОВ ПЕЛЕМЕННОЙ
ОЦЕНКИ КРУПНОГО РОГАТОГО СКОТА
Специальность 06.02.01 – разведение, селекция, генетика
и воспроизводство сельскохозяйственных животных
АВТОРЕФЕРАТ
диссертации на соискание ученой степени
кандидата сельскохозяйственных наук
Нальчик – 2007
Работа выполнена на кафедре технологии производства продуктов животноводства ФГОУ ВПО «Кабардино-Балкарская государственная
сельскохозяйственная академия им В.М. Кокова»
Научный руководитель: доктор сельскохозяйственных наук,
профессор Гукежев Владимир Мицахович
Официальные оппоненты: доктор биологических наук,
профессор Гетоков Олег Олиевич
кандидат сельскохозяйственных наук,
Емкужев Мухадин Сефович
Ведущая организация: ФГОУ ВПО «Горский государственный
аграрный университет»
Защита диссертации состоится «29»декабря 2007 года в 12.00 часов на заседании диссертационного совета Д 220.033.02 при ФГОУ ВПО «Кабардино-Балкарская государственная сельскохозяйственная академия им. В.М. Кокова» 360004, КБР, г.Нальчик, ул.Тарчокова, 1-а, ауд. 308.
С диссертацией можно ознакомиться в научной библиотеке ФГОУ ВПО «Кабардино-Балкарская государственная сельскохозяйственная академия».
Автореферат разослан «28 »ноября 2007
Ученый секретарь
диссертационного совета,
доцент Кожоков М.К.
1. Общая характеристика работы
Актуальность. Переход к рыночной экономике остро ставит вопрос конкурентоспособности отечественных пород крупного рогатого скота. Порода, как основное средство производства, в значительной степени определяет экономическую эффективность отрасли. Следует отметить, что на этом фоне существующая методология отбора, подбора и племенной оценки животных значительно устарела, не отвечают возросшим требованиям. Стандарты пород в условиях рынка не позволяют вести отрасль рентабельно, то есть не стимулируют дальнейшее качественное совершенствование стада. Парадоксально, но в соответствии с существующей инструкцией, потомство, полученное в результате использования генофонда лучших пород мира, считается помесями первого поколения. При комплексной оценке животных практически не учитываются воспроизводительные качества производителей и маток.
За последние годы, в мировой практике племенного скотоводства накоплен значительный опыт по оценке племенных и продуктивных качеств животных, обобщение и рациональное использование которых подтверждает необходимость пересмотра существующих положений по оценке племенных качеств животных. В связи с этим совершенствование существующих методологических подходов, разработка новых требований, стимулирующих систематическое совершенствование стад и пород животных, является достаточно актуальным вопросом.
Диссертационная работа является составной частью проблемы «Совершенствование племенных и продуктивных качеств плановых пород крупного рогатого скота» КБГСХА, № госрегистрации 01870000218.
Цель и задачи исследований. Цель исследований – обобщение существующих методов оценки крупного рогатого скота и разработка новых методологических подходов отбора и племенной оценки животных. В соответствии с целью в работе поставлены и решены следующие задачи:
– провести анализ и разработать методологические подходы оценки происхождения и племенных качеств животных;
– связь определить экстерьера, живой массы, морфологических и функциональных свойств вымени, с продуктивностью;
- изучить влияние воспроизводительных качеств на продуктивность и племенную ценность коров;
– разработать алгоритм оценки воспроизводительных качеств животных;
– разработать алгоритмы оценки крупного рогатого скота по экстерьеру и продуктивности;
– усовершенствовать методологию комплексной оценки коров при бонитировке и быков по качеству потомства;
– определить экономическую эффективность совершенствования методов племенной оценки.
Научная новизна исследований. Разработана и предложена усовершенствованная методология оценки крупного рогатого скота при бонитировке. Определены взаимосвязь продуктивности с экстерьером, живой массой и функциональными показателями вымени коров - дочерей быков- производителей, разработаны и рассчитаны алгоритмы оценки коров по экстерьеру и конституции, воспроизводительной способности, молочной продуктивности, на основе которых выводится общая оценка животных.
Практическая значимость работы. Результаты исследования могут быть использованы при разработке новой инструкции по бонитировке крупного рогатого скота, оценке быков производителей по качеству потомства, разработке долгосрочных программ селекции, определения племенной ценности животных в племенных и товарных стадах.
Апробация работы. Основные результаты работы доложены на научно - производственных – конференциях и ежегодных отчетах аспирантов КБГСХА (2003,2004,2005 г.г.), Ставропольского НИИЖК (2006), КЧГТА (2006), а так же в хозяйстве, где проводилась работа.
Основные положения диссертации, выносимые на защиту:
– соответствие существующей методологии племенной оценки крупного рогатого скота современным требованиям;
– роль и значимость происхождения при племенной оценки животных;
– значимость экстерьерной оценки, морфофункциональных свойств вымени и их связь с продуктивностью животных;
– молочная продуктивность и интенсивность использования коров – первотелок;
– обоснование необходимости оценки воспроизводительных качеств крупного рогатого скота;
– принципы совершенствования методологии оценки крупного рогатого скота и ее селекционное и экономическое значение.
Публикация результатов исследований. По материалам диссертации опубликовано 5 научных работ, в т.ч. 1 в центральном издании, в которых в достаточной степени отражены основные положения диссертации.
Структура и объем работы. Диссертационная работа состоит из введения, обзора литературы, материала и методики исследований, результатов собственных исследований, выводов, предложений производству, списка использованной литературы, включающего в себя источников, в том числе иностранных. Работа изложена на страницах машинописного текста, содержит таблиц, рисунков, приложений.
2. Материал и методика исследований
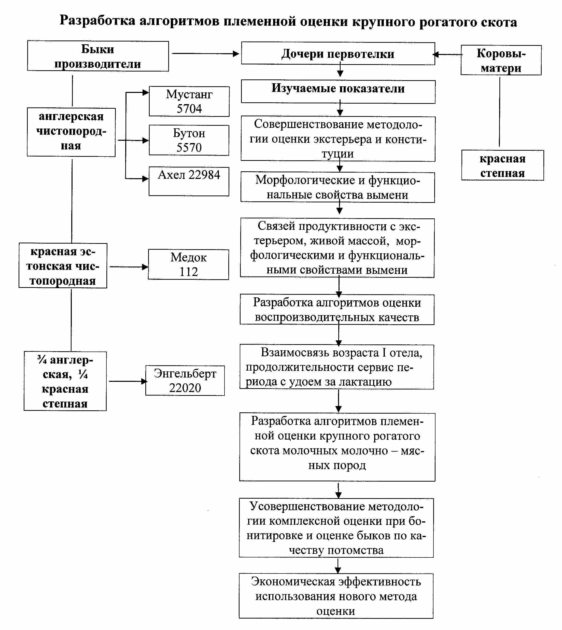
Экспериментальная работа проведена на базе молочного комплекса ЗАО «Риал Комплекс» Прохладненского района КБР в период с 2003 по 2005 г. согласно общей схеме исследований (рис. 1). На период проведе-


Рис. 1 Схема исследований
ния исследований условия кормления и содержания коров обеспечивали средний удой на уровне 3300 – 3600 кг. Доение коров 2- кратное, двухтактными доильными аппаратами в переносные ведра. Нагрузка на одного оператора 50 коров.
Исследования проведены на поголовье 182 коров-первотелок красной степной породы дочерей пяти быков производителей, из которых три Мустанг 5704, Бутон 5570 и Ахел 22984 чистопородные англерской, Медок 112 - чистопородный красной эстонской, Энгельберт 22022 – ¾ англерской и ¼ красной степной пород. Материнское поголовье красной степной породы.
Молочную продуктивность коров определяли на основании ежемесячных контрольных доек, с определением содержания жира в молоке. Экстерьер и конституция оценивалась визуально по 10 бальной шкале, а также путем взятия основных промеров (высота в холке, косая длина туловища, обхват, ширина и глубина груди, рост, глубина туловища, длина крестца, ширина таза, ширина в тазобедренных сочленениях, угол копыта, обхват пясти) и вычисления индексов телосложения. Морфофункциональные свойства вымени дочерей быков оценивались на втором – третьем месяцах лактации визуально (форма вымени, форма и расстановка сосков, характер прикрепления к туловищу, наличие дополнительных сосков, равномерность развития четвертей, выраженность боковой борозды, жилезистость, развитие подкожных вен и др.) и путем взятие следующих основных промеров (обхват, длина, ширина вымени, расстояние от дна вымени до пола, длина, диаметр сосков, расстояние между сосками). Показатели молокоотдачи определяли на основании контрольного доения с помощью доильного аппарата ДАЧ – 1, в течении суток (Ф.Л. Гарькавый и др., 1969 г.). Для установления наличия и величины связи основных промеров экстерьера, вымени и сосков, их функциональных свойств, а также живой массы с молочной продуктивностью нами рассчитаны корреляционная связь по 17 показателям. Оценку воспроизводительных качеств коров - первотелок устанавливали по разработанной нами методике
Воспроизводительную способность коров – первотелок нами определялась, как отношение оптимального возраста первого отела к фактическому возрасту по следующей формуле:

Jв.с. – индекс воспроизводительной способности;
Ов. – оптимальный возраст первого отела;
Фв. – фактический возраст отела.
Для коров двух отелов и старше, в качестве критерия для оценки их воспроизводительной способности нами предлагается принять продолжительность меж-отельного периода 365 дней или 12 месяцев. В связи с тем, что данный алгоритм рассчитан для коров двух отелов и старше, при установлении общего количества приплода коров за период хозяйственного использования, нами предлагается включать потомств полученное за первый отел, и максимально возможное количество телят, за период использования определять по формуле:

Вм. – максимально возможное количество телят;
Фв. – фактический возраст коровы;
Ов. – оптимальный возраст первого отела;
12 – продолжительность межотельного периода, мес.;
+1 – приплод, полученный при первом отеле.
Индекс воспроизводительной способности коров 2- отелов и старше определяли, как отношение количества фактически полученных телят, на максимально возможное.

Jв.с. – индекс воспроизводительной способности;
Вм. – максимально возможное количество телят;
В
ф – фактическое количество полученных телят.Оценку коров по воспроизводительной способности предлагается по следующей шкале; индекс равен 0,9 и выше - давать 10 баллов, 0,89 – 0,8 – 7 баллов, 0,79 – 0,7 – 4 балла, 0,69 – 0,6 – 2 балла соответственно.
Молодняк предлагается оценивать по живой массе в 10 месячном возрасте и в возрасте плодотворного осеменения. Экстерьер оценивать по 5 бальной шкале. К классу элита рекорд относить телок, набравших максимальный балл за происхождение и возраст достижения живой массы для осеменения, при условии, получения не менее 4,5 балла за экстерьер, к классу элита не ниже 4 баллов, к І классу не ниже 3,5 баллов соответственно.
Оценка быков по качеству потомства и племенные категории присваивать быкам производителям по количеству молочного жира в молоке дочерей по предлагаемой методике.
Экономическая эффективность использования разработанной методологии племенной оценки крупного рогатого скота нами рассчитана на основе сравнения существующей и предлагаемой. Расчет экономической эффективности проведен на основании использования различных методов оценки быков – производителей по продуктивности дочерей, а также по результатам отбора по воспроизводительной способности и пригодности к машинному доению, с использования данных первичного племенного учета и годовых отчетов хозяйства. Полученные данные обработаны методом вариационной статистики по Н.А. Плохинскому (1969), Е.К. Меркурьевой (1970) и с использованием современных компьютерных программ. Биометрическая обработка данных включает в себя расчет средних значений по группам животных, установление ошибки среднего значения, среднеквадратического отклонения, вариабельности хозяйственно полезных признаков и достоверности полученных результатов.
3. Результаты собственных исследований
3.1. Связь показателей оценки экстерьера и конституции
с продуктивными показателями
В программах селекции многих зарубежных стран с высокоразвитым животноводством, при общей оценке животных, значимости экстерьера и конституции придается большое значение. Предлагаемые различными отечественными авторами методы оценки экстерьера и конституции при бонитировке крупного рогатого скота отличаются друг от друга в основном количеством учитываемых промеров телосложения. В месте с тем, подавляющее число промеров телосложения животных имеют недостоверную или отрицательную связь с величиной удоя – основным показателем селекции на ближайшую перспективу (таблица 1 и рис.2).
Учитывая, что взаимосвязь большинства промеров телосложения с молочной продуктивностью относительно низкая и недостоверная, считаем целесообразным при оценки экстерьера и конституции ограничится пятью основными промерами, которые учитываются при записи в Государственную племенную книгу.
Анализ связи живой массы с основными показателями продуктивности коров, свидетельствует о том, что по всем анализируемым показателям наиболее высокая положительная связь отмечена с удоем за 305 дней лактации (r =0,36 – 0,42) и количеством молочного жира (r =0,14 – 0,17), с остальными показателями связь оказалась слабо положительной и недоставерной. В зависимости от средней величины удоя в стаде, критерием выбора желательного типа коров должен служить индекс молочности, то есть выход молока за лактацию в расчете на 100 кг живой массы.
Высота в холке
Косая длина туловища
Обхват груди
Ширина в тазобедренных сочленениях
Обхват пясти
Примечание:
Рис. 2. Удой за лактацию
Таблица 1
Взаимосвязь промеров с удоем за лактацию в зависимости
от происхождения коров первотелок
Показатель | Англерская чистопородная | Красная эстонская чистопородная | ¾ англерская х ¼ красная степная |
| Количество животных, голов | 130 | 20 | 21 |
| Высота в холке | -0,31 | -0,69 | -0,46 |
| Косая длина туловища | 0,12 | -0,31 | -0,06 |
| Ширина груди | 0,24 | 0,45 | 0,17 |
| Глубина груди | 0,24 | 0,27 | -0,57 |
| Обхват груди | -0,4 | -0,03 | -0,56 |
| Рост | 0,24 | -0,21 | -0,45 |
| Глубина туловища | 0,25 | 0,4 | -0,55 |
| Длина крестца | 0,46 | 0,46 | 0,74 |
| Ширина таза | -0,51 | -0,50 | -0,55 |
| Угол копыта | -0,21 | 0,49 | -0,5 |
| Обхват пясти | 0,08 | 0,07 | -0,21 |
| Длина передних долей вымени | 0,06 | 0,14 | 0,07 |
| Высота прикрепления задних долей | 0,19 | 0,38 | -0,26 |
| Ширина задних долей вымени | 0,04 | 0,07 | 0,17 |
| Расположение дна вымени | -0,05 | -0,56 | 0,08 |
| Расстояние между передними сосками | -0,33 | -0,55 | 0,48 |
| Длина сосков | -0,56 | 3,55 | 0,19 |
3
Мустанг Бутон Ахел Энгельберт Медок
Мустанг Бутон Ахел Энгельберт Медок
Высота в холке
Косая длина туловища
Обхват груди
Ширина в тазобедренных сочленениях
Обхват пясти
Примечание:
Рисунок 2
.2. Зависимость продуктивности от морфологических
свойств вымени
Анализ результатов исследования свидетельствует о том, что преобладающей формой вымени является чашеобразная, которая составляет 84% от всего поголовья. Менее предпочтительная округлая форма отмечена среди дочерей составила Мустанга 5704 - 6 , Бутона 5570 - 4 и Энгельберта 22022 - 5 процентов. Лучшей формой вымени характеризовались дочери быка Ахела 22984, 10% от его дочерей имеют ваннообразную и 90% чашеобразную форму. У дочерей быка Медка 112 все дочери имели чашеобразную форму.
Результаты исследования свидетельствуют о наличии определенной связи между формой вымени и показателями продуктивности (таблица 2). Анализ показывает, что среднесуточный удой коров с ваннообразной формой на 16% выше, чем с чашеобразной и на 37% с округлой формой.
Таблица 2
Зависимость показателей продуктивности от формы вымени коров
Показатель | Форма вымени | ||
| Ваннообразная | Чашеобразная | Округлая | |
| Количество коров, гол. | 21 | 154 | 7 |
| Среднесуточный удой, кг | 19 | 16 | 12 |
| Средний удой 1-3 месяца лактации, кг | 520 | 485 | 450 |
| Удой за 305 дн. лактации, кг | 3780 | 3420 | 2805 |
| Продолжительность доения мин. | 12 | 10,5 | 10 |
| Интенсивность молокоотдачи, кг/мин. | 1,6 | 1,5 | 1,2 |
По удою за первые три месяца лактации и удою за 305 дней лактации, животные с ваннообразной формой также превышают показатели коров с другими формами. Интенсивность молокоотдачи коров с ваннообразной формой на 6%, с чашеобразной на 25% превосходят сверсниц с округлой формой вымени.
Для изучения влияния происхождения на морфологические и функциональные свойства вымени, нами расчитаны коэффициенты корреляции между основными показателями. Данные таблицы 3 показывают на наличие значительной разницы этих связей у дочерей разных бы-
ков – производителей. Так объем вымени и суточный удой достаточно сильно взаимосвязаны, наибольшая связь прослеживается у дочерей быка-производителя Мустанга 5704 и Медка112 0,65 – 0,66, а у дочерей Энгельберта 22022 и Бутона 5570 эта связь проявляется меньше и составляет – 0,27 – 0,34 соответственно.
Высокая связь длины вымени с суточным удоем, отмечена у дочерей быка Энгельберта 22022, при этом у дочерей данного же быка самая низкая связь между шириной вымени и суточным удоем дочерей – 0,13. Низкая связь длины задних сосков с продолжительностью доения установлена у дочерей Бутона 5570 и Энгельберта 22022 -0,2 – 0,23. У дочерей Бутона 5570 связь диаметра сосков с продолжительностью доения более чем в 3 раза выше.
Таблица 3
Влияние происхождения на взаимосвязь морфологических и
функциональных свойств вымени дочерей
| Признак | Мустанг 5704 | Бутон 5570 | Ахел 22984 | Энгельберт 22022 | Медок 112 | ||
| Объем вымени и суточный удой | 0,65 | 0,34 | 0,4 | 0,27 | 0,66 | ||
| Длина вымени и суточный удой | 0,3 | 0,2 | 0,15 | 0,41 | 0,32 | ||
| Ширина вымени и суточный удой | 0,33 | 0,25 | 0,36 | 0,13 | 0,33 | ||
| Длина сосков | и продолжительность доения | передн. | 0,5 | 0,42 | 0,45 | 0,40 | 0,42 |
| задних | 0,5 | 0,2 | 0,6 | 0,23 | 0,54 | ||
| Диаметр сосков | и продолжительность доения | передн. | 0,58 | 0,72 | 0,21 | 0,46 | 0,3 |
| задних | 0,53 | 0,21 | 0,43 | 0,5 | 0,13 | ||
| Длина сосков | И интенсивность молокоотдачи | перед. | 0,5 | 0,6 | 0,66 | 0,45 | 0,8 |
| задних | 0,25 | 0,18 | 0,19 | 0,77 | 0,27 | ||
| Диаметр сосков | И интенсивность молокоотдачи | передн. | 0,61 | 0,39 | 0,44 | 0,41 | 0,3 |
| задних | 0,47 | 0,46 | 0,53 | 0,35 | 0,3 | ||
В целом по всем анализируемым группам дочерей быков наблюдается положительная связь суточного удоя с интенсивностью молокоотдачи и продолжительностью доения, однако, степень этой взаимосвязи у дочерей разных производителей различается, что видно из результатов исследований (таблица 4).
Таблица 4
Взаимосвязь продуктивных и функциональных особенностей
в зависимости от происхождения
| Признаки | Мустанг 5704 | Бутон 5570 | Ахел 22984 | Энгельберт 22022 | Медок 112 |
| Удой за лактацию и % жира в молоке | -0,23 | -0,28 | -0,31 | -0,15 | -0,2 |
| Удой за лактацию и количество молочного жира | 0,18 | 0,29 | 0,29 | 0,28 | 0,29 |
| Удой за лактацию и живая масса | 0,25 | 0,4 | 0,21 | 0,43 | 0,4 |
| Удой за первые 3 мес. лактации и за лактацию | 0,7 | 0,64 | 0,52 | 0,38 | 0,4 |
| Среднесуточный удой и интенсивность молокоотдачи | 0,34 | 0,45 | 0,6 | 0,57 | 0,8 |
| Среднесуточный удой и продолжительность доения | 0,49 | 0,35 | 0,38 | 0,53 | 0,36 |
Полученные данные свидетельствуют о необходимости дифференцированного подхода при выборе и использовании быков для воспроизводства стада.
3.3 Оценка воспроизводительной способности коров и
быков-производителей
Воспроизводительная способность животных является одним из важных показателей интенсивности использования животных, лимитирующих возможность качественного совершенствования стада. Для выявления влияния возраста первого отела на молочную продуктивность дочерей, нами потомство быков было распределено на соответствующие группы по возрасту первого отела (таблица 5). Данные таблицы показывают, что за исключением дочерей быка Медок 112, наибольший удой за первые 305 дней лактации получен от первотелок отелившихся в возрасте от 25 до 27 месяцев. Среди дочерей быка производителя Медок 112 самый высокий удой был получен от дочерей отелившихся в возрасте до 25 месяцев и составил 3365 кг. С увеличением возраста первого отела средний удой за первую лактацию у всех дочерей быков производителей имеют тенденцию к снижению.
Таблица 5
Зависимость молочной продуктивности дочерей
быков - производителей от возраста 1-го отела
| Возраст 1-го отела, месяцы | Мустанг 5704 | Бутон 5570 | Ахел 22984 | Энгельберт 22022 | Медок 112 | |||||
| удой за лактацию, кг | количествомол. жира, кг | удой за лактацию, кг | количествомол. жира, кг | удой за лактацию, кг | количествомол. жира, кг | удой за лактацию, кг | количествомол. жира, кг | кдой за лактацию, кг | количествомол. жира, кг | |
| До 25 | 3200 | 110 | 3451 | 129 | 3118 | 118 | - | - | 3365 | 128 |
| 25,1 – 27 | 3400 | 122 | 3525 | 127 | 3319 | 126 | 3511 | 133 | 3246 | 123 |
| 27,1 – 29 | 3177 | 117 | 3100 | 115 | 3154 | 119 | 3219 | 122 | 3124 | 117 |
| 29,1 – 31 | 2894 | 110 | 2769 | 105 | 2989 | 113 | 3154 | 113 | 3014 | 112 |
Самый низкий удой за лактацию получен от дочерей отелившихся в возрасте старше 31 месяца. Аналогичные результаты получены и по количеству молочного жира за лактацию.
Для изучения влияния продолжительности сервис – периода на удой за лактацию анализируемое поголовье первотелок было распределено на 4 группы по продолжительности сервис периода (таблица 6). Из пяти быков
– производителей оцененных по воспроизводительной способности дочерей, наибольшим удельным весом с сервис периодом до 25 дней характеризовались дочери быков
Мустанг 5704 и Медок 112 (20%) тогда, как среди дочерей быка Ахел 22984 таких оказалось 5 процентов. В целом можно отметить, что дочери быка Бутон 5570 характеризовались более низкими воспроизводительными качествами. Наивысший удой за 305 дней лактации получен от первотелок с продолжительностью сервис периода от 26 до 45 дней. При этом, как сокращение, так и увеличение продолжительности сервис периода отрицательно влияет на удой за лактацию.
3.4 Методология совершенствования принципов племенной оценки крупного рогатого скота
Действующая инструкция по бонитировке крупного рогатого скота молочных молочно – мясных пород была принята в 1976 году, и никаких изменений за прошедший период в данную инструкцию не было внесено.
В связи с этим, предлагается, в организационной части в разделе I в пункт 1 внести в изменение в перечень предприятий, проводить бонитировку в хозяйства всех форм собственности. В пункте 3 - для проведения бонитировки, апробации внутрипородных типов, оценки и присвоения племенных категорий быкам производителям по их воспроизводительным способностям и качеству потомства, при отделе животноводства МСХ (департамента), создать независимую экспертную комиссию из числа специалистов и научных сотрудников вузов и НИИ хорошо знающих породу. Для организации первичного учета, воспроизводительных, племенных и продуктивных качеств скота в личных и крестьянских фермерских хозяйствах, создать при главах администрации местного самоуправления соответствующую группу из зооветспециалистов, которая будет оказывать услуговую помощь по всем вопросам учета, кормления, содержания, профилактики и лечения животных.
Учитывая, что в стране практически нет беспородного скота, а имеющееся поголовье (банк семени) быков производителей способно обеспечить воспроизводство маточного поголовья, считаем не целесообразным использовать для воспроизводства нечистопородных быков, производителей, кроме родственных по породе матери, быков полученных с использованием мирового генофонда. В раздел II в пункте 6, породность всех животных, полученных в рамках утвержденных государственных программ совершенствования отечественных пород с использованием мирового генофонда, устанавливать по породе матери с указанием доли крови использованных генотипов. Для усиления значимости структурных единиц породы считать, целесообразным, включить в общую оценку 5 балов для животных, принадлежащим к линиям, семействам.
В разделе III оценку коров по молочной продуктивности, проводить по количеству молочного жира (кг) за первые 305 дней лактации или за укороченную законченную лактацию. Также включить в оценку молочной продуктивности, индекс молочности. Функциональные свойства вымени коров оценивать по продолжительности доения.
В разделе IV, максимальную оценку за экстерьер и конституцию установить - 15 баллов, с обязательным указанием недостатков за которые снижена оценка, сначала аббревиатура недостатка в экстерьере, затем балл за экстерьер (таблица 7).
Таблица 7
Недостатки телосложения скота молочных и молочно-мясных пород,
за которые снижается оценка по экстерьеру и конституции
| Экстерьерный признак | Балл | Недостатки за которые снижается оценка | Сокращения для записи |
| Форма вымени | 5 | Округлая | Фво |
| Козья | ФВк | ||
| Форма сосков | 3 | не удовлетворяющие по диаметру | Сд |
| не удовлетворяющие по длине | Сдл | ||
| Конечности | 4 | х-образные | Кх |
| Саблистые | Кс | ||
| Зад | 2 | Свислый | Зс |
| Крышеобразный | Зк | ||
| Выраженность типа породы | 2 | Молочно-мясной | ТПМолМ |
| Мясомолочный | ТПМмол |
В действующей инструкции по бонитировки коров молочных и молочно – мясных пород в тексте оговаривается необходимость учета воспроизводительных качеств коров и быков – производителей, однако, при комплексной оценке и определении класса животных этот показатель фактически не учитывается.
С увеличением продолжительности сервис – периода, удой за 305 дней лактации имеет достоверную тенденцию к увеличению. Таким образом, отбор только по показателям продуктивности за первые 305 дней лактации, как правило, ведет к снижению воспроизводительных качеств и способствует постепенному накоплению в стаде животных с низкой воспроизводительной способностью. Также недостаточно эффективно в действующей инструкции учтен возраст первого отела животных.
Таблица 8
Показатели оценки молочного скота
| Принадлежность к линиям, семействам | Воспроизводительная способность | балл | Продолжительность доения, мин. | Количество молочного жира, кг | балл | Индекс молочности, кг. | Экстерьер и конституция | |
| Первотелки | Коровы 3 отела и старше | |||||||
| 5 баллов | 0,9 и выше | 10 | до 7 мин. -5 баллов | 162 и более | 180 и более | 60 | 1000 и более -5 баллов | 15 баллов |
| 0,89 – 0,8 | 7 | от 1619 до 144 | от 179,9 до160 | 50 | ||||
| от 999 до –900 3 баллов | ||||||||
| 0,79 – 0,7 | 4 | от 143,9 до126 | от 159,9 до 140 | 40 | ||||
| от 899 до –800 2 баллов | ||||||||
| от 125,9 до108 | от 139,9 до120 | 30 | ||||||
| 0,69 –0,6 | 2 | |||||||
В современных условиях селекция должна быть направлена на отбор и формирование скороспелых внутрипородных типов животных с высокими воспроизводительными качествами. В связи с этим, нами разработана методология оценки воспроизводительной способности маток и быков производителей для включения данного показателя в итоговую оценку при выведении комплексного класса при бонитировке.
Установлено, что наиболее оптимальным возрастом плодотворного осеменения телок является возраст 16 –18 месяцев, в связи с этим, нами принят в качестве оптимального возраста первого отела 27,8 месяца. Исходя из этого, предлагается определять воспроизводительную способность коров – первотелок, и коров двух отелов и старше по предлагаемым алгоритмам.
К классу элита рекорд и элита могут быть отнесены животные, набравшие не менее 7 баллов за воспроизводительную и 10 баллов за оценку экстерьера и конституции.
В раздел «В» определение класса молодняка, в пункт 31 предлагаем, породы разводимые в нашей стране разделить на две группы: к первой отнести симментальскую, черно-пеструю породы и помесей всех пород с голштинской, а все остальные породы отнести к второй группе. Живую массу оценивать в 10 месяцев и при достижении возраста 16 – 18 месяцев, при котором можно начать хозяйственное использование телок. При этом, считается оптимальной живая масса телок: для пород первой группы – 380, а остальных – 350 кг.
Таблица 9
Итоговая оценка и определение комплексного класса телок
| Происхождение, класс родителей | Достижение живой массы, кг | Экстерьер и конституция | |||||||||
| Отец | Мать | Балл | Пород | Балл | Класс | Балл | |||||
| Возраст | І | ІІ | Возраст | І | ІІ | ||||||
| Эл. рекорд- эл. рекорд | 15 | 10 | 220 | 200 | 16 | 380 | 350 | 30 | Эл. Рек. | 4,5 и более | |
| Эл. рекорд- элита | 10 | 10 | 200 | 180 | 17 | 380 | 350 | 25 | Элита | 4 и более | |
| Эл. рекорд –I класс | 5 | 10 | 190 | 170 | 18 | 380 | 350 | 20 | I | 3,5 и более | |
Эффективность селекционно-племенной работы в значительной степени определяется качеством используемых для воспроизводства быков производителей. Современная технология искусственного осеменения позволяет значительно сократить количественную потребность и существенно повысить требования при выборе быков для племенного использования. В связи с этим считаем, что для воспроизводства стада должны использоваться только чистопородные (за исключением помесей полученных от проведения соответствующих государственных программах качественного совершенствования отечественных пород) быки производители класса элита рекорд.
В связи с тем, что быков - производителей используют для совершенствования отдельных стад и породы в целом и учитывая возможные издержки объективности оценки по качеству потомства методом дочери – сверстницы, нами предлагается в качестве критерия присвоения племенной категории быкам производителям, использовать количество молочного жира в молоке в дочерей за первую лактацию.
Таблица 10
Шкала для присвоения племенной категории быкам производителям
| Категории | Количество молочного жира в, кг |
| 1 | 162,0 и более |
| 2 | 144,0 – 161,9 |
| 3 | 126,0 – 143,9 |
Примечание: Племенные категории присваиваются быкам – производителям, при наличии не менее 15 дочерей с законченной 1-й лактацией, с возрастом 1-го отела не старше 30 месяцев и продолжительностью сервис периода не более 84 дней. Первая категория присваивается быкам-производителям если содержание жира в молоке дочерей не ниже 3,6 процента.
3.5. Экономическая эффективность различных методов племенной оценки крупного рогатого скота при бонитировке
Расчет экономической эффективности произведен на основании использования различных методов оценки быков производителей по продуктивности дочерей (таблица 11), а также по результатам отбора, по воспроизводительной способности и пригодности к машинному доению.
По результатам наших исследований наиболее высокой продуктивностью за первую лактацию характеризовались дочери быка производителя Энгельберт 22022, удой которых в пересчете на базисную жирность (3,6%) превышал соответствующие показатели коров – дочерей быка Мустанг 5704 - на 355,6 кг и на 199,9 кг молока средний удой первотелок, что и определило наиболее высокую рентабельность производства молока в одинаковых условиях кормления и содержания
Таблица 11
Экономическая эффективность использования
быков производителей разных генотипов
| Показатель | Мустанг 5704 | Бутон 5570 | Ахел 22984 | Энгельберт 22022 | Медок 112 | В среднем |
| Количество коров, гол. | 60 | 50 | 20 | 21 | 20 | 171 |
| Удой за 1 лактацию, кг | 3177,4 | 3413,8 | 3383,3 | 3517,9 | 3359,5 | 3335,4 |
| Содержание жира, % | 3,76 | 3,74 | 3,73 | 3,76 | 3,77 | 3,75 |
| Количество молочного жира, кг | 119,42 | 127,86 | 126,33 | 132,29 | 126,71 | 125,13 |
| Удой в пересчете на базисную жирность, кг | 3318,6 | 3546,6 | 3505,5 | 3674,2 | 3518,1 | 3474,4 |
| Себестоимость 1 ц молока, руб | 439 | 439 | 439 | 439 | 439 | 439 |
| Цена реализации 1 ц молока, кг | 573 | 573 | 573 | 573 | 573 | 573 |
| Прибыль в расчете на 1 гол., руб | 4446,9 | 4752,4 | 4697,3 | 4923,5 | 4714,3 | 4655,7 |
| Рентабельность производства молока, % | 101,3 | 108,25 | 107,0 | 112,14 | 107,69 | 106,05 |
Сравнения показателей продуктивности коров первотелок в зависимости от формы вымени показал, что удой за 305 дней лактации коров с ванно-чашеобразной формой вымени составил – 3470 кг, а с округлой формой – 2805 кг, разница составила 665 кг или 23,7 процента. Отбор коров по форме вымени позволит хозяйству получить дополнительно 4655кг молока или 6237,7 рублей.
С увеличением возраста первого отела средний удой за первую лактацию у всех дочерей быков производителей имеет тенденцию к снижению. Так у коров отелившихся в возрасте до 27 месяцев, удой за первую лактацию составил в среднем 3400,2 кг, от 27,1 до 29 месяцев - 3156,8 кг, а от 29,1 и старше - 2964 кг. Исходя из полученных данных хозяйство недополучило от коров отелившихся в возрасте от 27 до 29 месяцев 8275,6 кг или 11089,3 рубля, от отелившихся от 29 и старше 7415,4 кг или 9936,64 кг. Убыток от передержки коров отелившихся в возрасте старше 27 месяцев составил – 10700 рублей. Результаты исследования свидетельствуют о целесообразности более раннего осеменения телок в хозяйстве.
Выводы
1.Существующая методология племенной оценки крупного рогатого скота устарела и не отвечает возросшим требованиям. Стандарты пород в условиях рыночной экономики не обеспечивают рентабельное ведение отрасли, не стимулирует совершенствование породно-продуктивных качеств животных.
2. Анализ связи промеров с удоем за I лактацию, показывает положительную связь по всем группам между шириной груди и длинной крестца, отрицательную между высотой в холке обхватом груди, по остальным промерам эта связь оказалась низкой и недостоверной.
3. Комплексная оценка коров – первотелок по морфологическим и функциональным свойствам вымени дочерей показала, что удой коров с ваннообразной на 975 кг, и чашеобразной на 615 кг выше удоя коров с округлой формой вымени. Интенсивность молокоотдачи коровы с ваннообразной формой на 6% выше сверстниц с чашеобразной и на 25% с округлой формами.
4. Анализ взаимосвязи между основными показателями пригодности к машинному доению, показал, что наибольшая положительная связь отмечена между объемом вымени и суточным удоем, продолжительностью доения и длинной задних сосков, интенсивностью молокоотдачи и длинной передних сосков. Наиболее четкая взаимосвязь прослеживается у дочерей быка Мустанг 5704.
5. Взаимосвязь основных показателей продуктивности в зависимости от происхождения, свидетельствует о наличии достоверной отрицательной связи удоя за лактацию с процентом жира в молоке и в среднем она составила – 0,23. Между удоем за лактацию и количеством молочного жира установлена положительная связь (0,21), с колебаниями от 0,18 у дочерей быка Мустанг 5704 до 0,29 у дочерей быков Бутон 5570 и Ахел 22984. Между удоем за лактацию и живой массой коэффициент корреляции составил 0,34.
6. Наиболее высокий удой за 305 дней лактации получен от дочерей быка – производителя Энгельберт 22022 и составил 3517,9 кг, что на 182,5 кг (5,2%) молока и на 7,6 кг (5,4%) молочного жира выше показателей дочерей других производителей использованных в хозяйстве.
7. Сравнительная оценка дочерей быков – производителей по возрасту плодотворного осеменения показала, что в возрасте до 18 месяцев было плодотворно осеменено наибольшее число дочерей быка Ахел 22984 – 52,4%, и Мустанга5704 –31,7%. Наиболее низкой воспроизводительной способностью характеризуются дочери быка 5570 англерской породы.
8. Анализ динамики влияния возраста I-го отела на удой за лактацию показал, что с увеличением возраста отела средний удой за лактацию имеет тенденцию к снижению. Удой первотелок отелившихся в возрасте старше 31 месяца составил – 2964 кг, что на 436,2 кг ниже удоя первотелок отелившихся в возрасте 25 – 27 месяцев при достоверной разнице.
9. Наивысший удой за первые 305 дней лактации получен от первотелок с продолжительностью сервис – периода от 26 до 45 дней в среднем равный - 3414,3 кг, что на 107,8 кг или 3,2% выше, чем у коров с продолжительностью сервис – периода выше 66 дней. При этом, как сокращение, так и увеличение продолжительности сервис периода отрицательно влияет на удой за лактацию.
10. Наибольшая рентабельность производства молока получена по группе дочерей быка производителя Энгельберт 22022 – 112,14%, что на 6,1% выше средних показателей по стаду. Отбор коров по форме вымени позволит хозяйству дополнительно получить 4655 кг молока или 6237,7 рублей. Из-за позднего осеменения и передержки совокупные потери хозяйства составили 124,7 тыс. рублей.
Предложения к производству
1. Для повышения эффективности отбора коров и быков – производителей, при разработке новой инструкции по бонитировке и долгосрочных программ селекции использовать разработанные алгоритмы и методологию племенной оценки крупного рогатого скота.
2. Оценка быков производителей по качеству потомства, показала, что наиболее высокопродуктивными оказались дочери быка производителя Энгельберт 22022, что позволяет нам рекомендовать его использование для увеличения продуктивных качеств стада.
Список робот, опубликованных по теме диссертации
1. Садиков Р.З., Гукежев В.М. Влияние возраста первого отела дочерей быков производителей на их последующую продуктивность и воспроизводительные качества // Труды 2–го Международного форума (7–й Международной конференции) «Актуальные проблемы современной науки» Гуманитарные науки «Сельское хозяйство, зоотехния, лесное хозяйство». – Самара, 2006. – Ч. 23-25. – С.43–47.
2. Садиков Р.З., Гукежев В.М. Взаимосвязь происхождения с функциональными свойствами вымени // Материалы международной научно – практической конференции « Животноводство – продовольственная безопасность страны». – Ставрополь, 2006. – Ч. I. – С. 102-105.
3. Садиков Р.З., Гукежев В.М. Влияние происхождения на взаимосвязь морфологических и функциональных свойств вымени дочерей // Материалы международной научно – практической конференции «Животноводство – продовольственная безопасность страны». – Ставрополь, 2006. – Ч. I. – С. 105-107.
4. Садиков Р.З., Гукежев В.М. Оценка быков по воспроизводительной способности дочерей // Материалы международной научно – практической конференции «Животноводство – продовольственная безопасность страны». –Ставрополь, 2006. – Ч. I. – С. 107-109.
5. Садиков Р.З., Гукежев В.М. Влияние возраста первого отела дочерей быков-производителей на их последующую продуктивность // Материалы I-й Всероссийской научно-практической конференции «Роль науки Южного Федерального округа в развитии животноводства по реализации приоритетного проекта «Развитие АПК»». – Черкесск, 2006. – С.122.
6.Садиков Р.З. Гукежев В.М. Влияние возраста первого плодотворного осеменения телок на их последующую продуктивность // Вестник Российской академии сельскохозяйственных наук. –Москва, 2007 .- №6.-С. 81-82.
Сдано в набор 23.11.07. Подписано в печать 24.11.07.
Гарнитура Таймс. Печать трафаретная. Формат 60х841/16.
Бумага писчая. Усл. п.л. 1. Тираж 100. Заказ №987.
Типография ФГОУ ВПО «Кабардино-Балкарская
государственная сельскохозяйственная академия»
Лицензия ПД № 00816 от 18.10.2000 г.
г. Нальчик, ул. Тарчокова, 1а
