Методические указания к курсовой работе «Алгоритмизация и модификация сае-систем (на примере сае sigma и Nastran)»
| Вид материала | Методические указания |
- Методические указания к курсовой работе для специальностей 220100 Вычислительные машины,, 87.91kb.
- Методические указания к курсовой работе по дисциплине «Аппаратные средства вычислительной, 224.38kb.
- Методические указания, контрольные задания и указания на курсовой проект по дисциплине, 410.04kb.
- Методические указания к курсовой работе по дисциплине «Управленческие решения», 145.2kb.
- Msc. Nastran for Windows – возможности msc. Nastran на персональном компьютере, 172.11kb.
- Методические указания к курсовой работе по дисциплине «численные методы», 134.12kb.
- Методические указания к курсовой работе для студентов специальности "Менеджмент организации", 623.79kb.
- Методические указания к курсовой работе Павлодар, 2007, 92.3kb.
- Методические указания к курсовой работе по дисциплине «Теория автоматического управления», 552.83kb.
- Методические указания к выполнению курсовых работ по дисциплине «финансы и кредит», 489.86kb.
П.3. материалы, демонстрирующие и доказывающие выбранную степень интерполирующего полинома для представления функции нагрузки с приведением полученной формулы окончательного полинома:
- таблицу значений интеграла в зависимости от степени используемого
полинома с формулами полиномов и процентом отличия значений этого интеграла от интеграла, подсчитанного по исходной функции нагрузки;
- на одном рисунке график исходной функции и графики заменяющих
её полиномов с указанием точек функции, через которые проходят полиномы
- таблицу значений суммарной силы от распределённой нагрузки в виде
функции и значений суммарной нагрузки от распределённой нагрузки в виде окончательного полинома (с процентами отличия) в зависимости от NRC;
- координаты выбранной точки для дальнейшего исследования и таблицу
максимальных значений напряжений в этой точке при NRC=7.
П.4.
На основе анализа напряженно-деформированного состояния пластины выбрать точку для дальнейшего исследования. Исследуемая точка должна иметь целые координаты, располагаться в области опасных напряжений, но не находиться в непосредственной близости к местам нагружения пластины и на границах изменения свойств КЭ.

Необходимо представить в одной строке два изображения какого-либо напряжения с сеткой КЭ и номерами свойств КЭ до и после используемого метода оптимизации (для проверки сохранения границ свойств КЭ при оптимизации) с указанием исследуемой точки. Следить за тем, чтобы точка, по возможности, не выходила в результате оптимизации за пределы КЭ, в котором она размещается. В случае необходимости подкорректировать координаты точки.
Для полноты исследования необходимо добиться работы алгоритма во всех зонах. Это достигается изменением положения промежуточных, а, иногда, и основных узлов зон.

В качестве объяснения справа приведена сетка КЭ после оптимизации с неправильной реализацией сохранения границ свойств конечных элементов.
Далее по пунктам.
4.1. результаты исследования влияния оптимизации сетки на значения напряжений и перемещений.
Примерная форма представления материала
Демонстрация изменения положения исследуемой точки относительно конечного элемента. NRC=3
| Без оптимизации | С оптимизацией |
![]() | ![]() |
Демонстрация изменения положения исследуемой точки относительно конечного элемента. NRC=11.
(аналогичный рисунок для NRC=11)
Отклонения в значениях напряжений и перемещений для точки (показана в районе узла 84) с координатами ( ; ) при NRC=3, 7 и 12.
| NRC | Напряжения и перемещения | Без оптимизации | С оптимизацией | Относительное отклонение, % |
| 3 | ![]() | | | |
| | ![]() | | | |
| | ![]() | | | |
| | ![]() | | | |
| | ![]() | | | |
| | ![]() | | | |
| | Перемещение Х | | | |
| | Перемещение Y | | | |
| …. | …. | …. | …. | …. |
| 11 | ![]() | | | |
| | ![]() | | | |
| | ![]() | | | |
| | ![]() | | | |
| | ![]() | | | |
| | ![]() | | | |
| | Перемещение Х | | | |
| | Перемещение Y | | | |
Далее анализ и вывод.
4.2. результаты исследования эффективности алгоритма оптимизации сетки по изменению значения минимального угла КЭ.
Примерная форма представления материала
4.1. Таблица изменения минимального угла в зависимости от NRC
| nrc | ![]() | ![]() | ![]() -![]() ![]() | ![]() | средний ![]() по всем КЭ | средний по всем КЭ | ![]() | % |
| 3 | 31.76 | 35.04 | 3,28 | | | | | |
| 4 | 28.39 | 35.99 | 7,6 | | | | | |
| 5 | 26.91 | 35.06 | 8,15 | | | | | |
| 6 | 26.07 | 35.33 | 9,26 | | | | | |
| 7 | 25.54 | 35.43 | 9,89 | | | | | |
| 8 | 25.16 | 34.66 | 9,5 | | | | | |
| 9 | 24.89 | 33.66 | 8,77 | | | | | |
| 10 | 24.68 | 34.45 | 9,77 | | | | | |
Далее анализ и вывод, включающий оценку эффективности работы алгоритма по критерию уменьшения значения минимального угла сетки КЭ.
4.3. оценка качества сетки до и после оптимизации и окончательный вывод по эффективности алгоритма оптимизации сетки.
Пояснение:
Описание алгоритма оптимизации приведено в подсистеме «Помощь».
Оценку качества сетки можно проводить с помощью программы GETFINE, разработанной студенткой гр. 06-421 В.Н. Рябининой в 2007 году, модифицируя её для целей исследования. Можно создать и собственную оригинальную программу.
GETFINE позволяет оценить качество сетки до оптимизации и после, предварительно воссоздав функцию плотности по исходной сетке и задав функции
штрафа за неоптимальность размеров и формы КЭ.
GETFINE вызывается из GRIDDM.
Предварительно (перед вызовом алгоритма оптимизации) координаты вершин КЭ записываются в массив ENV, который используется временно только для работы программ GETFINE и функции GetDensityFunction.
При вызове подпрограммы первоначально определяется функция плотности F в центре тяжести каждого КЭ посредством использования функции GetDensityFunction. Затем происходит вычисление штрафной функции f(ei,F) для каждого КЭ по следующей методике:
f(ei,F)= C1(ei,F)+ C2(ei,F)

где C1(ei ,F) 0 - штрафная функция неоптимальности размеров i - го КЭ:
C2(ei ,F) 0 - штрафная функция неоптимальной формы (вырожденности) i - го КЭ. Штрафная функция С1 задаётся посредством подпрограммы-функции GetMeasurementFine(di), где di – отклонение от оптимума размеров КЭ, С2 – посредством подпрограммы-функции GetShapeFine. В стандартном исполнении GetShapeFine(Ri), где Ri – отклонение радиуса вписанной в КЭ окружности от наименьшего допустимого радиуса вписанной окружности. После этого получаем величину Z, характеризующую качество сетки, для N элементов сетки:

В задачу КР 8-го семестра входит самостоятельное составление функции штрафа за форму КЭ, которая должна оценивать, насколько далека форма КЭ от правильного треугольника. Для этого можно использовать геометрические соотношения, приведенные в лекциях, или вывести собственные.
Для этого надо модифицировать GETFINE и FUNCTION GetShapeFine, объединив штраф за форму со штрафом за вырожденность или подсчитать их отдельно. Последнее предпочтительней.
В результате выполнения GETFINE получаем текстовый результат в конце распечатки GRIDDM примерно следующего содержания:
О
Условная мера однородности 125.743500
Наименьший допустимый радиус 1.897969
Суммарный штраф за размеры 16.000000
Суммарный штраф за форму 348.672000
Z = 364.672000
чевидно, что в данном случае штраф за форму КЭ значительно превышает штраф за размеры КЭ. Это говорит о том, что сетка явно неоптимальна по форме КЭ (треугольники вытянуты) по сравнению с характеристиками площади.
GETFINE «восстанавливает» функцию плотности неоптимизированной сетки по уже существующему разбиению. Это означает, что после выполнения этой операции будет существовать полное соответствие между исходным разбиением и функцией плотности и получится, что исходная сетка построена как бы следуя известной (полученной) функции плотности.
Это искусственный приём, применяемый только для сравнения качества оптимизированной сетки с качеством исходной. На самом деле сначала формируется функция плотности, а уже по ней строится исходная сетка.
Создание функции плотности может происходить по-разному, в частности, как отношение площади КЭ к средней площади КЭ, в отличие, например, от функции плотности использованной В.Н. Рябининой, Учитывая, что функцию плотности надо не только использовать при выполнению КР, но и показать в отчете, студент должен выбрать или создать функцию плотности самостоятельно.
Если вернуться к примеру выходных данных GETFINE, представленном выше, то если такой результат получается для неоптимизированной сетки, то это говорит только о том, что исследователь изначально установил значение штрафа за форму значительно выше, чем за размеры. Не надо забывать, что исходная сетка как бы построена по функции плотности и значения штрафов для неё должны быть минимальны и примерно одинаковы. При выполнении КР будем считать, что выполнение условий по размерам КЭ и по форме КЭ для нас одинаково важно.
Поэтому для корректной оценки качества исходной и оптимизированной сеток необходимо выровнять значения штрафов для исходной сетки (до оптимизации).
Это делается с помощью изменения коэффициентов k1 и (или) k2 линейных функций штрафов в подпрограммах FUNCTION GetMeasurementFine и FUNCTION GetShapeFine. Выравнивание штрафов в зависимости от исследуемых NRC должно происходить программным путём. В отчете представить значения коэффициентов.
В отчете по п. 4.3 необходимо представить результаты сравнения качества исходной и оптимизированной сеток с последующим анализом и выводами по прилагаемой форме.
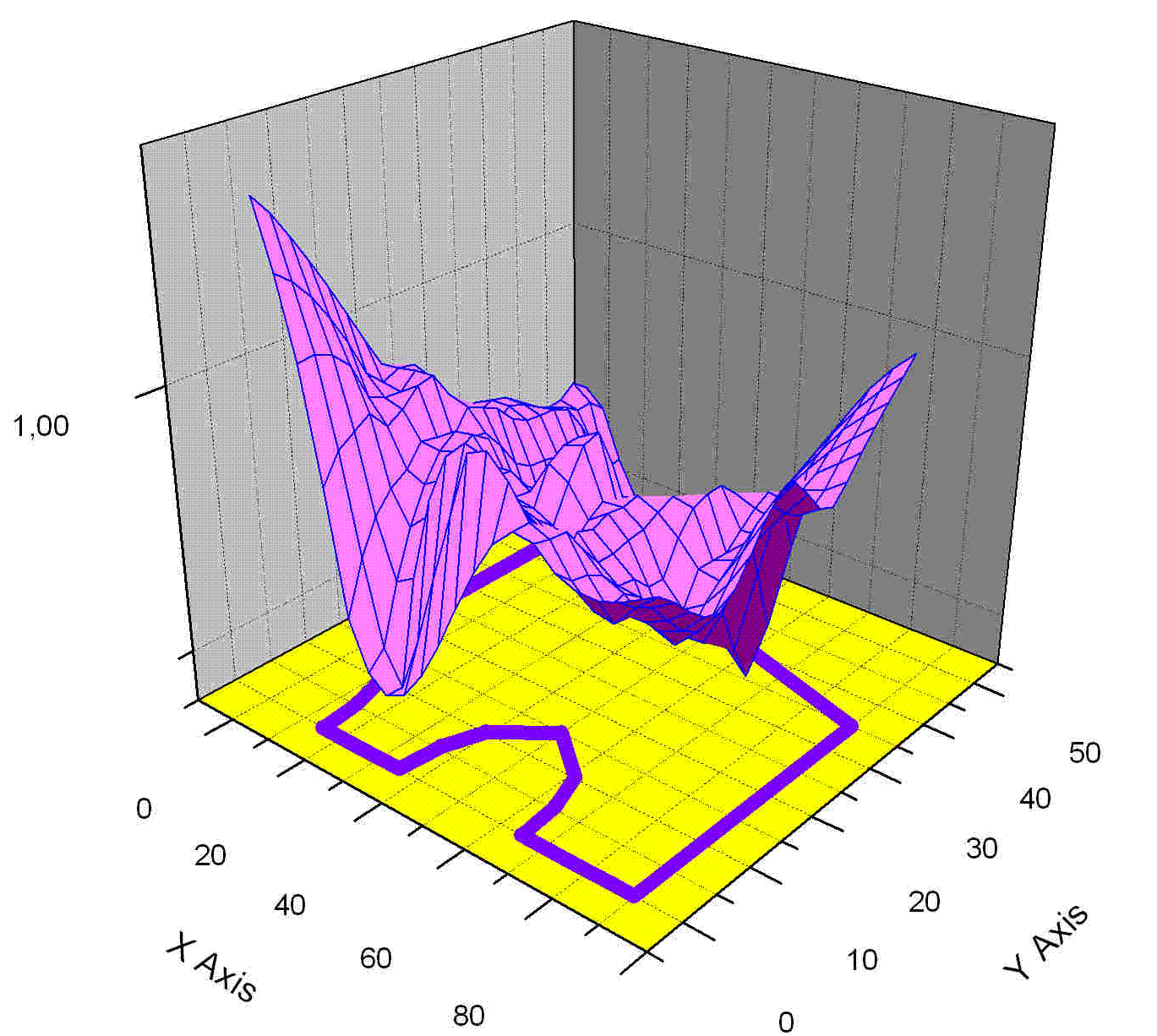
В отчете по п. 4.3 необходимо представить функцию плотности в изометрии с осями координат и очертаниями формы пластины с помощью подсистемы ShowDesity. Дополнительно (на усмотрение исследователя) - с помощью любой другой программы.
Примерная форма представления материала по п.4.3.
Пример представления функции плотности с помощью подсистемы ShowDesity.
| Функция плотности до оптимизации (NRC=11): ![]() Минимальное значение функции плотности 0,99998 Максимальное значение функции плотности 0,9987 | Функция плотности после оптимизации (NRC=11): ![]() Минимальное значение функции плотности 0,99997 Максимальное значение функции плотности 0,997 |
Пример представления функции плотности с помощью посторонней программы:

Примерный вид таблицы П.4.3
| | | Суммарный штраф за размеры | Суммарный штраф за форму | Суммарный штраф за вырожденность | Качество сетки | ||||
| NRC | NE | До оптими-зации | После оптими-зации | До оптими-зации | После оптими-зации | До оптими-зации | После оптими-зации | До оптими-зации | После оптими-зации |
| 3 | | | | | | | | | |
| | | | | | | | | | |
| | | | | | | | | | |
| | | | | | | | | | |
| 4 | | | | | | | | | |
| 7 | | | | | | | | | |
| 8 | | | | | | | | | |
| 11 | | | | | | | | | |
| 12 | | | | | | | | | |
Далее анализ и выводы, при необходимости подкреплённые графиками.
В качестве последнего критерия, по которому можно сравнить сетку до и после оптимизации, чтобы вынести окончательное суждение об эффективности алгоритма, необходимо использовать критерий Делоне, основанный на теореме Делоне, гласящей, что сетка КЭ, обладающая меньшим периметром треугольников при заданном числе КЭ, является более оптимальной.
Поэтому надо сравнить сумму расстояний между узлами, образующих сетку КЭ, до оптимизации и после и сделать окончательный обобщающий вывод, включающий результаты по всем разделам П.4.
Примерный вид таблицы сравнения по критерию Делоне.
| NRC | NE | Периметр до оптимизации | Периметр после оптимизации |
| 3 | | | |
| 4 | | | |
| 7 | | | |
| 8 | | | |
| 11 | | | |
| 12 | | | |
4.4*. (по дополнительному заданию преподавателя) результаты исследования возможности перемещения промежуточного узла зоны для разных NRC. График зависимости минимально возможного расстояния между основным узлом зоны и промежуточным (в процентах по отношению к длине стороны зоны) при разных NRC. Выводы при сопоставлении полученных результатов с теоретическим материалом, изложенным в лекциях для метода изопараметрических координат;

















