В объемные акустические волны
| Вид материала | Учебное пособие |
- Тема Плоские акустические и электромагнитные волны в однородных изотропных средах., 28.93kb.
- Акустические резонаторы, 111.12kb.
- Программа учебной дисциплины сдм. В. 01 05 «Акустические волны в движущихся средах», 84.38kb.
- Программа учебной дисциплины сдм. В. 01-05 «Поверхностные акустические волны» Магистерская, 56.62kb.
- Контрольная работа №4 по теме «Механические колебания и волны. Звук», 35.03kb.
- Его причины и особенности, силовые связи между частицами среды, перенос энергии без, 14.74kb.
- Волновое движение. Электромагнитные волны, 45.73kb.
- Электромагнитные волны. Радиосвязь, 88.78kb.
- «Поляризация света», 79.64kb.
- Тема: Механические волны. Скорость и длина волны, 48.24kb.
Подставляя его совместно с (57) в (58) и (59), нетрудно получить два линейных алгебраических уравнениях, в которых неизвестными будут u0+ u0- . Решение этих уравнений и подстановка результатов в (57) и (56) приводят к аналитическому выражению для безразмерного активного сопротивления излучения
где
где v1 , v2 , v3 - скорости звука соответственно в надслое, пьезоэлектрике и подслое. Частота не входит в полученную формулу в явном виде и представлена в ней только безразмерной величиной βh . В этом смысле формула (61) имеет универсальный характер, а вычисленное по ней значение δ может быть отнесено к любой частоте.
Из выражения (56) находится также реактивная составляющая импеданса излучения. Формула для нее оказывается более громоздкой, чем (61), и здесь не приводится в связи с тем, что при использовании известных пьезоэлектриков и материалов подслоя и надслоя, реактивность преобразователя с достаточной для практики точностью определяется емкостным сопротивлением 1/ωC0 . Максимальное значение добавки, обусловленной пьезоэффектом, обычно не превышает 0,3/ωC0 , да и то это имеет место при значениях, соответствующих малым величинам R(ω). На рис. 4 а,б при p/h=0,2 и 0,4 соответственно показана зависимость δ(βh), вычисленная по формуле (61), для преобразователя из ZnO с надслоем и подслоем из Al на кристалле Y3Al5O12 . Плоскость преобразователя перпендикулярна направлению [0001] в пьезоэлектрике и [111] в звукопроводе. Кривые 1-5 соответствуют g/h= 0,2; 0,4; 0,6; 0,8; 1,0. При вычислениях использовали физические константы для ZnO, Y3Al5O12 и Al соответственно: скорость звука ( 103 м/с) 6,1; 8,6; 6,32; акустические волновые сопротивления (106 кг/м с) 34,4; 39,2; 17,1; диэлектрическую проницаемость и коэффициент электромеханической связи ZnO: 8,84 и 0,283. Из рис.4 следует, что изменение g/h слабо влияет на ход кривых, тогда как вариации p/h существенно изменяют их ход. Эти обстоятельства обуславливают более жесткие технологические требования к изготовлению надслоя, чем подслоя. Приведенные кривые для заданной частоты ω позволяют выбрать значение βh , соответствующее подходящей величине δ (например, максимуму на одной из кривых δ(βh)) и вычислить требуемую толщину h=(β0h)v2/v1 , а затем и толщины p и g. Задавая площадь s, нетрудно вычислить емкостное сопротивление преобразователя:
и найти сопротивление излучения

Каждому значению βh на оси абсцисс можно привести в соответствие частоту f=(βh)v2/2πh и, таким образом, для конкретного преобразователя при выбранной толщине h получить в явном виде зависимость R(f).
3.3. Пьезоэлемент в качестве нагрузки коаксиальной линии.
3.3.1. Анализируемая модель. Звукопровод 1 (рис.5) с последовательно нанесенными на его торец подслоем 2 , пьезоэлектриком 3 и надслоем 4 прижимается к торцу коаксиальной линии с внутренним проводником 6 и внешним 7. Торец 5 проводника 6 и подслой 2 образуют отрезок конической линии с тем же волновым сопротивлением, что и

коаксиальная. Для этого на торце имеется конус с углом θ, определяемым формулой [9]
Так как на СВЧ импеданс Z(ω) обычно мал, то и указанная линия должна иметь низкое волновое сопротивление. Это вызывает необходимость применения трансформатора сопротивлений для согласования низкоомной линии со стандартной. Таким согласователем может быть чебышевский ступенчатый переход, представленный на рис.5 ступеньками 8 и 9.
3.3.2. Коэффициент преобразования.
Пьезоэлемент, подключенный к коаксиальной линии, оказывается для нее нагрузкой с импедансом
где δп- безразмерная величина, характеризующая потери,
а Ф- константа, определяемая формулой Ф=ε v2 s/h2 . Если не учитывать потери в самой коаксиальной линии, то из (51), (47), (52) следует
где Z0 при отсутствии затухания в линии является вещественным числом.
Величина η(ω) достигает максимума при следующем оптимальном значении Z0 :
Легко видеть, что величина Z0 опт равна модулю импеданса преобразователя, вычисленному с учетом потерь. Если выбрать линию так, чтобы на частоте ω0 ее волновое сопротивление для данного пьезоэлемента оказалось оптимальным, то из(63) после подстановки в него (64) для произвольной частоты получим

где
β0h и δ0 - соответственно абсцисса и ордината точки на рис.4, для которой определяется оптимальное волновое сопротивление подводящей линии на частоте f0. Длина оптимальной линии (см. участок 6 на рис.5) не входит в выражение (65), и поэтому она может быть выбрана равной нулю. В таком случае пьезоэлемент оказывается подключенным непосредственно к выходной ступеньке 8 чебышевского перехода. Волновое сопротивление последней больше, чем у сокращенной до нуля. Это облегчает изготовление возбуждающей системы, поскольку не требует обеспечения очень малого зазора между внутренним и внешним проводниками на ее выходе. В свою очередь, уменьшение зазора в оконечной ступеньке перехода, играющей теперь роль выходной секции всей возбуждающей системы, открывает возможность увеличения площади s и повышения предельно допустимой ЭМ мощности, подводимой к преобразователю. Простейшим вариантом согласо-вания двух линий с различными волновыми сопротивлениями Z0 и Z0 опт является четвертьволновый отрезок с волновым сопротивлением Z0 т р = (Z0 опт Z0)1/2 . Однако, такой согласователь характеризуется узкой рабочей полосой частот. Поэтому при больших изменениях частоты применять формулу (63) нельзя. Покажем, как в таком случае рассчитать коэффициент преобразования.
Импеданс пьезоэлемента с учетом потерь R(ω) + Rп - j(1/ωC0 ) трансформируется отрезком линии с волновым сопротивлением Z0 т р длины l по закону
Разделяя Zт р на действительную и мнимую части Zт р =Rт р + jXт р ,будем иметь
Если использовать эти формулы, то из (51) и (52) получим
По полученным формулам нетрудно вычислить коэффициент преобразования даже с помощью программируемого микрокалькулятора.
3.3.3. Учет потерь.
Затухание ЭМ волн в коаксиальной возбуждающей системе, как показывает расчет, проведенный в [10] для преобразователя с чебышевским cтупенчатым переходом на частоте ~ 10 ГГц, еще слабо влияет на величину η. Собственная проводимость пьезоэлектрика при современной технологии получения его тонких слоев [11] также пренебрежимо мала (10-9 ...10-10 См/м). Акустическими потерями в пьезоэлектрической и металлических пленках можно пренебречь вплоть до частоты ~ 10 ГГц. Это подтверждается результатами измерений, выполненных в [12], откуда следует, что затухание продольных волн на частоте 9,4 ГГц в слоях ZnO, Au, Cr, Ni, Ag, Cu при толщине ~ 0,2мкм (~λзв /2) оказывается равным соответственно 0,22 ; 0,48 ; 0,52 ; 0,7 ; 0,74 ; 1 дБ. Лишь на более высоких частотах, где акустические потери заметно превышают указанные значения , необходим учет их влияния. По-видимому, важнейшую роль в диссипации ЭМ энергии в преобразователе играют джоулевы потери в подслое и надслое, а также в их контактах с возбуждающей системой. Учесть влияние последних расчетным путем невозможно. Однако их влияние можно свести практически к нулю, если использовать пайку электродов преобразователя к возбуждающей системе.
Для того, чтобы оценить потери в подслое и надслое, найдем их электрические сопротивления. В проводниках СВЧ ток имеет поверхностный характер. Толщина эквивалентного проводящего слоя для плоского однородного проводника с удельной проводимостью γ вычисляется по формуле [13]
где μ0 , μr - абсолютная и относительная магнитные проницаемости соответственно вакуумa и проводника. Для алюминия (Al) (μ r =1, γ =3,25.10 Ρμ/м) на частоте ~10 ГГц имеем Δ = 0,9 мкм. В реальных преобразователях используют металлические пленки с толщиной ~0,1 мкм. Это позволяет для частот ≤ 10 ГГц считать, что СВЧ ток также как и постоянный, пронизывает пленки полностью, а их проводимость сохраняется такой же, как и для постоянного тока , и не зависит от частоты. С достаточной для практики точностью можно утверждать, что линии СВЧ тока в подслое имеют радиальное направление. В таком случае его электрическое сопротивление определяется формулой
где d1 и d2 указаны на рис. 5. Если предположить, что СВЧ токи пронизывают надслой по толщине, то его сопротивление равно
В действительности, по внутреннему проводнику коаксиальной линии текут поверхностные токи, которые , переходя в надслой и растекаясь в нем, приводят к появлению радиальных составляющих. Поэтому формула (67) дает заниженные значения по сравнению с реальными. Однако искать точное соотношение для R"п, по-видимому, нет необходимостни, поскольку Rп"/Rп' ≈ 10-4 ...10-5 и истинный вклад надслоя в полное сопротивление потерь преобразователя вряд ли окажется заметным. Следует отметить, что сопротивления подслоя и надслоя включены последовательно с пьезоэлементом. На этом основании при анализе работы преобразователя с коаксиальной возбуждающей системой более удобно пользоваться понятием импеданса, а не адмитанса. Покажем теперь на конкретном примере, как можно воспользоваться приведенными графиками и формулами для расчета конкретного пьезопреобразователя для частоты f =9,4 ГГц. Для пьезоэлемента Al-ZnO-Al при g = p = 0,4h зависимость δ(βh) представлена кривой 2 на рис. 4,б. Приводя в соответствие β0 h = 2,65 ; δ0 = 0,335 на этой кривой частоте f0 = 9,4 ГГц , найдем h = 0,27 мкм ; p = g = 0,11 мкм. Полагая d1 = 0,55 мм, имеем (1/ω0 C0) = 0,25 Ом, R = δ0/ω0C0 = 8,4.10-2 Oм. В случае d2 = 2 мм из (66) и (67) получим Rп' = 5,8.10-2 Ом , Rп" ≈ 10-8 Ом, на основании (62) и (64) найдем Rп Ф = 8,7.10-2 ; Z0 опт = 0,29 Ом. В случае двухступенчатого чебышевского перехода [14] при допуске на рассогласование |Γ| ≤ 0,05 волновое сопротивление выходной ступеньки равно 1,09 Ом , а зазор между проводниками в случае заполнения фторопластом составляет 0,026 мм. Для выбранной точки на кривой из (65) следует η = -4,1...-5,6 дБ в полосе частот ≈ 8,9...9,8 ГГц.
3.4 Объемный резонатор в качестве возбуждающей системы
пьезопреобразователя.
Рассмотрим обьемный резонатор, связанный со стандартным волново-
дом , с помощью которого он возбуждается от СВЧ генератора (рис 6,а). Благодаря этой связи резонатор нагружает волновод так, что к последнему оказывается подключенным некоторый импеданс. Предположим , что в емкостный зазор резонатора введен пьезоэлемент , закрепленный на торце звукопровода , или пьезоэлектрический стержень с отполированными плоскими параллельными торцами. Это эквивалентно внесению в резонатор дополнительного импеданса, называемого обычно импедансом излучения. Его действительная часть называется сопротивлением излучения и выделяемая на нем мощность, по сути дела, представляет собой мощность упругой волны, возбужденной в звукопроводе. Мнимая часть этого импеданса и
зменяет собственнуючастоту резонатора и может быть скомпенсирована за счет изменения положения подстроечного поршня. Эквивалентная схема для резонатора, связанного с генератором передающим трактом, представлена на рис. 6,б , где Rs - активное сопротивление , представляющее собственные потери

резонатора, R(ω) - сопротивление излучения преобразователя, C - емкость
резонатора , измененная внесением туда пьезопреобразователя. Элемент связи изображен в виде трансформатора, между обмотками которого имеет место взаимная индукция, характеризуемая коэффициентом M . Сам элемент связи представляет собой чистую реактивность, обозначенную на эквивалентной схеме индуктивностью L . Источник сигнала представлен генератором с ЭДС = E и внутренним сопротивлением , равным волновому сопротивлению линии Z0 . Следовательно, генератор считается согласованным с линией передачи. Воспользовавшись вторым правилом Кирхгофа для первичного и вторичного контуров на рис.6,б , можно записать:
Выражая i1 из (68), а i2 из (69) и подставляя соответственно в (69) и (68),получим:
Из уравнения (70) следует, что в первичную цепь со стороны контура вносится дополнительный импеданс (рис.7,а).
В свою очередь , уравнение (72) говорит о том , что всю колебательную систему можно представить как единый колебательный контур, в котором (см.рис.7,б) появляется дополнительное внесенное комплексное сопротивление

и некоторая ЭДС = E '. Мощность, выделяемая на активной составляющей внесенного импеданса (73) и есть та мощность, которая рассеивается во внешней цепи. Воспользуемся определением коэффициента связи:
где Wп.вне и Wп.вну - мощности потерь соответственно вне и внутри резонатора. Из этого определения следует
Для резонатора с большой добротностью выполняется условие
ωL1/Z0 << 1.
Поэтому запишем
Таким образом, полное сопротивление в плоскости элемента связи a-a
представляет собой сумму реактивного сопротивления элемента связи и внесенного импеданса Zвн (см.(72)).
Используя (75) и вводя новую переменную Δω=ω-ω 0 , а также полагая Δω/ω0 ‹‹ 1 и ωL1‹‹ 1, что справедливо для резонатора с большой добротностью, получим
Нам необходимо получить формулу для коэффициента преобразования η . В разделе 4.1 показано, что в любом случае величина η , как следует из (51) и (52), выражается формулой
Учитывая, что
нетрудно получить
Подставляя (78) в (77), будем иметь
Сопротивление потерь резонатора Rs можно выразить через собственную
добротность Q0:
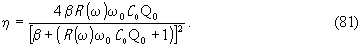
где C0 - емкость резонатора с учетом реактивности, вносимой пьезоэлементом. Тогда из (79) окончательно получим формулу для расчета коэффициента электроакустического преобразования в случае резонаторной возбуждающей системы.
При резонансе , т.е. когда Δω= 0 , будем иметь

4.ЭКСПЕРИМЕНТАЛЬНОЕ ИССЛЕДОВАНИЕ ЭЛЕКТРОАКУСТИЧЕСКОГО ПРЕОБРАЗОВАТЕЛЯ
4.1.Описание резонаторной конструкции возбуждающей системы. На рис.8 схематически изображена резонаторная возбуждающая система , пригодная для использования на частотах порядка сотен мегагерц. Она представляет собой объемный резонатор в виде отрезка коаксиальной линии,

закороченной с одной стороны подвижным поршнем 1 и нагруженной с другой стороны пьезопреобразователем 2. Последний может быть как пленочным пьезоэлементом, расположенным на плоском гладком торце звукопровода 3, так и просто пьезоэлектрическим стержнем с отполированным плоским торцом. На рис.8 видно, что звукопровод 3 введен в емкостный зазор резонатора через отверстие в торцевой стенке и прижат винтом 4 к торцу центрального проводника 6 коаксиальной линии. Проводник 6 поддерживается в трубке 7 с помощью диэлектрической шайбы 8. Чтобы винтом 4 не вызвать механических повреждений кристалла звукопровода 3, между ними располагается мягкая прокладка 5 (из резины или эбонита). Через отверстие в подвижном поршне 1 внутрь резонатора введена петля связи 9 с помощью коаксиального кабеля 10. Она служит для возбуждения ЭМ-колебаний в резонаторе от внешнего генератора и для вывода из него ЭМ-колебаний, появившихся в нем благодаря обратному преобразованию упругих волн, отраженных от другого торца звукопровода. Петля 9 лежит в плоскости чертежа, как показано на рис 8. При этом обеспечивается максимальная связь резонатора с передающим трактом. Поршень 1 с помощью трех стержней (тяг) (на рис.8 показан лишь один из них - стержень 11 ) и микрометрического винта (не показан) может перемещаться, обеспечивая плавное изменение собственной частоты резонатора. Длина последнего l определяется из условия резонанса:
где ω0 = 2πf0 - круговая резонансная частота, β0 = ω0 /C - постоянная распространения волны типа TEM , C0 -емкость зазора, в который введен пьезоэлемент, Z0 -волновое сопротивление коаксиальной линии, определяемое формулой [13]
Здесь D и d - диаметры внутреннего и внешнего проводников соответст-венно , ε - относительная диэлектрическая проницаемость среды, заполняющей линию. При выборе размеров D и d необходимо обеспечить в резонаторе возбуждение только основного типа волн (TEM). Для этого должно выполняться условие
Пример. Пусть d = 5 мм, D = 20 мм, C0 ~ 10-12 Ф, f = 800 МГц. Условие (84) выполняется с большим запасом. Из формул (82) и (83) получим l = 70 мм. Детали возбуждающей системы изготовлены из латуни с последующим электролитическим серебрением. Это обеспечивает высокую собственную добротность резонатора.
