1 Аналого-цифровое и цифро-аналоговое преобразование. Параметры типичных ацп и цап
| Вид материала | Документы |
- Исследование устройства цифрового управления, 88.93kb.
- Лекции (ч. 4) «Автоматизация измерений, контроля и испытаний», 248.04kb.
- А. А. Родионов, Д. В. Жохов,, 27.03kb.
- Новгородский Государственный Университет им. Ярослава Мудрого кафедра фттим контроль, 307.78kb.
- Основные элементы автоматизированных систем обработки данных, 71.11kb.
- Пояснительная записка с, рисунка, таблиц, источников, приложения. Графическая часть:, 27.37kb.
- Рабочей программы дисциплины Схемотехника телекоммуникационных устройств по направлению, 38.15kb.
- Крысы неслись через двор, повизгивая от возбуждения, 406.1kb.
- Слово "модем" является сокращением от слов "модулятор" и "демодулятор". Вы можете спросить,, 586.16kb.
- 6. 1ацп последовательного приближения, 393.79kb.
1-1. Аналого-цифровое и цифро-аналоговое преобразование. Параметры типичных АЦП и ЦАП.
1-2. БИХ фильтры и их свойства. Устойчивость БИХ фильтров.
2-1. Дискретные сигналы, стандартные дискретные сигналы. Линейные дискретные системы с постоянными параметрами.
2-2. Преобразование Фурье периодического сигнала. Преобразование Фурье дискретного сигнала.
3-1. Понятие устойчивости дискретной линейной системы. Критерий устойчивости.
3-2. КИХ фильтры и их свойства. Устойчивость КИХ фильтров.
4-1. Теорема Котельникова. Основная интерполяционная формула, ее достоинства и недостатки.
4-2. Виды ошибок квантования в цифровых фильтрах. Шум аналого-цифрового преобразования в случае округления и усечения.
5-1. Разностное уравнение как средство описания дискретных линейных систем. Построение блок-схем на основе разностных уравнений.
5-2. Суть Фурье-анализа сигналов. Условия Дирихле. Ряд Фурье - действительная и комплексная форма записи.
6-1. Структурные схемы и способы реализации цифровых фильтров. Рекурсивные и нерекурсивные фильтры.
6-2. Z-преобразование и его основные свойства.
7-1. Суть Фурье-анализа сигналов. Переход от ряда Фурье к преобразованию Фурье.
7-2. Понятие фильтров с конечной и бесконечной импульсной характеристикой.
8-1. Частотные характеристики цифровых фильтров. Свойства частотных характеристик, примеры частотных характеристик.
8-2. Основные свойства преобразования Фурье.
9-1. Требования к частотным характеристикам фильтров. Этапы разработки цифровых фильтров.
9-2. Преобразование Фурье. Преобразование Фурье дельта функции, комплексной экспоненты, константы.
10-1. Основные критерии качества и эффективности цифровых фильтров.
10-2. Случайные сигналы и их основные характеристики. Примеры случайных сигналов.
11-1. Дискретное преобразование Фурье. Связь спектральных отсчетов дискретного преобразования Фурье и спектра дискретного и аналогового сигнала.
11-2. Корреляционная и автокорреляционная функции.
12-1. Спектр дискретного случайного процесса. Методы оценки спектра дискретного случайного процесса.
12-2. Принципы проектирования БИХ и КИХ фильтров.
13-1. Фильтры Бесселя, Баттерворта, Чебышева, Гаусса и Эллиптические.
13-2. Проектирование цифровых фильтров в среде LabVIEW и MATLAB.
14-1. Дискретное преобразование Фурье. Оценка спектра непрерывного сигнала по его дискретным отсчетам.
14-2. Актуальность цифровых методов обработки для задач телемедицины. GRID-технология на службе здоровья.
15-1. Теорема Котельникова. Условия применимости. Частоты Найквиста и дискретизации.
15-2. Импульсная характеристика дискретной линейной системы.
16-1. Основные методы обработки изображений, используемые в сканирующей зондовой микроскопии.
16-2. Примеры проектирования КИХ-фильтров и БИХ-фильтров.
17-1. Прямое и обратно дискретное преобразование Фурье.
17-2. Роль и место цифровой обработки сигналов в системе наук и ее использование в медицине.
18-1. Идея быстрого преобразования Фурье. Выигрыш в сравнении с обычным ДПФ.
18-2. Основные требования к средствам ЦОС при обработке аудио и видеоинформации.
19-1. Частотные характеристики цифровых фильтров. Свойства частотных характеристик, примеры частотных характеристик.
19-2. Необратимость процесса обработки изображений. Теряемая и выявляемая при фильтрации информация.
20-1. Двумерные цифровые сигналы. Двумерное ДПФ, способы его вычисления и примеры использования.
20-2. Характерные примеры сигналов и спектров, с которыми сталкиваются медики.
21-1. Методы описания и анализа дискретных линейных систем.
21-2. Основные характеристики, области применения и архитектура интегральных схем ЦОС.
22-1. Методы анализа и синтеза цифровых фильтров. Архитектура цифровых фильтров.
22-2. Среда программирования LabView.
23-1. Основные задачи по обработке сигналов и способы их решения. Область применения систем цифровой обработки.
23-2. Аппаратные средства компании National Instruments.
1-1. Аналого-цифровое и цифро-аналоговое преобразование. Параметры типичных АЦП и ЦАП.
При аналого-цифровом преобразовании АЦП содержит компараторы на каждый дискретный уровень входного сигнала, и при определении уровня только компараторы, соответствующие уровням ниже уровня входного сигнала, выдают на выходе сигнал. Также существуют АЦП, которые последовательно приближаются к входному уровню, с каждым шагом отнимая по верхнему разряду и замеряющие следующий разряд. При обратном преобразовании стабильный источник напряжения включается на время, пропорциональное преобразуемому цифровому коду, а затем сигнал фильтруется ФНЧ. Разрядность - важная характеристика ЦАП/АЦП, определяет количество дискретных уровней, которые может определить устройство, то есть его точность. Определяется в битах. Частота оцифровки - частота, с которой снимаются сигналы на АЦП и выдаются на ЦАП, требуется, чтобы она была хотя бы в два раза больше, чем частота максимального входного сигнала, иначе результат на выходе будет некорректен. Частоты современных АЦП применяемых, например, в осциллографах составляет около 50-200Мгц, а для мощных систем типа многоканальных приемников сотовых сетей составляют и гигагерцы. АЦП считается высокоточным уже при 14 разрядах (16 тысяч дискретных значений), но современные АЦП доходят и до 24 разрядов (16 миллионов дискретных значений).
1-2. БИХ фильтры и их свойства. Устойчивость БИХ фильтров.
БИХ фильтр - фильтр с бесконечной импульсной характеристикой, то есть использующий свой же выход в качестве входа, образуя обратную связь. Основное свойство фильтра в том, что импульсная переходная характеристика имеет бесконечную длину во времени, а передаточная функция записывается в дробно-рациональном виде. Разностное уравнение БИХ-фильтра записывается таким образом:
, где P - порядок входного сигнала, Q - порядок обратной связи,
- коэффициенты входного сигнала,
- коэффициента обратной связи,
- входной сигнал,
- выходной сигнал. Передаточная функция БИХ-фильтра: 
Для устойчивости БИХ-фильтра необходимо и достаточно, чтобы все полюса его передаточной функции по модуля были меньше единицу (лежали внутри единичного круга на z-плоскости).
Структурная схема БИХ-фильтра:

По передаточной функции легко отличить БИХ фильтр от КИХ фильтра: в БИХ-фильтре присутствует обратная связь.
2-1. Дискретные сигналы, стандартные дискретные сигналы. Линейные дискретные системы с постоянными параметрами.
Дискретный сигнал - сигнал, принимающий конечно число значений. Цифровой сигнал - дискретный, принимающий свои значения в конечные моменты времени. Дельта-функция Дирака - функция, имеющая значение бесконечности в точке
, а в остальных точках имеющая значение 0, но при этом
. Цифровой сигнал обычно выражается набором ступенчатых сигналов конечного числа высот. Зная импульсную характеристику систему и входной сигнал, можно узнать выходной сигнал как их свертку:
, где 
2-2. Преобразование Фурье периодического сигнала. Преобразование Фурье дискретного сигнала.
Преобразование Фурье - разложение исходной функции на элементарные гармонические колебания различных частот. Для периодического сигнала преобразование будет иметь конечное число членов, так как исходный сигнал уже является гармоникой или их суммой, а значит преобразование будет иметь вид ступенчатых функций на частотах, обратных периоду исходного сигнала. Для дискретного сигнала преобразование будет иметь бесконечное число членов, так как каждый член - приближение к дискретному значению, но идентичность с исходным сигналом будет достигнута только при бесконечно большом количестве членов. Если подвергнуть исходный сигнал
преобразованию Фурье, то получившаяся функция будет называться спектральной плотностью
. Обратное же преобразование Фурье проводится так:
. Спектральное разрешение (мера количества возможных частот при преобразовании Фурье) зависит от временного окна, которое может позволить иметь меньшее разрешение по времени, но большее по частоте. Оконное преобразование Фурье это
, где
– оконная функция, позволяющая исследовать сигнал только на каком-то определенном промежутке времени, так как в реальных устройствах неизвестно предыдущее состояние сигнала и будущее. С ее помощью возможно выделить основную частоту при растекании спектра, а остальные заметно ослабить. Одним из важных свойств преобразования Фурье является линейность, то есть спектр суммы сигналов равен сумме спектров сигналов. Также при изменении масштаба оси времени, то есть замены
на
его спектр будет равен
.Преобразование Фурье дифференцированного сигнала будет равно преобразованию Фурье исходного, помноженного на
, а преобразование Фурье интегрированного сигнала будет равно преобразованию Фурье исходного, деленного на
.3-1. Понятие устойчивости дискретной линейной системы. Критерий устойчивости.
Линейная система – система, в которой выполняется принцип линейности, то есть
и
, где A – линейный оператор,
и
– входные сигналы. Система называется устойчивой, если с течением времени
стремится к конечному значению (асимптотически устойчивой, если к нулю). Примеры систем: 
В нелинейных системах может не выполняться условие линейности:
. Например, если нелинейный элемент – зона насыщения, то
:Е
сли сумма импульсных характеристик системы конечна, то система называется устойчивой. Для анализа устойчивости систем можно применять критерии устойчивости, например, критерий Найквиста, который гласит, что система устойчива, если ее годограф при изменении частоты от 0 до
охватил точку -1 полраза. Или чтобы все корни характеристического уравнения системы лежали в пределах единичного круга (на плоскости z).3-2. КИХ фильтры и их свойства. Устойчивость КИХ фильтров.
КИХ фильтр – фильтр с конечной импульсной характеристикой, чье основное свойство в том, что в какой-то момент времени его импульсная характеристика становится равной точно нулю. Разностное уравнения КИХ-фильтра записывается таким образом:
, где P - порядок входного сигнала,
- коэффициенты входного сигнала,
- входной сигнал. Передаточная функция БИХ-фильтра:
. КИХ-фильтры всегда устойчивы, так как не требуют наличия обратной связи. Общая схема реализации КИХ-фильтра: 
На основе КИХ можно создавать фильтры низких и высоких частот, а также полосо-пропускающие или полосо-заграждающие фильтры. Типичная ЛАЧХ фильтров низких и высоких частот соответственно:

И для полосно-пропускающего и режекторного:

Полосно-пропускающий фильтр – это свертка фильтра низких и высоких частот, а режекторный – их сумма. Фильтр высоких частот на КИХ можно получить, используя оконное преобразование
.4-1. Теорема Котельникова. Основная интерполяционная формула, ее достоинства и недостатки.
Теорема Котельникова гласит, что если аналоговый сигнал имеет ограниченный спектр, то он может быть восстановлен без потерь по своим дискретным отсчетам, взятым с частотой больше удвоенной верхней частоты его спектра. При дискретизации с частотой меньше удвоенной верхней частоты спектра сигнала возникает алиасинг, то есть частота, которая выходит за пределы половины частоты дискретизации, отражается в спектральной области относительно верхней частоты спектра сигнала. Основная интерполяционная формула, по которой, при соблюдении теоремы Котельникова, может быть восстановлен исходный сигнал:
, где
– период дискретизации,
. Для устранения высокочастотных помех с сигнала перед его оцифровкой устанавливается ФНЧ, также это позволяет гарантированно получить сигнал без алиасинга. Для тех же целей ФНЧ устанавливается на выходе ЦАП. Для оцифровки узкополосного высокочастотного сигнала он переносится в силу тригонометрии в начало спектра и там уже оцифровывается, а при восстановлении учитывается этот перенос.4-2. Виды ошибок квантования в цифровых фильтрах. Шум аналого-цифрового преобразования в случае округления и усечения.
Разрядность - важная характеристика ЦАП/АЦП, определяет количество дискретных уровней, которые может определить устройство, то есть его точность. Определяется в битах. Частота оцифровки - частота, с которой снимаются сигналы на АЦП и выдаются на ЦАП, требуется, чтобы она была хотя бы в два раза больше, чем частота максимального входного сигнала, иначе результат на выходе будет некорректен. В связи с этим при умножении или сложении чисел некоторый разряд будет округляться, и это является ошибкой квантования. Также среди ошибок квантования стоит отметить шум аналого-цифрового квантования (чаще всего он является белым, но не всегда) и неточность реализации характеристик цифрового фильтра из-за округления их параметров. Ошибку квантования можно представить в виде модели идеального фильтра
(с неквантованными коэффициентами
и
) и паразитного фильтра
, коэффициенты которого зависят от погрешностей
, рассматриваемых как статически независимые величины с равномерными распределениями. Джиттером называются случайные фазовые или частотные отклонения сигнала, возникающие вследствие нестабильности исходного сигнала или различной скорости распространения частотных составляющих одного сигнала. В АЦП джиттер вызван тем, что у кварцевого генератора, который задает частоту дискретизации, имеются ненулевые фазовые шумы, таким образом, моменты времени получения отсчетов расположены на временной оси не совсем равномерно, это приводит к размыванию спектра и ухудшению качества сигнала.5-1. Разностное уравнение как средство описания дискретных линейных систем. Построение блок-схем на основе разностных уравнений.
Цифровой фильтр - это дискретно-временная система, выходной сигнал которой является модифицированной версией входного сигнала.
Фильтры являются основой для большинства приложений обработки сигналов. Типичное назначение - это извлечение или вырезка области спектра входного сигнала или определенной частоты. Используемые для кондиционирования сигналов фильтры нередко называются частотно-селектирующими, поскольку обычно разрабатываются на основе требований к частотной характеристике.
Понятие о разностном уравнении (РУ)
Цифровые фильтры, в силу дискретной природы ЦВМ, принимаются сигналы к обработке только в дискретные моменты времени. Информация о промежуточных значениях сигнала теряется. Таким образом, обрабатываемая цифровым фильтром входная непрерывная функция становится решетчатой.
Аналогом первой производной для решетчатой функции является обратная разность:
С f[n] = f[n] - f[n-1]
Аналогов второй - вторая обратная разность:
С2 f[n] = С f[n] - С f[n-1] = f[n] - 2 f[n-1] + f[n-2]
Аналогом ДУ для цифрового фильтра является уравнение в конечных разностях или разностное уравнение (РУ). Как и непрерывные системы, цифровые фильтры могут быть описаны совокупностью РУ, или одним, решенным относительно требуемой координаты. В общем случае, цифровой фильтр имеющий один вход и один выход описывается РУ:

где: y[k] - выходная координата цифрового фильтра; x[k] - входная; aj и bi - постоянные коэффициенты, они же фигурируют в знаменателе и числителе соответствующей дискретной передаточной функции (z-ПФ).
Это уравнение отражает взаимосвязь между k-тым выходным значением и рядом предыдущих значений на входе и выходе в количестве m и n соответственно.
Если коэффициенты aj равны нулю (a0 ≠ 0), то РУ и программа его реализующая не рекурсивные; фильтр обладает конечной импульсной характеристикой и называется КИХ-фильтром.
Если коэффициенты aj не равны нулю, то РУ и программа его реализующая рекурсивные; фильтр обладает бесконечной импульсной характеристикой и называется БИХ-фильтром.
Итак: Выходное значение цифрового фильтра есть взвешенная сумма текущего и нескольких предыдущих значений как входного сигнала, так (в случае БИХ-фильтров) и предыдущих значений выходного сигнала.
Переход от РУ к z-ПФ. Реализация фильтра
Пусть требуется реализовать цифровой фильтр, описанный РУ:
Если перейти к изображению Лапласа, выполнив подстановку для значений решетчатых функций f[k-j] = F[s]exp(-jsT), затем перейти к Z-изображению с помощью подстановки F[s]exp(-jsT) = F[z]z(-j), и, наконец, найти отношение изображений выходной и входной величин, то получим дискретную передаточную функцию (z-ПФ): W(z) = Y(z)/ X(z). По полученной передаточной функции можно реализовать блок-схему (или наоборот из нее найти РУ). По параметрам передаточной функции определяются характеристики фильтра. ВСПОМИНАЕМ ТАУ (z-реализация)!!
Примеры (БИХ фильтр):


5-2. Суть Фурье-анализа сигналов. Условия Дирихле. Ряд Фурье - действительная и комплексная форма записи.
Ряд Фурье — представление произвольной функции f с периодом τ в виде ряда
(1)Коэф ряда:



Числа a0, an и bn называются коэффициентами Фурье функции f. Формулы для них можно объяснить следующим образом. Предположим, мы хотим представить функцию
в виде ряда (1), и нам надо определить неизвестные коэффициенты a0, an и bn. Если умножить правую часть (1) на cos(kx) и проинтегрировать по промежутку [ − π,π], благодаря ортогональности в правой части все слагаемые обратятся в нуль, кроме одного. Из полученного равенства легко выражается коэффициент ak. Аналогично для bkВ комплексной форме
, обратное - 
Признак Дирихле — теорема, указывающая достаточные условия сходимости несобственных интегралов и суммируемости бесконечных рядов.
Функция называется удовлетворяющей условиям Дирихле на [а, b], если она:
1) непрерывна на [а, b] или имеет конечное число точек разрыва 1 рода;
2) кусочно-монотонна на [а, b], т.е. отрезок [а, b] можно разделить на конечное число отрезков, внутри которых функция либо только возрастает, либо только убывает, либо постоянна.
Т (Дирихле): Если периодическая функция с периодом [-pi;pi] удовлетворяет на любом отрезке из R условиям Дирихле, то р.Ф. для функции сходится
Спектр сигнала — в радиотехнике это результат разложения сигнала на более простые в базисе ортогональных функций. В качестве разложения обычно используются преобразование Фурье
Оконное преобразование Фурье

где
даёт (вообще говоря несколько искажённое) распределение частот части оригинального сигнала f(t) в окрестности времени t.Классическое преобразование Фурье имеет дело со спектром сигнала, взятым во всем диапазоне существования переменной. Нередко интерес представляет только локальное распределение частот, в то время как требуется сохранить изначальную переменную (обычно время). В этом случае используется обобщение преобразования Фурье, так называемое оконное преобразование Фурье. Для начала необходимо выбрать некоторую оконную функцию W, эта функция должна иметь хорошо локализованный спектр.
На практике дискретный спектральный анализ реализован в современных цифровых осциллографах и анализаторах спектра. Используется, как правило, выбор окна из 3—10 типов окон. Применение окон принципиально необходимо, поскольку в реальных приборах исследуется всегда некоторая вырезка из исследуемого сигнала. При этом разрывы сигнала вследствие вырезки резко искажают спектр из-за наложения спектров скачков на спектр сигнала.
Некоторые анализаторы спектра используют быстрое (или кратковременное) оконное преобразование. При нём сигнал заданной длительности разбивается на ряд интервалов с помощью скользящего окна того или иного типа. Это позволяет получать, исследовать и строить в виде спектрограмм динамические спектры и анализировать их поведение во времени. Спектрограмма строится в трёх координатах — частота, время и амплитуда. При этом амплитуда задаётся цветом или оттенком цвета каждого прямоугольника спектрограммы. Подобные анализаторы спектра называют анализаторами спектра реального времени. Основным их производителем является корпорация Tektronix (США). Такие анализаторы появились в конце прошлого века и ныне бурно развиваются. Частотный диапазон исследуемых ими сигналов достигает сотен ГГц.
6-1. Структурные схемы и способы реализации цифровых фильтров. Рекурсивные и нерекурсивные фильтры.
Цифровой фильтр — в электронике любой фильтр, обрабатывающий цифровой сигнал с целью выделения и/или подавления определённых частот этого сигнала. В отличие от цифрового аналоговый фильтр имеет дело с аналоговым сигналом, его свойства недискретны, соответственно передаточная функция зависит от внутренних свойств составляющих его элементов.
Линейный стационарный цифровой фильтр характеризуется передаточной функцией. Передаточная функция может описать, как фильтр будет реагировать на входной сигнал. Таким образом, проектирование фильтра состоит из постановки задачи (например, фильтр восьмого порядка, фильтр низких частот с конкретной частотой среза), а затем производится расчет передаточной функции, которая определяет характеристики фильтра .
Передаточная функция фильтра имеет вид:

где порядок фильтра - большее N или M. В данном случае это формула БИХ-фильтра. Если знаменатель равен единице, то получаем формулу КИХ-фильтра (без обратной связи).
ПОСМОТРЕТЬ БИЛЕТЫ ПО ЭТИМ ФИЛЬТРАМ. ПРИВЕСТИ БЛОК-СХЕМЫ!
БИХ – рекурсивный фильтр, КИХ – нерекурсивный фильтр
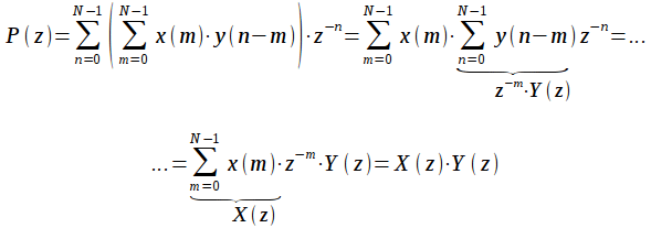
6-2. Z-преобразование и его основные свойства.
Если имеется передаточная характеристика аналогового фильтра в виде нулей и полюсов фильтра, то для того чтобы фильтр стал дискретным необходимо периодически «размножить» нули и полюса с периодом (смотри рисунок 2). При этом мы получим бесконечное количество нулей и полюсов дискретного фильтра, что не совсем удобно. Для облегчения анализа вводят z-преобразование путем отображения комплексной s-плоскости в комплексную z-плоскость вида:

Тогда преобразование Лапласа дискретного сигнала переходит в z – преобразование:

При переходе из комплексной s – плоскости в комплексную z-плоскость все бесконечно-повторяющиеся нули и полюса дискретного фильтра в s плоскости отображаются в конечное количество нулей и полюсов в z-плоскости. Тогда выражение для передаточной характеристики дискретного фильтра может быть представлено при помощи подстановки (7) через конечное количество нулей и полюсов в z-плоскости как:

Свойства z-преобразования
Рассмотрим некоторые свойства z-преобразования.
Свойство 1. Линейность. Z-образ суммы двух сигналов равен сумме z-образов этих сигналов.
Свойство 2. Свойство задержки. задержка исходного сигнала на m добавляет множитель
к z-преобразованию сигнала. Тогда задержка на один отсчет соответствует 
Свойство 3. Теорема о свертке.

При выводе было использовано свойство задержки z-преобразования. Таким образом z-преобразование свертки сигналов равно произведению их z-образов.
7-1. Суть Фурье-анализа сигналов. Переход от ряда Фурье к преобразованию Фурье.
См вопросы 5-2, 8-2
7-2. Понятие фильтров с конечной и бесконечной импульсной характеристикой.
Импульсной характеристикой называют реакцию фильтра на единичный импульс поданный на его вход. Под единичным импульсом понимается такой сигнал, что в момент времени t=0 он равен 1, а во все остальные моменты времени он равен нулю.
Любой временной ряд заданный в дискретном виде можно представить как сумму единичных импульсов в разные (последовательные) моменты времени взятых с амплитудой соответствующей значению сигнала в этот момент времени. Для линейных цифровых фильтров откликом на входной сигнал будет просто сумма откликов на каждый входящий в сигнал единичный импульс.
Импульсная характеристика - это очень важная характеристика цифрового фильтра. Она полностью и однозначно описывает его свойства. Т.е. нет никаких дополнительных характеристик линейного ЦФ, которые было бы невозможно получить из импульсной характеристики.
Сама по себе Импульсная характеристика может быть не очень удобна для изучения свойств ЦФ, поэтому вместо нее обычно используют производные от нее Амплитудно-частотную (АЧХ) и Фазо- частотную характеристики (ФЧХ). Они связаны с импульсной характеристикой преобразованием Фурье. Эта связь опять же взаимно однозначна, т.е. из АЧХ и ФЧХ можно восстановить импульсную характеристику.
Также прочитать 5 билет, 1 вопрос и КИХ и БИХ фильтры!!!!
8-1. Частотные характеристики цифровых фильтров. Свойства частотных характеристик, примеры частотных характеристик.
Реализация фильтров проще в цифровом виде в связи со сложностью физической реализации некоторых фильтров в аналоговом виде.


Фильтр Гаусса (Gaussian filter) обычно используется в цифровом виде для обработки двумерных сигналов (изображений) с целью снижения уровня шума. Однако при ресемплинге он дает сильное размытие изображения.
Фильтры Бесселя чаще всего используют для аудио-кроссоверов. Их групповая задержка практически не изменяется по частотам полосы пропускания, вследствие чего форма фильтруемого сигнала на выходе такого фильтра в полосе пропускания сохраняется практически неизменной.
АЧХ фильтра Баттерворта максимально гладкая на частотах полосы пропускания и снижается практически до нуля на частотах полосы подавления. При отображении частотного отклика фильтра Баттерворта на логарифмической АФЧХ, амплитуда снижается к минус бесконечности на частотах полосы подавления
Фильтр Чебышева — один из типов линейных аналоговых или цифровых фильтров, отличительной особенностью которого является более крутой спад амплитудно-частотной характеристики (АЧХ) и существенные пульсации амплитудно-частотной характеристики на частотах полос пропускания (фильтр Чебышева I рода) и подавления (фильтр Чебышева II рода), чем у фильтров других типов.
Эллиптический фильтр (Фильтр Кауэра) — электронный фильтр, характерной особенностью которого является пульсации амплитудно-частотной характеристики как в полосе пропускания, так и полосе подавления. Величина пульсаций в каждой из полос независима друг от друга. Другой отличительной особенностью такого фильтра является очень крутой спад амплитудной характеристики, поэтому с помощью этого фильтра можно достигать более эффективного разделения частот, чем с помощью других линейных фильтров.
Если пульсации в полосе подавления равны нулю, то эллиптический фильтр становится фильтром Чебышёва I рода. Если пульсации равны нулю в полосе пропускания, то фильтр становится фильтром Чебышёва II рода. Если же пульсации отсутствуют на всей амплитудной характеристике, то фильтр становится фильтром Баттерворта.
8-2. Основные свойства преобразования Фурье.
Св-ва преобразований Фурье:
Преобразование Фурье является линейным оператором:

Формула обращения:
справедлива, если интеграл в правой части имеет смысл.Теорема о свертке:
, где 
Преобразование Фурье и дифференцирование

Преобразование Фурье и сдвиг.

Преобразование Фурье и растяжение.

9-1. Требования к частотным характеристикам фильтров. Этапы разработки цифровых фильтров.
Амплитудно-частотная характеристика (АЧХ) — функция, показывающая зависимость модуля некоторой комплекснозначной функции от частоты. Чаще всего означает модуль комплексного коэффициента передачи линейного четырёхполюсника.
Фазово-частотная характеристика (ФЧХ) — частотная зависимость разности фаз между выходным и входным сигналами. Для линейной электрической цепи, зависимость сдвига по фазе между гармоническими колебаниями на выходе и входе этой цепи от частоты гармонических колебаний на входе.

Логарифмическая амплитудно-фазовая частотная характеристика (ЛАФЧХ) — представление частотного отклика линейной стационарной системы в логарифмическом масштабе.
Электрическим фильтром называется четырехполюсник, предназначенный для передачи без искажений части спектра входного сигнала, лежащего в определенном диапазоне частот, — полосе пропускания и подавления спектральных составляющих, лежащих в других частотных диапазонах, — полосе задерживания. Идеальный
В зависимости от относительного расположения полос пропускания и задерживания, фильтры подразделяют на ФНЧ, ФВЧ, ПФ, З
Фильтр Баттерво́рта — один из типов электронных фильтров. Фильтры этого класса отличаются от других методом проектирования. Фильтр Баттерворта проектируется так, чтобы его амплитудно-частотная характеристика была максимально гладкой на частотах полосы пропускания.
Фильтр Чебышева — один из типов линейных аналоговых или цифровых фильтров, отличительной особенностью которого является более крутой спадамплитудно-частотной характеристики (АЧХ) и существенные пульсации амплитудно-частотной характеристики на частотах полос пропускания (фильтр Чебышева I рода) и подавления (фильтр Чебышева II рода), чем у фильтров других типов. Фильтры Чебышева обычно используются там, где требуется с помощью фильтра небольшого порядка обеспечить требуемые характеристики АЧХ, в частности, хорошее подавление частот из полосы подавления, и при этом гладкость АЧХ на частотах полос пропускания и подавления не столь важна.
Эллиптический фильтр (Фильтр Кауэра) — электронный фильтр, характерной особенностью которого является пульсации амплитудно-частотной характеристики как в полосе пропускания, так и полосе подавления. Величина пульсаций в каждой из полос независима друг от друга. Другой отличительной особенностью такого фильтра является очень крутой спад амплитудной характеристики, поэтому с помощью этого фильтра можно достигать более эффективного разделения частот, чем с помощью других линейных фильтров.
Фильтр Бесселя — в электронике и обработке сигналов один из наиболее распространённых типов линейных фильтров, отличительной особенностью которого является максимально гладкая групповая задержка (линейная фазо-частотная характеристика).
Фильтр Гаусса — электронный фильтр, спроектированный таким образом, чтобы не иметь перерегулирования в переходной функции и максимизировать постоянную времени. Такое поведение тесно связано с тем, что фильтр Гаусса имеет минимально возможную групповую задержку.

Для передачи сигнала без искажения необходимо равенство единице амплитудно-частотной характеристики фильтра в полосе пропускания и линейная зависимость от частоты фазового сдвига. Однако их строгое выполнение на практике невозможно.
Так же возможны предъявления специфических свойств к фильтрации сигналов для решения различных задач и эффектов.
Неравномерность АЧХ в полосе пропускания, величина подавления сигнала в полосе задержания и ширина переходной области зависят от порядка и типа фильтра.
Этапы разработки цифровых фильтров.
