Моделирование электростатических и электромагнитных полей приминительно к процессам газоочистки и электролиза
| Вид материала | Документы |
- Научно-образовательный материал компьютерное моделирование электромагнитных полей, 22.61kb.
- Лабораторная работа по физике №2-24. Экспериментальные исследования электростатических, 311.12kb.
- Математическое моделирование многомерных квазистационарных электромагнитных полей, 380.28kb.
- Новые методы защиты населения крупных городов от электромагнитных полей, шума и радоновыделения, 102.38kb.
- Применение электромагнитных волн миллиметрового диапазона в ортопедии и травматологии, 15.01kb.
- Московский государственный технический университет «мами», 64.38kb.
- Факторов влияющих на жизнедеятельность, 1625.04kb.
- 1 изучение электростатического поля методом моделирования, 117.54kb.
- Применение Аппарат «Рикта -01», 11.92kb.
- Аннотация дисциплины, 34.98kb.
МОДЕЛИРОВАНИЕ ЭЛЕКТРОСТАТИЧЕСКИХ И ЭЛЕКТРОМАГНИТНЫХ ПОЛЕЙ ПРИМИНИТЕЛЬНО К ПРОЦЕССАМ ГАЗООЧИСТКИ И ЭЛЕКТРОЛИЗА
А.Ш. Любанова, К.В.Митин
Сибирский федеральный университет, Красноярск
MODELLING OF ELECTROSTATIC AND ELECTROMAGNETIC FIELDS WITH REFERENCE TO PROCESSES OF GAS PURIFICATION AND ELECTROLYSIS
A.S.Ljubanova, K.V.Mitin
The Siberian federal university, Krasnoyarsk
Studying of managerial processes by many systems is connected with modeling of streams of the charged particles, electric and electromagnetic fields. Such researches have especially big practical value for optimum control of electric drives, electrostatic devices of clearing of gases, units for painting of large objects, metallurgical processes that allows to use energy of an electric current effectively. Modeling of electric and electromagnetic fields allows to study electric and magnetic streams, and also streams of not relativistic charged particles that is actual both for working out of new gauges, and for designing of industrial filters.
Введение
Изучение процессов управления многими системами связано с моделированием потоков заряженных частиц, электрических и электромагнитных полей. Особенно большое практическое значение такие исследования имеют для оптимального управления электроприводами, электростатическими устройствами очистки газов, агрегатами для покраски крупных объектов, металлургическими процессами (в частности, электролизом алюминия и других металлов), что позволяет эффективно использовать энергию электрического тока.
В последние годы активно создаются регулируемые асинхронные электроприводы, применение которых в силу преимуществ асинхронных двигателей отражает прогрессивную тенденцию развития автоматизированных электрических приводов [1].
Моделирование электрических и электромагнитных полей позволяет изучать электрические и магнитные потоки, а также потоки нерелятивистских заряженных частиц (пыли, газов), что актуально как для разработки новых датчиков, так и для проектирования промышленных фильтров.
Целью данной работы является моделирование движения заряженных частиц в электрическом поле электродов.
Математическая модель потока заряженных частиц
Частицы распределены равномерно на катоде. Вылетая с катода, заряженные частицы летят по параболической траектории. Для расчёта данной траектории в пространстве используются компоненты скорости и ускорения по координатам x и у (рис. 1), так как траектории движения заряженных частиц находятся в плоскостях, параллельных координатной плоскости xOy. При отсутствии столкновений заряженные частицы перемещаются равноускоренно под действием электрического потенциала [2]. Однако реальная траектория движения является случайной, поскольку скорость и ускорение заряженной частицы в каждой точке ее траектории зависят от случайных столкновений с другой заряженной частицей или стенкой ёмкости, являющейся диэлектриком. Поэтому в каждой точке рассчитывается свой вектор ускорения, который затем используется для определения скорости в этой точке.
![]() |
Рис. 1. Движение частицы: l1 – длина пластин электродов; d – расстояние между пластинами;
– проекции вектора скорости по осям X и Y; К – катод; А – анод.В основу математической модели движения заряженной частицы положены законы движения электрона под действием электрической силы. Для каждого участка траектории строятся отдельные уравнения движения, с помощью которых находятся координаты и скорость частицы в любой момент времени t. Поскольку вдоль оси z перемещений нет, мы будем рассматривать движение в плоскости xOy.
Пусть частица достигает второго электрода за время T, то есть t изменяется в промежутке от 0 до T. Уравнения движения частицы имеют вид:
, | (1) |
. | (2) |
Для однозначного определения закона движения необходимо задать начальные условия:
| x(0)=x0, x(0)=v0x, | (3.1) |
| y(0)=y0, y(0)=v0y. | (3.2) |
Напряженность электростатического поля зависит от координат точки между электродами, в которой находится частица в момент времени t, то есть от координат x, y и, следовательно, от t. Поэтому решение задачи Коши (1) – (3.2) построим приближенно с помощью сплайнов.
Рассмотрим промежуток времени t настолько малый, чтобы на участке траектории движения частицы от точки (x(t), y(t)) до точки (x(t+t), y(t+t)) напряженность
можно было приближенно считать постоянной.Как известно (см. [2] гл. 1), при однородном заряде q и постоянной напряженности
система кинематических уравнений плоского движения частицы в электрическом поле имеет вид: , | (4) |
. | (5) |
Тогда приближенная модель закона движения заряженной частицы представляет собой вектор-функцию
, где Sx(t) и Sy(t) – это квадратичные сплайны, построенные на сетке
:
,
. На каждом промежутке
вектор-функция
задается функциями
и
, которые являются решением задачи Коши (1) – (3.2) с начальными данными: ![]() | (6) |
и
, | (7) |
. | (8) |
Таким образом,
, | (9) |
. | (10) |
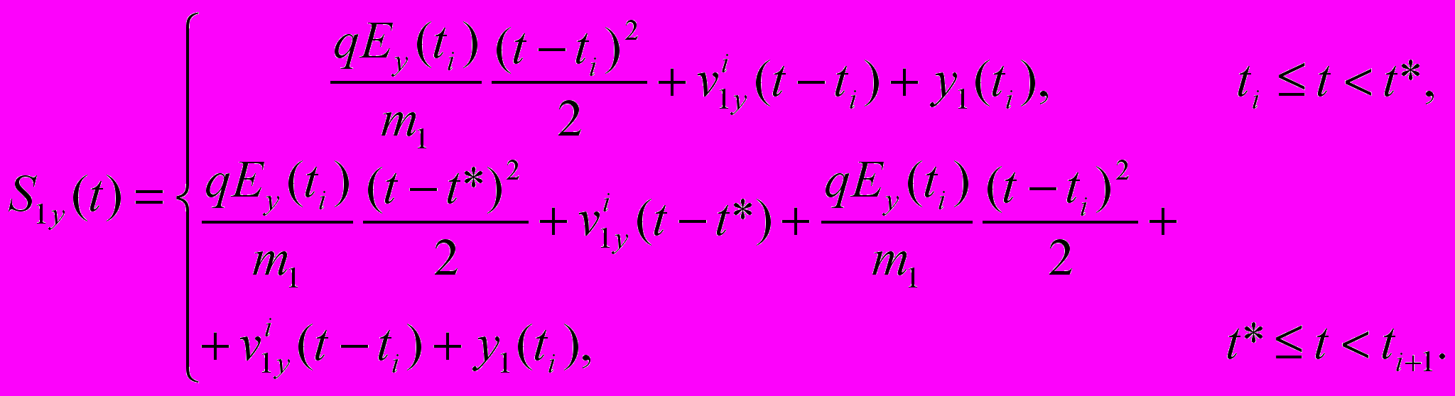
Если происходит столкновение двух частиц в момент
, летящих со скоростями
и
(рис. 2), то траектория первой частицы меняется по следующему закону:
Рис. 2. Столкновение двух частиц: m1, m2 массы частиц;
,
скорости движения частиц до столкновения;v1, v2 – скорости движения частиц после столкновения.
![]() | (11) |
![]() | (12) |
Аналогичным образом изменяется траектория второй частицы:
![]() | (13) |
![]() | (14) |
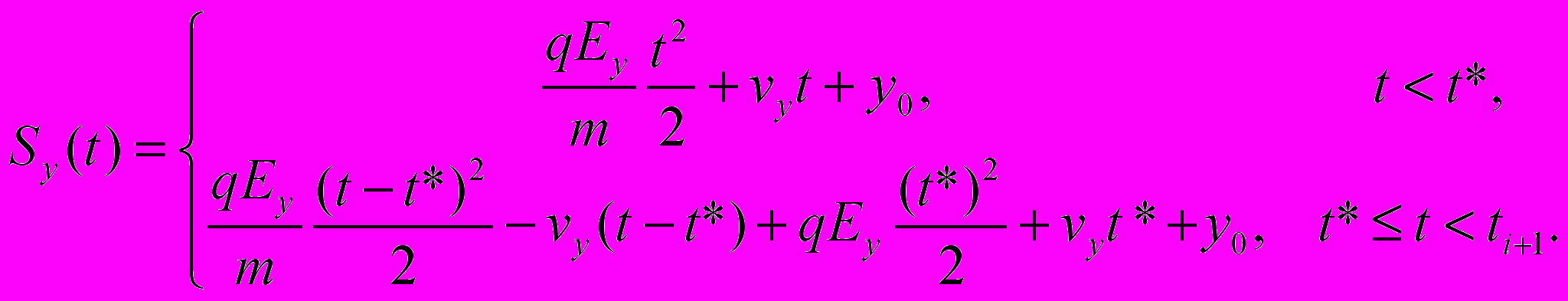
При ударе частицы о стенку емкости угол падения частицы на стенку будет равен углу отражения от нее (рис. 3).

Рис. 3. Изменение направления движения частицы при ударе о стенку: m масса частицы;
скорость движения частицы; a – угол падения частицы.В этом случае траектория движения траектория движения частицы моделируется следующим образом:
![]() | (15) |
![]() | (16) |
После удара частицы о вертикальную стенку меняется знак проекции vy на противоположный, и траектория движения определяется по закону:
![]() | (17) |
![]() | (18) |
В любом из описанных случаев координата z остается постоянной, то есть z=z0.
Релятевистские частицы одного и того же типа имеют одинаковую массу. Для релятивистских частиц масса не учитывается, и берется равной единице для всех частиц. Поэтому уравнения свободного движения на каждом промежутке [ti, ti+1] имеют вид:
, | (19) |
. | (20) |
В начальный момент времени заряженная частица находится в точке (0, y0, z0).
В случае соударения частиц или удара частицы о стенку емкости траектории движения частиц формируются по законам (9)–(18) с m=1.
Моделирование движения релятивистских частиц при параллельном расположении электродов
При параллельном расположении электродов
, тогда система кинематических уравнений плоского движения частицы в электрическом поле примет вид: , | (21) |
. | (22) |
И первый участок сплайна будет рассчитываться следующим образом:
, | (23) |
. | (24) |
Область моделирования представляет собой пространство между катодом и анодом, окруженное стенками, являющимися диэлектриками, она имеет геометрическую форму параллелепипеда. Построение области моделирования начинается с задания фона, затем строятся стенки и сами катод и анод (для процессов газоочистки коронирующий и осадительный электроды). Построение области моделирования проходит с использованием векторной графики.
Начальное положение заряженной частицы моделируется случайным образом по равномерному закону распределения. Далее моделируется следующие координаты частицы (x1, y1, z0) и среднюю скорость перемещения частицы в точку с этими координатами (9)–(18). Затем осуществляется проверка принадлежности смоделированных координат области моделирования. Случай, когда координаты не входят в область моделирования, означает либо приход частицы на анод, либо удар о стенку емкости.
Если не смоделирован приход частицы на анод, моделируется столкновение частицы со стенкой емкости. Если в данный момент времени координаты моделируемых частиц совпадают, моделируется столкновение частиц. Когда координаты частицы совпадают с координатами анода, частица стирается, происходит осаждение.
Моделирование потенциала и напряженности электростатического поля
Напряженность электростатического поля определяется как отрицательный градиент потенциала поля f [3, часть 2]
. | (25) |
Согласно уравнениям Максвелла
. | (26) |
Таким образом, потенциал f удовлетворяет уравнению Лапласа в области x( – d/2, d/2), y(0, l1) (рис. 1) и граничным условиям
f(–d/2, y) = q, f(d/2, y) = qА, f(x, 0) = f(x, l1) = 0,
где qА – заряд на аноде.
Для расчета потенциала была использована пятиточечная разностная схема, построенная на сетке с одинаковым шагом h по x и y [4]. Для решения разностной задачи применялся метод простых итераций:
, k = 1, 2, …, | (27) |
где i – координата узла сетки по оси y, а j – по оси x. Компоненты вектора напряженности вычисляются, с помощью разностных производных:
![]() | (28) |
После этого значения массива f содержат значения потенциалов в каждой точке поля и используются как для построения полета заряженных частиц, так и для отрисовки потенциалов, определяя цвет и его глубину [5].
Численный эксперимент моделирования применительно процесса газоочистки в электрофильтре проводился для электрофильтра ЭГАВ 1-40-9-6-4, который используется на красноярском цементном заводе, для очистки отходящих газов.
Заряд на электродах распределен равномерно с единичной плотностью, потенциалы электродов моделируются в плоскости координат x и y, потому что эти потенциалы не зависят от ширины электродов z [6, 7, 8].
Эмулятор был разработан в интегрированной среде разработки приложений Delphi. Для построения графики используется библиотека для работы с 3D графикой OpenGL (Open Graphics Library) [5, 6, 7, 8].
При незначительной модернизации эмулятор можно использовать для моделирования электромагнитных полей [6, 7, 8].
Список литературы
- Браславский И. Я. Асинхронный полупроводниковый электропривод с параметрическим управлением [Текст] / И. Я. Браславский. М.: Энергоатомиздат, 1988.
- Тамм И. Е. Основы теории электричества [Текст] / И. Е. Тамм. М.: Наука, 1989. – 504 с.
- Шимони К. Теоретическая электротехника [Текст] / К. Шимони. М.: Мир, 1964. – 775 с.
- Самарский А. А. Теория разностных схем [Текст] / А. А. Самарский. М.: Главная редакция физико-математической литературы изд-ва «Наука», 1977. – 656 с.
- OpenGL [Электронный ресурс]: Электрон. Журн. – 2011 – Режим доступа к журналу: ссылка скрыта.
- Любанова, А. Ш. 3D моделирование электрических и электромагнитных полей / А. Ш. Любанова, К. В. Митин // Наука и технологии. Том 2. Труды XXVIII Российской школы: сб. науч. тр. – М: РАН, 2008. – С. 105-112.
- Любанова, А. Ш. 3D моделирование электрических и электромагнитных полей / А. Ш. Любанова, К. В. Митин // Наука и технологии. Секция 4. Динамика и управление. – Краткие сообщения XXVIII Российской школы. – Екатеринбург: УрО РАН, 2008. – С. 57-59.
- Митин, К. В. Моделирование электрических и электромагнитных полей / К. В. Митин // Научная сессия ТУСУР–2009: Материалы докладов Всероссийской научно-технической конференции студентов, аспирантов и молодых ученых. 12–15 мая 2009 г.: В пяти частях. – Ч. 4. – Томск: В-Спектр, 2009. – 352 с. – С. 229-232.


,
.
,
.
,
.
,
.







,
.
,
,
.
.
.
, k = 1, 2, …,