Разработка механизма формирования конкурентной стратегии в отраслях олигополии
| Вид материала | Автореферат |
- Комарницкий Георгий Михайлович 2005г. Планкина М. диплом, 862.78kb.
- Тема доклада, 23.84kb.
- Программа семинара, 31.81kb.
- Называются олигополиями. Именно об этих отраслях пойдет речь в данной главе, 102.91kb.
- Контрольная работа по дисциплине «Экономика отрасли», 232.31kb.
- М. А. Косов 2011 г. Вопросы к экзамену, 51.32kb.
- А. А. Исаев маркетинг в отраслях и сферах деятельности опорный конспект, 172.87kb.
- Разработана схема механизма самонастройки, позволяющего вести его оперативную переналадку, 95.07kb.
- Разработка научно-методологических основ формирования стратегии развития газовой отрасли, 693.02kb.
- Анализ конкурентной среды цар для стратегического позиционирования ОАО газпром, 138.56kb.
Н
а правах рукописи
Филатов Александр Николаевич
РАЗРАБОТКА МЕХАНИЗМА ФОРМИРОВАНИЯ КОНКУРЕНТНОЙ СТРАТЕГИИ В ОТРАСЛЯХ ОЛИГОПОЛИИ
Специальность: 08.00.05 – Экономика и управление народным хозяйством
(промышленность)
АВТОРЕФЕРАТ
диссертации на соискание ученой степени
кандидата экономических наук
Уфа - 2006
Работа выполнена в ГОУ ВПО «Магнитогорский государственный технический университет им. Г. И. Носова»
| Научный руководитель: | кандидат экономических наук, доцент Козлова Татьяна Владимировна |
| Официальные оппоненты: | доктор экономических наук, профессор Зиннуров Ульфат Гаязович кандидат экономических наук Каплан Алексей Владимирович |
| Ведущая организация: | ГОУ ВПО «Южно-Уральский государственный университет», г. Челябинск |
Защита состоится «19» января 2007 г. в 14-30 часов на заседании регионального диссертационного совета Д 002.198.01 в Уфимском научном центре Российской академии наук по адресу: 450054, г. Уфа, Проспект Октября, 71.
С диссертацией можно ознакомиться в Научной библиотеке Уфимского научного центра РАН.
Автореферат разослан «___» ________________ 200__г.
Ученый секретарь регионального
диссертационного совета,
д.э.н., проф. Климова Н.И.
1. ОБЩАЯ ХАРАКТЕРИСТИКА РАБОТЫ
Актуальность темы исследования обусловлена значимостью стратегического менеджмента в практике работы российских предприятий. Во многом данный факт связан с осознанием необходимости стратегического типа управления в условиях, когда внешняя среда предприятия подвержена значительным и быстрым изменениям.
Система стратегического управления предполагает формирование стратегии предприятия на нескольких уровнях: корпоративная стратегия, конкурентные стратегии, функциональные и операционные стратегии. Конкурентные стратегии занимают особое место в системе стратегического управления предприятием, поскольку именно они во многом определяют нижестоящие функциональные и операционные стратегии. Механизм формирования конкурентной стратегии зависит от ряда факторов, ключевым из которых является тип рыночной структуры отрасли, в которой функционирует предприятие.
Олигополия на сегодняшний день является одной из самых распространенных рыночных структур. Многие отрасли российской промышленности: черная и цветная металлургия, нефтепереработка, химическая и трубная промышленность, а также некоторые другие имеют олигополистическое строение.
Специфика олигополии, обусловленная сильной степенью взаимосвязи участников, существенно расширяет стратегические возможности предприятия в таких отраслях в сравнении с другими рыночными структурами. При этом одной из основных стратегических проблем, с которой сталкиваются предприятия в отраслях олигополии, является проблема позиционирования организации по отношению к своим конкурентам для достижения более высоких экономических результатов в долгосрочной перспективе.
Анализ различных источников показал, что вопросы формирования конкурентной стратегии предприятия в отраслях олигополии, учитывающие специфику данного типа рынка, рассмотрены недостаточно полно. Необходимо отметить отсутствие четкого алгоритма действий при разработке стратегии предприятия, слабую проработанность аналитических инструментов, характеризующих возможные стратегические альтернативы организации в данной отрасли.
Наличие научной проблемы, а также недостаточная теоретическая проработка возможных путей ее решения в существующих источниках обуславливают актуальность темы исследования.
Целью исследования является разработка механизма формирования конкурентной стратегии предприятия в отраслях олигополии, учитывающего все особенности данного типа рынка.
Для достижения поставленной цели исследования необходимо решить следующие задачи:
- определить основные стратегические альтернативы предприятия в отраслях олигополии;
- разработать аналитические инструменты для расчета равновесных значений параметров отрасли, необходимых для оценки конкурентной стратегии равновесия предприятия;
- разработать методику оценки вероятности стабилизации в отрасли, как инструмент диагностики возможности реализации конкурентной стратегии равновесия;
- установить последовательность и взаимосвязь отдельных аналитических инструментов процесса формирования конкурентной стратегии предприятия в отраслях олигополии.
Объект исследования – промышленные предприятия отраслей олигополии, характеризующихся дифференцированным или высокостандартизированным продуктом.
Предметом исследования являются аналитические инструменты, используемые при формировании конкурентной стратегии предприятия в отраслях олигополии.
Теоретической и методологической основой исследования являются труды отечественных и зарубежных авторов по стратегическому менеджменту, экономической теории, теории отраслевых рынков.
Разработка концепций стратегического менеджмента нашла отражение в работах таких западных авторов, как И. Ансофф, Ф. Котлер, Ж. Ж. Ламбен, М. Мескон, Г. Минцберг, М. Портер, К. Прахалад, А. Дж. Стрикленд, А. А. Томпсон, Г. Хэмел и др. Среди российских экономистов, занимавшихся вопросами разработки стратегии необходимо выделить Г. Л. Азоева, О. С. Виханского, Р. А. Фатхутдинова, А. Ю. Юданова и др.
Значительный вклад в понимание путей возможного разрешения заявленной научной проблемы внесли труды западных ученых, занимавшихся анализом и формами поведения предприятий в отраслях олигополии. Среди таких ученых необходимо выделить Бертрана, Курно, Салопа, Форхаймера, Хотеллинга, Штакельберга, Эджворта и др.
Для достижения поставленной цели и решения задач в исследовании были использованы общие и специальные методы научного познания. К общим методам необходимо отнести: анализ и синтез, абстрагирование и сравнение. К специальным – методы экономико-математического моделирования, решения систем неравенств, интегрирования, основные принципы процессного подхода.
Информационные основы исследования. В качестве информационных источников использовались монографии, учебники, журнальные статьи; материалы бухгалтерской и финансовой отчетности предприятий; законодательные акты и нормативные документы; результаты моделирования.
Научная новизна основных результатов исследования:
- Определены основные стратегические альтернативы предприятия в отраслях олигополии, которые, в отличие от существующих, включают стратегию противодействия, стратегию кооперации и стратегию равновесия. Предложенный набор стратегических альтернатив позволяет в полной мере учесть высокую степень взаимосвязи предприятия и его конкурентов при разработке стратегии.
- Разработана однофакторная модель пространственной дифференциации продукта с дискретным размещением покупателей, основанная, в отличие от известных, на определении объемов продаж участников рынка олигополии с использованием математического выражения линии «безразличных» покупателей, что позволяет осуществить расчет равновесных цен в отраслях с любым числом производителей.
- Разработана методика оценки возможности достижения равновесного состояния в отрасли, основанная на характеристике равновесия с позиции его потенциальной прибыльности и устойчивости. Предложенная методика позволяет получить качественную оценку вероятности стабилизации на рынке олигополии с любым числом участников.
- Разработан алгоритм формирования конкурентной стратегии предприятия в отраслях олигополии, основанный, в отличие от известных, на последовательном использовании набора аналитических инструментов, ключевыми из которых являются оценка степени дифференциации продукта отрасли и оценка возможности достижения равновесного состояния. Предложенный алгоритм позволяет осуществить разработку стратегии организации с учетом высокой степени взаимосвязи участников олигополистического рынка.
Достоверность и обоснованность научных результатов обеспечена использованием комплекса взаимодополняющих методов исследования, адекватных целям, надежной информации, воспроизводимостью результатов исследования и репрезентативностью полученных экспериментальных данных. Выводы и рекомендации, содержащиеся в диссертации, теоретически обоснованы и аргументированы.
Практическая значимость результатов исследования заключается в том, что предложенный механизм формирования конкурентной стратегии позволяет оценить все возможные стратегические альтернативы промышленного предприятия в отраслях олигополии и выбрать оптимальную из них при помощи набора существующих и разработанных аналитических инструментов. Предложенные многомерные модели пространственной дифференциации продукта могут быть использованы не только для расчета равновесных значений цен, но и применяться в качестве инструмента ценообразования в отраслях олигополии с высокостандартизированным продуктом.
Апробация результатов исследования проведена на примере разработки конкурентной стратегии ООО «Производство металлоизделий» на рынке жестяной евротары малого объема для лакокрасочной промышленности (акт внедрения № 3 от 07.02.2006).
Основные положения диссертационной работы были представлены на пяти научных конференциях, в том числе: «Современные проблемы развития экономической теории» (г. Астрахань, 2005), «Социально-экономические проблемы переходного периода» (г. Уфа, 2005), 64-ой научно - технической конференции по итогам научно-исследовательских работ за 2004-2005 гг. (г. Магнитогорск, 2006), «Конкуренция и конкурентоспособность. Организация производства конкурентоспособной продукции» (г. Новочеркасск, 2005), «Наука – эффективность – рост» (г. Киров – Йошкар-Ола - София, 2006).
Публикации: основные положения диссертации отражены в 7 публикациях общим объемом 2,75 п.л., в том числе лично авторских – 2,3 п.л.
Структура и объем диссертационной работы. Диссертационная работа состоит из введения, трех глав, заключения, списка использованных источников и приложений. Работа представлена и изложена на 205 страницах машинописного текста, включает 37 таблиц, 38 рисунков.
2. ОСНОВНЫЕ НАУЧНЫЕ РЕЗУЛЬТАТЫ, ВЫНОСИМЫЕ НА ЗАЩИТУ
2.1. Определение основных стратегических альтернатив предприятия в отраслях олигополии
Проведенный в диссертационном исследовании анализ существующих механизмов формирования конкурентной стратегии предприятия позволил сделать вывод о недостаточной проработанности данного вопроса применительно к отраслям олигополии. В существующих источниках набор стратегических альтернатив предприятия в отраслях данного типа ограничивается лишь возможностью противодействия или кооперации с конкурентами. Между тем, особенности олигополистического строения рынка, характеризующиеся высокой степенью взаимосвязи участников, предполагают и наличие третьей стратегической альтернативы предприятия, направленной на снижение интенсивности конкурентной борьбы в отрасли без явного сговора с другими участниками. Выделение данной стратегической альтернативы в качестве конкурентной стратегии предприятия в диссертационном исследовании основано на следующих положениях:
- стратегия предприятия представляет собой позицию, которую стремится занять фирма по отношению к действующим конкурентам;
- в отраслях олигополии возможна стабилизация конкурентной борьбы без явного сговора участников, что реализуется посредством достижения точки равновесия.
Стратегические альтернативы предприятия в отраслях олигополии, предложенные в диссертационной работе, представлены на рис. 1.

Рис. 1. Основные стратегические альтернативы предприятия в отраслях олигополии
Проведенная оценка каждой из предложенных стратегических альтернатив предприятия в отраслях олигополии позволила сделать следующие выводы:
- инструменты стратегии противодействия уже достаточно изучены в существующих источниках по стратегическому менеджменту;
- реализация стратегии кооперации сопряжена со значительными рисками вмешательства государства и неустойчивости самого механизма сговора.
В соответствии с указанными положениями в исследовании акцентируется внимание на стратегии равновесия, при этом предложено определение равновесного состояния в отрасли, характеристика возможной стабилизации, основные этапы оценки и реализации данной стратегической альтернативы (рис. 2).
Расчет равновесных значений стратегических переменных
Оценка возможности достижения равновесного состояния
Достижение и поддержание равновесного состояния


Рис. 2. Основные этапы оценки и реализации стратегии равновесия предприятия
Аналитическими инструментами первого из указанных этапов являются экономико-математические модели, характеризующие поведение предприятий в отраслях олигополии. Оценка возможности достижения равновесного состояния в отрасли является ключевым из перечисленных этапов, поскольку именно на основании результатов данной оценки осуществляется выбор конкурентной стратегии предприятия. Этап достижения и поддержания равновесного состояния заключается в разработке конкурентных действий предприятия, направленных на цели стабилизации отрасли.
2.2. Многомерная модель пространственной дифференциации продукта с дискретным размещением покупателей
Существующим моделям пространственной дифференциации продукта (Хотеллинг, Салоп), предназначенным для расчета равновесных значений цен участников отрасли, присущи такие недостатки, как линейность моделей, предположение об однородности покупателей, ограниченность числа участников.
Для устранения указанных недостатков в исследовании предложены многомерные модели пространственной дифференциации продукта, ключевой из которых является однофакторная модель с дискретным размещением покупателей.
Модель предназначена для расчета равновесных значений цен в отраслях олигополии с высокостандартизированным продуктом. Областью применения разработанной экономико-математической модели являются рынки продукции промышленного назначения с любым числом участников.
Параметрами экономико-математической модели являются: 1) t – транспортные расходы на единицу продукции за единицу расстояния; 2)
– переменные издержки i-ого участника; 3)
– цена за единицу продукта i-ого участника; 4) m – количество участников отрасли (производителей продукции); 5)
– расстояние между i-ым и j-ым участником; 6) n – число покупателей; 7)
– объем потребления i-ого покупателя; 8) rij – расстояние от i-ого покупателя до j-ого производителя; 9) h – количество групп покупателей, способных платить разную максимальную цену за продукт; 10) i – максимальная цена, которую готов заплатить за единицу продукта каждый из покупателей i-ой группы.Целевая функция экономико-математической модели для i-ого участника представлена формулой (1)
, (1)где
- функция объема реализации i-ого участника.Специфика предлагаемой модели заключается в способе определения объема реализации продукции при заданном уровне цен предприятия и его конкурентов, то есть нахождение вида функции
.Объем реализации i-ого участника в модели с дискретным размещением покупателей определяется посредством поочередного анализа его взаимодействия с каждым из конкурентов (рис. 3).

Обозначения:
p1 и p2 – уровень цен первого и второго производителя соответственно
t – величина транспортных расходов на единицу продукта
r1 и r2 – расстояния от покупателя в пространстве до каждого из производителей
- максимальная цена, которую готов заплатить покупатель
Рис. 3. Взаимодействие участников в однофакторной модели с дискретным размещением покупателей
Объем продаж производителя (рис. 3) складывается из объемов потребления покупателей, находящихся в зоне его монопольной власти, и части области конкуренции. Для распределения потребителей, находящихся в области конкуренции, в исследовании введено понятие «безразличного» покупателя.
«Безразличный» покупатель – это потенциальный покупатель, размещенный в определенной точке рассматриваемого пространства, для которого при определенном соотношении цен производителей
и
, выполняется отношение (2)
, (2)где
,
– расстояния от данного покупателя до первого и второго производителя соответственно.В исследовании установлено, что линия «безразличных» покупателей, определяющая границу распределения объемов продаж между производителями в области их конкуренции, в зависимости от соотношения цен имеет вид гиперболы или прямой (3)
, (3)где L – расстояние между предприятиями;
С – разность расстояний от покупателя до каждого из предприятий (
);
и
– цена первого и второго производителей соответственно.Объем реализации исследуемого предприятия рассчитывается посредством последовательного размещения каждой пары «фирма-инициатор – конкурент» в условную систему координат, нахождения математического вида линии «безразличных покупателей» и идентификации потребителей (рис. 4).

Рис. 4. Алгоритм определения объема реализации i-ого участника в однофакторной модели с дискретным размещением покупателей
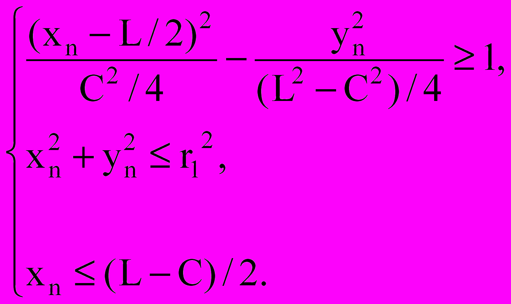
Для идентификации потребителей i-ого участника при взаимодействии «i - j» необходимо использовать следующие условия:
- если
, тогда для покупателя, расположенного в точке (
) условной системы координат, необходимо выполнение системы неравенств (4)
(4)- если
, тогда должна выполняться система неравенств (5)
(5)- если
, тогда необходимо выполнение совокупности систем неравенств (6)
(6)После нахождения объема продаж, посредством итераций определяется значение pi, максимизирующее целевую функцию модели при заданных ценах конкурентов. Последовательная смена уровня цены каждого из соперников позволяет определить ряды данных, являющиеся характеристикой функции отклика i-ого участника. Аналогичные расчеты проводятся для каждого производителя в отрасли. Точка равновесия определяется графически или посредством анализа рядов данных, характеризующих функции отклика всех участников.
В исследовании предложены варианты оценки параметров и переменных экономико-математической модели, определены основные этапы ее практического использования.
Практическое применение разработанной экономико-математической модели на примере российского рынка жестяной тары позволило сделать вывод о наличии «неявной» точки равновесия в отраслях, характеризующихся продукцией промышленного назначения и дискретностью размещения покупателей в пространстве.
2.3. Методика оценки возможности достижения равновесия
Следующим этапом характеристики стратегии равновесия является поиск ответа на вопрос о возможности стабилизации конкурентной борьбы в отрасли. Предложенная в исследовании методика оценки возможности достижения равновесия в олигополии основана на сравнении количественных значений цен участников, полученных в результате применения многомерных моделей пространственной дифференциации продукта.
Согласно предлагаемой методике способность отрасли к достижению равновесного состояния следует характеризовать с позиции потенциальной прибыльности равновесия для участников рынка (варианты сравнения I и III) и его устойчивости (вариант сравнения II) (рис. 5).

Рис. 5. Варианты сравнения результатов моделирования для оценки возможности достижения равовесного состояния в дуополии
На основании представленых сравнений в исследовании выделены три характеристики вероятности достижения равновесия в дуополии (рис. 6).
| «низкая» | «средняя» | «высокая» |
![]() | ![]() ![]() | ![]() |
Рис. 6. Характеристики вероятности достижения равновесия в дуополии
Для однозначной характеристики вероятности достижения равновесия в отрасли с m числом участников системы неравенств на рис. 6 должны выполняться для каждой пары предприятий.
На основании предложенной методики в исследовании сделан вывод о том, что предприятию необходимо направлять усилия на выработку конкурентных действий, способствующих стабилизации только в ситуации, когда отрасль характеризуется высокой вероятностью достижения равновесия. При этом для однозначного ответа на вопрос о возможности стабилизации рынка при низкой или средней оценке ее вероятности, необходимо охарактеризовать существенность разрывов между
и
, а также между
и
. Такая характеристика возможна лишь на основе тщательного анализа прошлого поведения конкурента, а также знании его текущих и будущих целей.Применение разработанного инструмента оценки вероятности стабилизации отрасли на примере российского рынка жестяной евротары малого объема позволило сделать следующие важные выводы:
- достижение равновесия возможно лишь в тех отраслях, где высока доля транспортных расходов в общих затратах покупателей;
- достижение равновесия возможно лишь в тех отраслях, где нет явного лидера по издержкам.
2.4. Алгоритм формирования конкурентной стратегии в олигополии
Существующие и разработанные аналитические инструменты для оценки стратегических альтернатив предприятия, использование принципов процессного подхода позволили определить алгоритм формирования конкурентной стратегии в олигополии (табл. 1, рис. 7).
Таблица 1
Характеристика подпроцессов механизма формирования конкурентной стратегии предприятия в олигополии
| Наименование подпроцесса | Аналитические инструменты подпроцесса | Вход | Выход |
| Определение границ отрасли | - | Цели исследования | Продукт, географические границы отрасли |
| Характеристика отрасли | - | Продукт, географические границы отрасли | Информация о конкурентах, товарах-заменителях, покупателях, поставщиках, потенциальных конкурентах |
Продолжение табл. 1
| Наименование подпроцесса | Аналитические инструменты подпроцесса | Вход | Выход |
| Предварительная оценка степени дифференциации продукта | Качественная оценка на основании получения ответов на ряд вопросов | Продукт, географические границы отрасли | Дифференцированная олигополия / слабодифференцированный или стандартный продукт |
| Анализ конкурентов | Методика анализа конкурентов М.Портера | Конкуренты, потенциальные конкуренты | Вероятные действия конкурента, уязвимые места конкурента, наиболее сильные ответные меры конкурента |
| Оценка возможности достижения равновесия | ЭММ и методика оценки возможности достижения равновесия | Слабодифференциро-ванный или стандартный продукт | Информация о вероятности: низкая, средняя, высокая (в последнем случае устанавливает цели и ориентиры) |
| Структурный анализ отрасли | Модель пяти сил М. Портера, карта стратегических групп | 1.Информация о конкурентах, товарах-заменителях, покупателях, поставщиках, потенциальных конкурентах. 2.Оценка степени дифференциации: дифференцированная олигополия; 3.Вероятность достижения равновесия: низкая, средняя | Рекомендации по защите от действия конкурентных сил |
| Анализ возможных базовых стратегий | Качественная оценка рисков различных типов стратегий | Рекомендации по защите от действия конкурентных сил | Цели и ориентиры |
| Разработка конкурентных действий | Качественная оценка различных типов стратегического поведения и конкурентных действий | 1.Цели и ориентиры 2. Вероятные действия конкурента, уязвимые места, наиболее сильные ответные меры конкурента | Конкретные действия для достижения рыночных ориентиров |

Рис. 7. Механизм формирования конкурентной стратегии предприятия в отраслях олигополии
В диссертационном исследовании установлено, что ключевой характеристикой отраслей олигополии в процессе выбора предприятием основной стратегической альтернативы является тип рынка с точки зрения возможностей дифференциации продукта. Возможность или наличие дифференцированного товара в отрасли требует совершенно других стратегических подходов, нежели ситуация высокостандартизированного продукта. В последнем случае борьба между конкурентами, как правило, намного сильнее и ожесточенней. Именно на рынках стандартного продукта или продукта со слабой степенью дифференциации основу стратегического мышления предприятия должно составлять желание к достижению рыночного равновесия, благоприятного для всех участников. Если же продукт отрасли характеризуется высокой степенью текущей или будущей дифференциации, то предприятию следует выбрать стратегию противодействия в качестве основной стратегической позиции.
Вторым ключевым этапом предложенного алгоритма формирования конкурентной стратегии в олигополии является оценка вероятности стабилизации отрасли. Окончательный выбор предприятия в пользу стратегии равновесия возможен лишь после тщательного анализа потенциальной прибыльности и устойчивости равновесного состояния.
Предложенный в диссертационной работе механизм, в отличие от существующих, позволяет выбрать основную стратегическую позицию предприятия, характеризующую его конкурентную стратегию, учитывая сильную взаимосвязь участников рынка олигополии.
3. ОСНОВНЫЕ ВЫВОДЫ И РЕКОМЕНДАЦИИ
1. В диссертационном исследовании предложены три основные стратегические альтернативы предприятия в отраслях олигополии, включающие стратегию противодействия, стратегию кооперации и стратегию равновесия. Выделение данных альтернатив основано на понимании конкурентной стратегии, как позиции, которую занимает фирма в отношении своих конкурентов. Включение в набор стратегических альтернатив предприятия стратегии равновесия позволяет в полной мере учесть высокую степень взаимосвязи участников олигополии при формировании конкурентной стратегии организации. В результате проведенного исследования предложено определение равновесного состояния, механизм возможной стабилизации отрасли, установлены основные этапы оценки и реализации стратегии равновесия: расчет равновесных значений стратегических переменных, характеристика вероятности стабилизации отрасли, достижение и поддержание равновесного состояния.
2. Разработаны инструменты расчета равновесных значений цен участников олигополии, ключевым из которых является многомерная модель пространственной дифференциации продукта с дискретным размещением покупателей. Предложенная экономико-математическая модель основана на определении объема продаж предприятия с использованием математического выражения линии «безразличных» покупателей. В отличие от известных моделей Хотеллинга и Салопа, разработанный аналитический инструмент обладает большей практической значимостью, поскольку позволяет произвести расчет цены равновесия для отрасли с любым числом участников. Апробация предложенной экономико-математической модели на примере рынка жестяной тары для лакокрасочной промышленности позволила установить наличие «неявной» точки равновесия в отраслях, характеризующихся продукцией промышленного назначения и дискретностью размещения покупателей в пространстве.
3. В диссертационном исследовании разработана методика оценки вероятности стабилизации в отрасли, основанная на характеристике потенциальной прибыльности и устойчивости равновесия. Предложенная методика позволяет получить качественную характеристику стабилизации в отрасли: «высокая», «средняя», «низкая». Апробация разработанной в исследовании методики на примере рынка жестяной тары для лакокрасочной промышленности позволила установить дополнительные условия стабилизации конкурентной борьбы: отсутствие явного лидера по издержкам, высокая доля транспортных расходов в общих затратах покупателя.
4. В диссертационном исследовании предложен алгоритм формирования конкурентной стратегии предприятия в отраслях олигополии, предполагающий: определение границ и характеристику отрасли, оценку степени дифференциации продукта, оценку возможности достижения равновесного состояния в отрасли, анализ конкурентов, структурный анализ отрасли, анализ вариантов базовых конкурентных стратегий, разработку конкурентных действий. Ключевыми этапами разработанного алгоритма являются оценка степени дифференциации продукта и оценка вероятности стабилизации конкурентной борьбы в отрасли. Предложенный в исследовании механизм формирования конкурентной стратегии в олигополии позволяет осуществить разработку стратегии с учетом высокой степени взаимосвязи участников данного рынка, определить наиболее эффективную стратегическую позицию предприятия посредством применения существующих и разработанных аналитических инструментов, выявить конкурентные действия, способствующие достижению целей и ориентиров, соответствующих занятой стратегической позиции.
Основные положения диссертации отражены в следующих публикациях:
- Филатов А. Н. Формирование стратегических решений в условиях олигополии // Современные проблемы развития экономической теории: Материалы международной научной конференции. Астрахань: ЦНТЭП, 2005. С. 242-244 (0,21 п.л.).
- Филатов А. Н. Принятие решений на рынках олигополии: кооперация или конкуренция? // Социально-экономические проблемы переходного периода: Материалы Всероссийской научно-практической конференции, посвященной 60-летию Победы в ВОВ. Уфа: РИО БашГУ, 2005. С. 113-116 (0,34 п.л.).
- Козлова Т. В., Филатов А. Н. Классификация некооперативных моделей олигополии // Вестник МГТУ им. Г. И. Носова. 2005. №2. С.30-32 (0,37 п.л., авт. – 0,19 п.л.).
- Козлова Т. В., Филатов А. Н. Многомерная модель пространственной дифференциации продукта с дискретным размещением покупателей // Материалы 64-й научн.-технич. конф. по итогам научн.-исслед. работ за 2004-2005 гг.: Сб. докл. Магнитогорск: ГОУ ВПО «МГТУ», 2006. Т.2. С. 171-175 (0,29 п.л., авт. – 0,15 п.л.).
- Козлова Т. В., Филатов А. Н. Условия применения базовых стратегий конкуренции на рынке олигополии // Конкуренция и конкурентоспособность. Организация производства конкурентоспособной продукции: Материалы IV Международной научно-практической конференции. Новочеркасск: ООО НПО «ТЕМП», 2005. Ч. 1. С. 40-43 (0,29 п.л., авт. – 0,15 п.л.).
- Филатов А. Н. Алгоритм расчета равновесных значений стратегических переменных участников отрасли // Наука – эффективность – рост: Материалы международной научно-практической конференции. Киров – Йошкар-Ола – София: Изд-во МЦНИП, МарГУ, ВТУ им. Каблешкова, 2006. С. 25-28 (0,27 п.л.).
- Филатов А. Н. Особенности формирования конкурентной стратегии предприятия в отраслях олигополии – Современное управление. 2006. №9. С. 111-120 (0,98 п.л.).




