План психолого-педагогічного семінару для керівників шкіл Місце проведення : нвк «Дзвіночок»
| Вид материала | Документы |
- План заочного семінару-тренінгу тема семінару: «Судово-психологічна експертиза в цивільному, 387.76kb.
- План практичного семінару шкільних бібліотекарів Місце проведення: Дмитрушківська зош, 440.92kb.
- Програма проведення міського семінару-практикуму для методистів відділів освіти виконкомів, 55.04kb.
- Інформація про переможців Всеукраїнських учнівських олімпіад 2011 року, 182.8kb.
- Коровченко Ірина Юріївна, 78.93kb.
- Орієнтований план проведення Державною податковою адміністрацією в Одеській області, 38.65kb.
- Про проведення педагогічного експерименту, 264.87kb.
- Семінару, 336.33kb.
- Мирвода Оксана Олександрівна музкерівник днз №41 «Весняночка» Калинівської селищної, 58.29kb.
- Програма проведення семінару для банківських установ за участі фахівців дпc україни, 72.45kb.
Затверджено
Завідуюча РМК Біла С.В.
План
психолого-педагогічного
семінару для керівників шкіл
Місце проведення : НВК «Дзвіночок»
Дата проведення: 16 жовтня 2009 року
Тема. Формування індивідуального стилю роботи вчителя
- Професійна компетентність учителя .
Гончаренко С.В., методист РМК
- Знайомство «Карта»
Гончаренко С.В., методист РМК
- Вправа «Портрет сучасного вчителя»
Гончаренко С.В., методист РМК
- Ієрархічна структура педагогічної спрямованості вчителів
Гончаренко С.В., методист РМК
- Вчитель у структурі міжособистісних стосунків
Гончаренко С.В., методист РМК
- Індивідуальний стиль діяльності вчителя
Гончаренко С.В., методист РМК
- Вправа «Учитель — учень»
Гончаренко С.В., методист РМК
- Тест «Самооцінка уроку й ефективність навчання»
Гончаренко С.В., методист РМК
- Створення позитивного іміджу вчителя
Гончаренко С.В., методист РМК
Методист РМК С.В.Гончаренко
Матеріали до психолого-педагогічного семінару
для керівників шкіл 16 жовтня 2009 року
Особистість педагога є цілісною: професія і «Я» взаємопов'язані. Це відбувається тому, що,
по-перше, людина засвоює необхідні знання тільки в особистісному контексті;
по-друге, оволодіти професійною майстерністю можна лише на індивідуальному творчому рівні.
Специфіка педагогічної діяльності зумовлює особливу значущість соціально-психологічних рис, які сприяють міжособистісній та рольовій взаємодії між педагогом та учнем, педагогом і педагогом, педагогом та адміністрацією.
Психолого-педагогічна компетентність учителя — це поєднання визначених рис особистості з високим рівнем професійної підготовки до педагогічної діяльності і колективною взаємодією з учнями в навчально-виховному процесі.
Основою психолого-педагогічної компетентності є активне (дієве) знання закономірностей особистісного розвитку людини на різних вікових етапах.
Психологічними аспектами педагогічної компетентності є:
- • диференційно-психологічні знання про особливості засвоєння навчального матеріалу конкретними учнями відповідно до індивідуальних та вікових характеристик;
• соціально-психологічні знання про особливості навчально-пізнавальної і комунікативної діяльності навчальної групи, конкретного учня в ній, про особливості взаємин учня із класом, закономірності спід-кування;
• аутопсихологічний аспект — знання про преваги та недоліки власної педагогічної діяльності, риси своєї особистості.
Високий рівень психологічних знань дозволяє педагогу переструктурувати всю систему раніше набутих знань і кодувати нові таким чином, щоб засвоєння цих знань стало засобом розвитку власних здібностей.
Мета тренінгу: підвищення компетентності молодих педагогів у спілкуванні (розвиток комунікативних навичок, творчого компоненту у професійній діяльності, уміння розкрити своє сприймання ситуації, формування психологічної спрямованості).
ПРОФЕСІЙНА КОМПЕТЕНТНІСТЬ ПЕДАГОГА
Мета: ознайомити педагогів з особливостями професійної компетентності, сприяти самопізнанню особистісних рис, розвивати навички партнерських стосунків і рефлексії.
Час: 2,5 години.
Вступне слово
Шановні педагоги! Ми зібралися, аби поговорити про особливості професійної діяльності вчителів. Зараз у вас проходить період адаптації до свого фаху — відбувається «підлаштування» вимог педагогічної професії до ваших реальних сил. Від результативності адаптації залежить зміцнення професійної мотивації, подальше професійне зростання й особистісне становлення й самоствердження.
Допомогти успішно пройти період адаптації — мета нашого постійного семінару-практикуму.
Знайомство «Карта»
Мета: познайомити учасників, створити умови для ефективної роботи.
На дошку вивішують заздалегідь намальовану карту Новгород-Сіверського району. Учасникам роздають стікери у вигляді будиночків, на яких треба записати своє П.І.Б., номер школи, предмет, який викладаєте.
Далі кожен учасник проводить презентацію свого будиночка й наклеює його на карту.
Вправа «Очікування»
Мета: визначити очікування й одержати зворотний зв'язок.
Учасникам пропонують на стікерах у вигляді сердечок кількома словами написати свої очікування від практикуму, а потім по черзі наклеїти їх на плакат із зображенням стебла квітки, озвучити свої думки.
Психолог. Я сподіваюся, що ваші очікування справдяться!
Вправа «Портрет сучасного вчителя»
Мета; створити портрет сучасного вчителя.
Психолог. По черзі назвіть ті риси, які, на ваш погляд, мають бути у сучасного вчителя (1 хв на роздуми, демонстрація схеми 1).
Підбиття підсумків
Отже, сучасний учитель повинен мати такі риси... (перераховують названі риси).
Так само важливо, щоб керівник мав такі риси: доброзичливість, терплячість, тактовність, скромність, енергійність, ерудиція, оригінальність мислення, обов'язковість, захопленість роботою, креативність, емпатія, гнучкість.
За результатами обговорення група складає таблицю (див. табл. 1).
Таблиця І Карта важливих для професії рис характеру
| Оптимальні значення | Припустимі значення | Критичні значення |
| Психологічні риси особистості як індивідуальності | ||
| • Сильний урівноважений тип нервової системи; • тенденція до лідерства; • впевненість у собі; • вимогливість, чуйність; • гіпертимність; • емотивність | • Сильний неврівноважений тип нервової системи; • владність, самовпевненість»; • непримиренність; • недостатня самостійність. педантичність; • схильність до «застрягання» | • Слабкий інертний тип нервової системи; • деспотизм; • самозакоханість; • жорстокість; • надмірний конформізм; • збудливість і демонстративність; • тривожність |
| Професійні риси особистості викладача | ||
| • Широка ерудиція й вільний виклад матеріалу; • уміння враховувати психологічні й вікові особливості учнів; • темп мовлення — 120—130 слів на хвилину. чітка дикція, загальна та специфічна грамотність; • елегантний зовнішній вигляд, виразна міміка й жести; • звертання до учнів по іменах; • миттєва реакція на ситуацію, спритність; • уміння чітко формулювати конкретну мету; • уміння (організувати навчальну роботу всіх учнів одразу; • завжди перевіряє ступінь розуміння навчального матеріалу | • Знання тільки свого предмета; • знання вікової й педагогічної психології учнів; • стандартний зовнішній вигляд, відсутність яскравої міміки й жестів; • звертання до учнів по прізвищах; • трохи уповільнені реакція та спритність; • уміння визначати тільки загальну мету; • уміння організувати роботу більшості учнів; • періодично перевіряє ступінь розуміння навчального матеріалу; • темп мовлення нижчий від 120 слів на хвилину, «глухий» голос; • окремі застереження з подальшим виправленням | • Робота тільки по конспекту; • брак знань із вікової і педагогічної психології; • темп мовлення вищий за 150 слів на хвилину, мовлення нерозбірливе, «ковтає» слова; • неохайний зовнішній вигляд. надмірна жестикуляція й неадекватна міміка; • постійне безадресне звертання до учнів; • брак спритності, слабка реакція; • не вміє чітко ставити мету; • робота тільки 3 окремими учнями, при пасивності більшості; • ніколи не перевіряє ступеня розуміння навчального матеріалу під час пояснення |
Ієрархічна структура педагогічної спрямованості вчителів:
• спрямованість на дитину (й інших людей), пов'язана з турботою, інтересом, любов'ю, сприянням розвитку особистості іі максимальною самоактуалізацією індивідуальності;
• спрямованість на себе, пов'язана з потребою у самовдосконаленні і самореалізації у сфері педагогічної праці;
• спрямованість на предметну сторону професії вчителя (зміст навчального предмета).
Однією з найважливіших вимог, які висуває педагогічна професія до особистості вчителя, є чіткість його соціальної та професійної позиції.
Позиція педагога — це система інтелектуального й емоційно-оцінного ставлення до світу, педагогічної дійсності й педагогічної діяльності.
Варто підкреслити, що успішна спільна праця неможлива без відповідної організації дій. Напевно, практично кожному з нас доводилося спостерігати таку картину: два зовсім однакові класи, але в одному «усі ходять по струнці», а в іншому навіть і не зрозуміти, «хто є хто»: де вчитель, а де діти.
Із цією проблемою пов'язані різні стилі педагогічного спілкування.
Стиль спілкування — певна система методів і прийомів керівної діяльності. Давайте спробуємо визначити, який стиль спілкування властивий кожному з вас.
Авторитарний стиль керівництва серед педагогів традиційний (чітка батьківська позиція за Е. Берном) і, на перший погляд, найефективніший. Нас самих виховували у школі, у сім'ї, тому тяжіння до таких методів закладене в нас дуже глибоко. Учитель авторитарний, образно говорячи, застібнутий на всі ґудзики.
Його «Я» — дутої сили, і він про це здогадується, але головне — щоб більше ніхто. Йому не можна «розстебнутися»; король голий. Тому, керуючи, він використовує страх. Його влада — в умінні робити боляче, постійно виводячи учня з рівноваги, створюючи навколо себе коло ненависті, стресу, страху, болю. Моє велике «Я» — над. Вони — незначні — внизу. Між нами — провалля, емоційна холодність, відчуженість. Я — сильний. Ненависть підтримує мене, робить мене сильним.
Людина може й не усвідомлювати того, обираючи такий стиль керівництва. Найчастіше її саму травмували таким стилем у дитинстві, і ми не можемо вийти за його межі. Життя такої людини — постійний стрес, а де стрес, там психічні зриви, хвороби. Як у нього самого, так і в тих, ким він керує. Ознаки: сльози, розлади сну, істерики, аж до погроз кинути школу чи накласти на себе руки.
Ліберальний стиль протилежний авторитарному, хоча в основі його — теж саме — слабкість «я», почуття неповноцінності (дитяча позиція за Е. Берном), але «Я» такого вчителя у своїй слабкості агресивне, ліберально-пасивне. Такий учитель не знає себе, його «Я» — сліпе, тому він не вірить собі, боїться себе, боїться бути собою і брати відповідальність, не сформований як особистість. Це дитина серед дітей. Він заробляє
дешеві позитивні емоції від учнів спочатку, але їм швидко набридає, і вони «сідають йому на голову», керують ним, принижують — результати його роботи низькі.
Причому серед цих учителів є розумні, інтелектуально багаті фахівці-предметники, які досягли високого рівня знань, але не здатні зрозуміти психологію дітей, їм бракує умінь взаємодії з колективом дітей і з людьми взагалі.
Як почуваються діти при такому керівництві? їм неприємно, вони розуміють ненормальність відносин між ними й дорослим. Такого вчителя не поважають. Його внутрішній стан не можна назвати нормальним. Він часто й не підозрює, що, заграючи з дітьми, перебуваючи з ними начебто нарівні, не одержує позитивного зворотного зв'язку і стоїть на грані психічного зриву, ненавидить дітей і професію.
Цей стиль — найважчий для корекції, виростити «Я» на слабкому фундаменті — завдання не з легких.
Демократичний стиль — це стиль сильної, впевненої в собі особистості (позиція «Дорослий — Дорослий» за Е. Берном), яка любить і поважає себе й дітей, наближається до них і розуміє. Такий учитель будує своє спілкування з дітьми, не занадто опускаючись до їхнього рівня й не вивищуючись над ними. Він намагається підняти їх до спілкування на рівних — наскільки це можливо для віку й індивідуальності учня. Це складно, і щасливий той учитель, який уміє так керувати, який досяг щюго свідомо або має природний дар. «Я» такого вчителя по-справжньому сильне, а тому — відкрите.
Обговорення
— Який стиль керівництва найбільш ефективний?
— Чому?
Ше існує унікального стилю, кожний учитель виробляє свій, індивідуальний, що поєднує в собі елементи кожного стилю педагогічного спілкування (див. схему 2, таблиця 4).
Таблиця 4 Викладач у структурі міжособистісних стосунків
| Оптимальні значення | Припустимі значення | Критичні значення |
| • Перевага демократичного стилю спілкування; • Тільки конструктивні конфлікти у принципових питаннях; • прагнення до співпраці; • нормальна самооцінка; • рівень ізоляції у колективі дорівнює 0 % | • Перевага авторитарного стилю спілкування; • повна відсутність конфліктів з учнями й колегами; • прагнення до суперництва з колегами; • занижена самооцінка; • рівень ізоляції в межах 10 % | • Перевага ліберального стилю спілкування; • постійна деструктивна конфліктність із більшості питань; • постійні пристосування й компроміси з колегами; • завищена самооцінка; • рівень ізоляції в колективі більший від 10 % |

Індивідуальний стиль діяльності вчителя — сукупність загальних та індивідуальних способів роботи, що дозволяють максимально використовувати цінні риси людини й компенсувати її недоліки. До стилю належать:
• здібності;
• загальні риси особистості;
• кваліфікація;
• спрямованість особистості;
• індивідуально-психологічні риси: темперамент, характер.
ОРГАНІЗАЦІЯ НАВЧАЛЬНИХ ЗАНЯТЬ Методи навчання
Розмаїтість застосовуваних учителем на уроці методів навчання робить його творчим і дозволяє багатопланово впливати на учня (див. табл. 5).
Процентне відношення засвоєння
| Лекція | 5% |
| Читання - | 10% |
| Аудіовізуальні засоби | 20% |
| Наочні приладдя | 30% |
| Обговорення у групах | 50% |
| Навчання практикою дії | 70% |
| Виступ учня у ролі вчителя | 90% |
Лекція (5 % засвоєння) — це структурно організований спосіб викладу матеріалу з конкретної теми. Є швидким способом подачі необхідної інформації. Лекція ставить учнів у положення пасивних слухачів. Тому лекцію необхідно використовувати у поєднанні з іншими способами навчання.
Читання (10 % засвоєння): індивідуальне або колективне читання, безумовно, є необхідним методом навчання, але воно корисніше у поєднанні з іншими методами.
Аудіовізуальні засоби (20 % засвоєння): якщо є технічні засоби для демонстрації фільмів, вони можуть допомогти вчителеві у подачі інформації.
Використання наочних засобів (ЗО % засвоєння): у процесі пізнання учень покладається на свої органи чуттів. Деякі учні засвоюють матеріал на слух, інші — візуально, треті — на дотик. Використовуючи наочні приладдя, учитель може допомогти учням у кожному з видів сприйняття.
Обговорення у групах (50 % засвоєння): усний обмін думками. Обговорення дозволяє учням поділитися своїми думками, враженнями й відчуттями в рамках певної теми; мислити практично, докладно розповісти про свої висновки й вислухати інакші думки однокласників.
Навчання практикою (70 % засвоєння):
рольові ігри або програвання ситуацій. Учні виступають у різних ролях, залежно від ситуації. Рольові іфи або навчання практикою розраховані на те, щоб допомогти учням проаналізувати свої почуття, думки й дії в некритичній обстановці.
Виступ у ролі вчятеля (90 % засвоєння): учень, який викладає матеріал іншим, сам засвоює 90 % того, про що розказує. Консультант однокласників або учитель для однолітків — це один із найефективніших способів привернути увагу учнів.
Вправа «Учитель — учень»
Мета: дати педагогам встати на позицію учня й учителя і проаналізувати свою діяльність, розвивати вербальні навички спілкування.
Учасники групи, залишаючись у цих же парах, сідають спинами одне до одного. «Учителеві» дають геометричний малюнок, «учневі» — папір і олівець. Вони не мають дивитися одне одному в малюнки. При цьому «учитель» повинен продиктувати геометричний малюнок «учневі», у жодному разі не говорячи, що має вийти. На виконання завдання дається 10 хвилин. Потім педагоги у парах міняються ролями і протягом наступних 10 хвилин другий учасник пари малює геометричний малюнок, який диктує йому «учитель».
Наприкінці вправи — виставка малюнків і показ зразків. Учасники групи обговорюють отримані результати (табл. 6).
— Що ви відчували, коли були в ролі «учителя» і в ролі «учня»?
— Чи хотілося б вам, щоб вашу роботу оцінив учитель, чому?
Тест «Самооцінка уроку й ефективність навчання»
| № | Характеристика уроку | Бали |
| 1 | Мета уроку представлена | |
| 2 | Відповідність змісту навчального матеріалу триєдиній дидактичній меті | |
| 3 | Відповідність методу навчання: а) змісту навчального матеріалу; б) триєдиній дидактичній меті; в) методам індивідуалізації й диференціації навчання; г) самоконтролю, самостійності роботи | |
| 4 | Форми пізнавальної діяльності забезпечили: а) стиль спілкування педагога; б) активність кожного учня | |
| 5 | Раціональне використання форм організації уроку | |
| 6 | Раціональний розподіл часу на уроці | |
| 7 | Технічне й наочне забезпечення уроку | |
| 8 | Контроль над виконанням домашнього завдання | |
| 9 | Раціональні вимоги на уроці | |
| 10 | Об'єктивність оцінювання рівня досягнень учнів | |
| 11 | Ефективність уроку: а) пізнавальний аспект; б) виховний аспект; в) розвивальний аспект | |
| | Максимальна сума балів | 34 |
2 баяв — реалізована повністю, 1 бал — реалізовано частково, 0 балів — не реалізовано.

де 17 — сума балів, виставлених експертом, 34 — максимально можлива сума балів.
Якщо *Е* 85 % — відмінний урок.
65 до 85% — гарний урок.
34 до 64% — задовільний урок.
Менш як 34% — поганий урок.

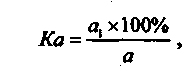
де Ка,г- коефіцієнт активності,
а — число учнів у класі,
а1 — число учнів, притягнутих до роботи.
ПАМ'ЯТКА
«СТВОРЕННЯ ПОЗИТИВНОГО ІМІДЖУ МОЛОДОГО ВЧИТЕЛЯ»
1. Риси обличчя, фігура, зріст людини існують незалежно від бажання, тому сприймайте себе таким, які ви є.
2. Зверніть увагу на свій голос. Грубі, пискляві репліки, різкі надривні ноти в розмові дратують людей, свідчать про відсутність навичок культури поведінки.
3. Краса людини передбачає: скромність, тактовність, ввічливість, повагу, відкритість. Невміння стримувати негативні емоції, цинізм, нахабність, гордовитість, навпаки, далекі від поняття «приємна людина».
4. Усміхайтеся. Похмурий настрій або
погана поведінка не; тільки псують ваше обличчя, але й настрій людей навколо.
5. Одягайтеся зі смаком. Кажуть, що «гарний смак перемагає й моду». Головний принцип —виробити індивідуальний стиль в одязі, прикрасах, зачісці. Чистота й охайність в одязі дуже важливі.
6. Зачіска — це своєрідна візитівка кожної людини, вона підкреслює особливості характеру та способу життя.
7. Стежте за мімікою й жестами. Психологи встановили, що у взаємодії людей 60—80 % інформації передається за рахунок рухів, міміки, жестів і лише 20—40 % — за рахунок слів, інтонації й голосу.
Попрацюйте над своїм позитивним іміджем — і він буде працювати на вас (див. табл. 7)!
