Тест №1 (из 6 заданий); Тест №2 (из 5 заданий); Тест №3 (в двух вариантах из 10 заданий); Конспект четырехурочного цикла по теме: «Решение неравенств с одной переменной». 8 класс
| Вид материала | Конспект |
- Тест для итоговой аттестации выпускников старшей школы История Казахстана, 127.43kb.
- Тест по рассказу А. Платонова "Корова", составленный из тестовых заданий, предложенных, 16.83kb.
- Типовой тест по русскому языку как иностранному II сертификационный уровень. Общее, 627.03kb.
- Школьный тест умственного развития [19], 511.35kb.
- Комплексный рисуночный тест «Дом-дерево-человек». Тест «Свободный рисунок». Тест «Картина, 311.39kb.
- Тест: Определение основных мотивов выбора профессии > Тест: Ваша мотивация к успеху, 4748.45kb.
- Тест форма a (для мужчин) Ябольше думаю о получении хорошей оценки, чем опасаюсь получения, 36.68kb.
- Педагогический тест это система специально подобранных проверочных заданий специфической, 93.97kb.
- Быстрый Алкогольный Скрининговый Тест (баст) Паддингтонский Алкогольный Тест (пат), 230.88kb.
- Тест № Волокнистые материалы. 2 Тест № Технология получения тканей. 4 Тест № Строение,, 180.5kb.
Министерство образования и молодежной политики Чувашской Республики
МОУ «Средняя общеобразовательная школа №37
с углубленным изучением отдельных предметов г. Чебоксары
Методическая разработка
«Неравенства и системы неравенств
за курс средней школы»
автор: Алексеева Галина Николаевна
учитель математики МОУ СОШ №37
Чебоксары - 2008
Содержание
Введение.
1. Неравенства и системы неравенств за курс средней школы.
- Неравенства с одной переменной и их решения;
- Линейные неравенства с одной переменной;
- Квадратичные неравенства;
- Системы линейных неравенств с одной переменной;
1.5 Решение двойных неравенств. Дробные неравенства;
1.6 Иррациональные неравенства;
1.7 Неравенства с модулем;
1.8 Решение рациональных неравенств методом интервалов;
1.9 Показательные неравенства;
2.1 Логарифмические неравенства;
2.2 Метод интервалов (обобщенный);
2.3 Графический способ решения неравенств с одной переменной;
2.4 Тригонометрические неравенства;
2.5 Неравенства с двумя переменными;
2.6 Графический способ решения неравенств с двумя переменными.
2. Приложения.
1. Тест №1 (из 6 заданий);
2. Тест №2 (из 5 заданий);
3. Тест №3 (в двух вариантах из 10 заданий);
4. Конспект четырехурочного цикла по теме: «Решение неравенств с одной переменной». 8 класс;
5. Ожидаемый результат;
6. Заключение;
7. Список использованной литературы.
Введение.
Цель современного образования – обучение и всестороннее развитие личности, способной к творчеству. Для достижения этой цели существует много программ, множество технологий обучения.
В условиях современного развития и расширения доступности открытых информационных систем, передача «готовых знаний» перестает быть главной задачей учебного процесса, снижается функциональная значимость и привлекательность традиционной организации обучения. Основная задача обучения математике в школе - обеспечить прочное и сознательное овладение учащимися системой математических знаний и умений, не-обходимых в повседневной жизни дисциплин и продолжения образования. Хотелось бы сказать, что хорошее математическое образование и развитие математических способностей необходимы не только тому, кто впоследствии займется научными исследованиями в области математики, но и тому, кто станет экономистом, организатором производства и так далее.
Неравенства встречаются на протяжении всего курса математики. С точки зрения математической логики неравенство является высказыванием. С помощью неравенства задаются основные числовые множества, формулируются определения предела, непрерывной функции, монотонной последовательности и функции, целого ряда других важных понятий. На языке неравенств нередко формулируется постановка задачи во многих приложениях математики. Во многих разделах математики, особенно в математическом анализе, в прикладной математике, неравенства встречаются значительно чаще, чем равенства. Но бывает, что для доказательства неравенства приходится использовать весьма тонкие геометрические или аналитические соображения. Как опытному шахматисту помогает знание основных дебютов, так и математику полезно знать некоторое часто встречающиеся классические тождественные неравенства. Среди них – красивые неравенства, в которые переменные входят симметричным образом. Методы математического анализа, в свою очередь, удобное средство доказательства неравенств для функций от одной переменной.
В ходе своей методической работы я стараюсь добиваться того, чтобы при умелом руководстве учителя, ученик, в ходе своей практической деятельности, с умением использовал свои приобретенные навыки и осознанно умел исправлять допущенные им ошибки и дальше закреплял свой опыт за счет усвоенных устных и письменных форм работы. Конечную цель в обучении я вижу в том, чтобы современный молодой человек был востребованным со своими умениями и навыками в современном и очень сложном мире; чувствовал себя уверенно и сумел стать настоящим профессионалом в своем деле, коим он станет именно благодаря своим знаниям в области математики.
1.Неравенства и системы неравенств с одной переменной
1.1 Неравенства с одной переменной и их решения
Неравенством с одной переменной (неизвестным) называются два выражения с переменной( неизвестным), соединенные знаком неравенства:>(больше), <(меньше),≥(больше или равно; не меньше),≤ (меньше или равно; не больше).
Решением неравенства называется значение переменной ( неизвестного), при котором неравенство превращается в правильное числовое неравенство. Например, число 5 является решением неравенства x2-6х<0, поскольку 52-6∙5<0
Решить неравенство означает найти все его решения или доказать, что их нет. Решениями неравенства является некоторое подмножество действительных чисел.
Некоторые подмножества действительных чисел, их обозначение, изображение на координатной прямой и запись в виде неравенства.
| Название | Обозначение | Изображение | Запись в виде неравенства |
| Числовая прямая | (−∞;+∞),R | ![]() | −∞ <х< +∞ |
| Закрытый промежуток( отрезок) | [a;b] | ![]() | а≤х≤b |
| Открытый промежуток(интервал) | (a;b) | ![]() | а<х |
| Полуоткрытый промежуток | [a;b) | ![]() | а≤х |
| (a;b] | ![]() | а<х≤b | |
| Бесконечный промежуток(луч) | (−∞;а] | ![]() | х≤а |
| (−∞;а) | ![]() | х<а | |
| (а;+∞) | ![]() | х>а | |
| [а;+∞) | ![]() | х≥а |
1.2. Линейные неравенства с одной переменной
Линейным неравенством с одной переменной х называется неравенство вида ах+b>0, ах+b<0, ax+b≥0, ax+b≤0.
С
хемы решения линейного неравенства1.3 Квадратичные неравенства
Квадратичными неравенствами называются неравенства вида ax2+bx+c>0 , ax2+bx+c<0 , ax2+bx+c≥0 , ax2+bx+c≤0 , (a≠0).
Решения квадратичных неравенств
| Схема | Квадратичное неравенство | |||
| ax2+bx+c>0 | ax2+bx+c<0 | ax2+bx+c≥0 | ax2+bx+c≤0 | |
| a>0, D>0 ![]() | (-∞; x1) U U(x2;+∞) | (x1 ; x2) | (-∞; x1] U U[x2;+∞) | [x1 ; x2] |
a>0, D=0 | (-∞; x0) U U(x0;+∞) | Ǿ | (-∞;+∞) | x0 |
a>0, D<0 | (-∞;+∞) | Ǿ | (-∞;+∞) | Ǿ |
a<0, D>0 | (x1 ; x2) | (-∞; x1) U U(x2;+∞) | [x1 ; x2] | (-∞; x1] U U[x2;+∞) |
a<0, D=0 | Ǿ | (-∞; x0) U U(x0;+∞) | x0 | (-∞;+∞) |
a>0, D<0 | Ǿ | (-∞;+∞) | Ǿ | (-∞;+∞) |
1.4 Системы линейных неравенств с одной переменной



a1x>b1 a1x>b1 a1x1 a1x1 Системы вида : a2x>b2 a2x2 a2x2 a2x>b2
называются системами двух линейных уравнений с одной переменной. (Вместо знаков>,< могут быть знаки ≥,≤.)
Чтобы решить систему неравенств, надо каждое неравенство системы решить отдельно, а потом найти решение системы как пересечение множеств решений неравенств.
Возможные случаи решения систем линейных неравенств
| Системы линейных неравенств (a>b) | Решение и его геометрическая иллюстрация | Пример |
x>a,x>b | ![]() x€(a;+∞) | ![]() x€(3;+∞) |
x x | x€(-∞;b) | x€(-∞;2) |
x x>b | x€(b;a) | ![]() x€(1;4) |
x>a,x | Решений нет ![]() | Решений нет ![]() |
Неравенства вида f(x)g(x)>0 и f(x)g(x)<0
Неравенство f(x)g(x)>0 равносильно двум системам:

f(x)>0, f(x)<0,g(x)>0 или g(x)<0 .
Неравенство f(x)g(x)<0 равносильно двум системам:
f

(x)<0, f(x)>0,g(x)>0 или g(x)<0 .
1.5 Решение двойных неравенств
Двойное неравенство f(x)



f(x)g(x)
Пример решения: -3<2x-1≤3 Тогда x€(-1;2]
Ответ. (-1;2]
Дробные неравенства
Н

еравенство
>0 равносильно двум системам неравенств: f(x) > 0, f(x) <0,
g(x) > 0 или g(x) < 0.
Н

еравенство
<0 равносильно двум системам неравенств: f(x) > 0, f(x) <0,
g(x) < 0 или g(x) >0.
Неравенство
≥0 равносильно двум системам неравенств: 

f(x)≥ 0, f(x)≤ 0,
g(x) >0 или g(x) <0.
Н

еравенство
≤0 равносильно двум системам неравенств: f(x)≥ 0, f(x)≤ 0,
g(x) <0 или g(x) >0.
П


римеры решения: x – 2> 0, x>2 1

.
>0. 1) x – 7 > 0; x<7 Тогда x€ (7;+∞).
x – 2 < 0, x<22) x – 7 < 0; x<7 Тогда x€ (-∞;2).
О
твет: (-∞;2) U(7;+∞).

2x – 1≤0, 2x≤1, x≤0,5
1.
>0. 1) 3 – x > 0; x<3; x<3
Тогда x€ (-∞;0,5].



2x – 1≥0, 2x≥1, x≥0,5,
2) 3 – x <0; x>3; x>3.
Тогда x€ (3;+∞).
Ответ. (-∞;0,5] U[3;+∞).
1.6 Иррациональные неравенства
П







0≤x2n
Решений нет
ненет
Решений нет
>a, n є Nx>a2n
x>0
ненет
x≥0
x2n+1
>a, n є Nx>a2n+1
ростейшие иррациональные неравенства Неравенства
>g(x) и 
Пример решения:
3+x2-5x+6 Ответ.(2;3).
g(x)>0,
Неравенство
< g(x), n є Nравносильно системе f(x)f(x)≥0.



4-x>0, x<4, x<4,
4x-x2< (4-x)2, 4x-x2<16-8x+x2 , 2x2-12x+16>0,
П
ример решения:
2 <4-x, 4x-x2≥0; x(4-x)≥0; x(4-x)≥0;x<4, x є (-∞;4),
(x-2)(x-4)>0, x є (-∞;2)U(4; -∞). Тогда x є [0;2). X(4-x)≥0; x є (0;4)
Ответ.[0;2)
Неравенство
> g(x), n є N равносильно объединению систем g

(x)≥0, g(x)<0,f(x)>g2n(x) или f(x) ≥0.
Пример решения:
>2x-8.


1) 2x-8≥0, x≥4, x≥4, x≥4 X2-5x+4>(2x-8)2; 3x2-27x+60<0; x2-9x+20<0; 4
Тогда x є (4;5) .


2) 2x-8≥0, x<4 x є (-∞;4);X2-5x+4 ≥0; (x-1)(x-4) ≥0; x є (-∞;1] U [4;+∞);
Тогда x є (-∞;1]
Ответ. (-∞;1] U [4;+∞).
Н

еравенство
>
), n є N равносильно системе f(x)>g(x)
g(x) ≥0.

2x2-x-6≥x 2 -4, x2-x-2≥0,Пример решения:
≥
, x2-4≥0; x2-4≥0;(
x-2)(x+1) ≥0, x є (-∞;-1] U [2;+∞),(x-2)(x+2) ≥0, x є (-∞;-2] U [2;+∞).
Тогда x є (-∞;-2] U [2;+∞).
Ответ. (-∞;-2] U [2;+∞).
1.7 Неравенства с модулем
Простейшие неравенства с модулем
|x-b|
Решений нет
b-a
|x-b|≥a
xєR

x≤ b-a или x≥b+a
Н
еравенство |f(x)|< a (где a ≥ 0) равносильно двойному неравенству -a < f(x) < a или системе f(x) > -a, f(x) < a.

П

ример решения: |x2 + 5x| < 6, -6 < x2 + 5x < 6. x2 + 5x < 6, x2 + 5x – 6 < 0, x є (-6;1), x2 + 5x > -6; x2 + 5x – 6 > 0; x є (-∞;-3)U(-2;+∞).Тогда x є (-6;-3)U(-2;1).
Ответ. (-6; -3)U(-2;1).

Неравенство |f(x)| > a, где a ≥ 0, равносильно объединению неравенств f(x) <- a , f(x) > a.
П







ример решения: |3 – x| > 2, 3 - x > 2, x < 1, x є (-∞; 1)U(5;+∞). 3 – x < - 2; x > 5.О
твет. ( - ∞; 1)U(5; + ∞).Н

еравенство |f(x)| > g(x) равносильно объединению неравенств f(x) > g(x), f(x) < -g(x).

Пример решения: |3x - 2| > 2x + 1, 3x – 2 > 2x + 1, x > 3, 3x – 2 < - 2x -1; 5x < 1;
,
x > 3, Ответ: x є (-∞; 0,2)U(3; +∞). Х<0,2
Неравенство |f(x)| < g(x) равносильно системе f(x) < g(x), f(x) > -g(x).



Пример решения: |2x – 5| ≤ x, 2x – 5 ≤ x, x ≤ 5, x ≤ 5,
2x – 5 ≥- x; 3x>
x≥1
.Тогда x є[1
;5]. Ответ. [1
;5]. Неравенство |f(x)|>g(x)| равносильно неравенству f2(x)>g2(x) или неравенству (f(x)-g(x))(f(x0+g(x))>0.
Пример решения: |3+x|≥|x|, (3+x)2 ≥x2, 9+6x+x2 ≥ x2 ,6x ≥-9, x≥-
, x≥-1,5. Ответ. [-1,5;+∞)Если неравенство содержит несколько модулей, то находят значения x , при которых выражение, стоящее под знаком модуля, равно нулю. Найденные значения x разбивают числовую прямую на интервалы, на каждом из которых выражение под модулем сохраняет знак. А потом на каждом интервале раскрывают модули и решают полученную систему. Объединение найденных решений составляет множество решений данного неравенства.
Пример решения: |x-1|+|x-2|>x+3
Рассмотрим три случая.

x<1, x<1, - 1-x-x+2>x+3; x<0; x<0;

1≤x≤2 1≤x≤2,2) x-1-x+2>x+3 ; x<-2; решений нет;


x>2 x>2
- x-1+x-2>x+3; x>6; x>6.
Ответ. (-∞;0) U (6;+
).
1.8 Решение рациональных неравенств методом интервалов
Чтобы решить неравенство f(x)>0 (f(x)<0), где

f(x )
надо:
1)Изобразить числа a1 ,a2, …, an на координатной прямой (эти числа, расположенные в порядке возрастания, разобьют координатную прямую на n+1 промежутков, на которых функция f(x) сохраняет свой знак, т.е. если a1 и ak - соседние точки, то для x є(a1 , ak) функция сохраняет знак):
2) Определить знаки функции f(x) на каждом из промежутков;
3) Записать ответ.
Такой метод решения неравенств называется методом интервалов.
Пример решения:
(
x+4)(x+2)(x-1)(x-3)<0. Обозначим на координатной прямой нули функции (x+4)(x+2)(x-1)(x-3)=0, найдем знак функции на каждом промежутке. Из рисунка видно, что (x+4)(x+2)(x-1)(x-3)<0, если x є (-4;-2) U( 1;3).
1.9 Показательные неравенства
Простейшие показательные неравенства
ax0, a ≠1
Решений нет
x
x>logab
v
ax0, a ≠1
x є R
x>logab
x
v
ax>b, a>0, a ≠1
Решений нет
f(x)
f(x)>logab
v
af(x)0, a ≠1
x є R
f(x)>logab
f(x)
v
af(x)>b, a>0, a ≠1
Неравенство af(x)>ag(x) (af(x)>ag(x))), если f>1, равносильно неравенству f(x)>g(x) (f(x)>g(x)).
Примеры решений:
- 78- x2≤72x; 8-x2≤2x; -x2-2x+8≤0; x2+2x-8≥0; (x+4)(x-2) ≥0.
Отсюда xє (-∞;-4)U[2;+∞). Ответ. (-∞;-4)U[2;+∞).




-
x2-2 ≥
x ; x2-2≤x; x2-x-2≤0; (x-2)(x+1) ≤0.
Отсюда xє [-1;2] Ответ. [-1;2]
Логарифмические неравенства
2.1.Простейшие логарифмические неравенства




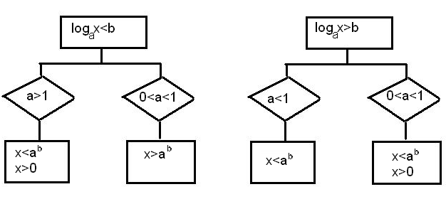
Неравенство loga f(x)

1)системе f(x)
f(x)>0 , если a>1;
2
) системе f(x)>g(x),g(x)>0, если 0
Пример решения:
L


og8 (5x-8)5x-8>0; 5x>8; x>1,6.
Тогда x€ (1,6;5). Ответ. (1,6;5).
Неравенство logh(x)f(x)
Р

авносильно объединению систем неравенствh(x)>1, h(x)>0
f(x)
f(x)>0 f(x)>g(x)
g(x)>0.
Пример решения: logx+1 (x+3)>1, logx+1 (x+3)> logx+1 (x+1).


x+1>1 , 1) x+3>x+1, x+1>1, x>0 ,
x+1>0 0x>-2 0x> -2 x>0; x€ (0;+∞).

x+1>0, x>-1,
x+1<1, x<0,
2) x+3
x+3>0. X>-3. Нет решений, поскольку неравенство 0 х<-2 не имеет решений.
Ответ. (0;+∞).
2.2. Метод интервалов (обобщенный)
Используется при решении неравенств

f(x)>0; f(x)<0; f(x)≥0;
f(x)≤0. Метод основан на том, что непрерывная на промежутке функция может изменять знак только в тех точках, где ее значение равно нулю(но может и не изменять)
Решая неравенство методом интервалов, надо:
1)найти область определения функции y=f(x);
2)найти значение x, при которых функция равна нулю (найти нули функции):f(x)=0;
3) разбить область определения на промежутки, каждый из концов которого является корнем уравнения f(x)=0 или конечной точкой промежутка определения функции y=f(x);
4) определить знак f(x) на каждом из образовавшихся промежутков;
5) объединить промежутки, на которых функция f(x) удовлетворяет неравенству, во множество решений.
Пример решения:
(3х-6)log0,5 x>0.
Пусть y=(3x-6)log0,5x. D(y)=(0;+∞).



Найдем нули функции: (3x-6)log0,5 x=0; 3x-6=0, x=2,
Log0,5x=0; x=1. х=1
Разобьем область определения функции на промежутки точками 2 и 1 и найдем знаки функции на каждом промежутке.

0 1 2
Итак, x€ (1;2). Ответ.(1;2).
2.3.Графический способ решения неравенств с одной переменной
Д
ля графического решения неравенства f(x)>g(x) нужно построить графики функций y=f(x) и y=g(x) и выбрать те промежутки оси абсцисс , на которых график функции y-g(x) расположен выше графика функции y=g(x).Пример решения: loga x≤ 4-x.
Построим графики функции y=loga x и y=4-x в одной системе координат. Графики пересекаются в точке А с абсциссой x=3. Из рисунка видно, что множеством решений данного неравенства является промежуток (0;3]. Ответ. (0;3].
2.4. Тригонометрические неравенства
Решение неравенств sint >a, sint
| Нера- венство | Значение | |||
| a< -1 | -1≤a<1 | a≥1 | ||
| sint>a | t € R | arcsin a +2∏n n€ Z | Решений нет | |
| | | |||
| | ||||
| | | |||
| Нера- венство | Значение | ||
| a≤ -1 | -1≤a<1 | a>1 | |
| Sint | Решений нет | -∏-arcsin a +2∏n n€ Z | t€R |
Решение неравенств cost>b, cost
| Нера- венство | Значение | |||
| b< -1 | -1≤b<1 | b≥1 | ||
| cost>b | t€R | -arccosb +2∏ n€ Z | Решений нет | |
| | | |||
| | ||||
| | | |||
| Нера- венство | Значение | ||
| b≤ -1 | -1≤b<1 | b>1 | |
| Cost | Решений нет | arccosb +2∏ n€ Z | t€R |
Решение неравенств tgt>a, tgt
| Неравенство | a€R |
| tgt>a | arctg a+∏n + ∏n, n€Z |
| Tgt | - +∏n |
Решение неравенств ctgt>a,ctgt
| Неравенство | a€R |
| ctgt>a | ∏n |
| Ctgt | Arcctg a+∏n |
2.5.Неравенства с двумя переменными
Решение и график неравенства
Решением неравенства f(x,y)>0 f(x, y)<0 , f(x, y) ≥0, f(x, y) ≤0) называется упорядоченная пара чисел, которая превращает его в правильное числовое неравенство.
Графиком неравенства с двумя переменными x и y называется множество всех точек координатной плоскости с координатами (x;y), где каждая пара (x;y) является решением данного неравенства.
Графики некоторых неравенств


2.6. Графический способ решения систем неравенств с двумя переменными
Чтобы построить на координатной плоскости решение системы неравенств, надо:
- выполнить равносильные преобразования системы так, чтобы удобно было строить графики всех неравенств, которые входят в систему;
- построить эти графики и найти пересечение областей.
Пересечение областей представляет собой решение системы неравенств.

С
истема y≤f(x), имеет решение, а именно – множество точек, принадлежащих y≥f(x) заштрихованной областип
ример решений: Множеством решений первого неравенства является круг с радиусом 2 и центром в начале координат. Множеством решений второго неравенства является полуплоскость. Множеством решений системы является пересечение этих множеств, т.е. полукруг.




0>4>0>7>7>0>0>0>0>0>0>0>











a>0, D=0
a>0, D<0
a<0, D>0
a<0, D=0
a>0, D<0
x>a,

x€(-∞;b)
x€(-∞;2)
x€(b;a)


+ ∏n, n€Z