Статья отнесена к разделам
| Вид материала | Урок |
СодержаниеТип урока Ход урока. 1. Вопросы (учитель математики) 2. Работа с таблицей. 4. Индивидуальная работа. 5. Самооценка за математический диктант. |
- Статья отнесена к разделам, 222.02kb.
- Статья отнесена к разделам, 229.52kb.
- Статья отнесена к разделам, 91.36kb.
- Статья отнесена к разделам, 282.11kb.
- Организация и планирование работы психолога в детском саду Статья отнесена к разделам, 121.36kb.
- Методика определения физической подготовленности детей с 3 до 10 лет Статья отнесена, 212.49kb.
- Статья отнесена к разделам: | "Способности не просто проявляются в труде, они формируются,, 101.77kb.
- Статья отнесена к разделам, 93.3kb.
- Статья отнесена к разделам, 195.65kb.
- Методическое пособие Статья отнесена к разделам:, 354.25kb.
Использование дифференциального и интегрального исчислений при решении задач по физике
Трифанова Марина Анатольевна, учитель математики
Шевкунова Любовь Яковлевна, учитель физики
Статья отнесена к разделам: Преподавание математики | Преподавание физики

Триединая цель урока:
- Образовательная:
способствовать выработке навыков решения задач повышенной сложности с использованием элементов математического анализа на конструктивном и творческом уровнях.
- Развивающая:
содействовать развитию логического мышления (умения анализировать, сравнивать, строить аналогии, ставить и разрешать проблемы).
- Воспитывающая:
создавать условия для воспитания высокой работоспособности, чувства толерантности и эмпатии, адекватного восприятия единой картины мира.
Тип урока: урок применения знаний математического анализа при решении физических задач.
Формы и методы: фронтальная, групповая, индивидуальная; практическая беседа и проблемно-поисковое закрепление.
ЗСТ: проветривание, физминутка, разнообразные формы работы.
Оборудование: таблицы; индивидуальные задания.
Ход урока.
I. Организационный момент.
Мотивация познавательной деятельности – сообщение цели урока.
II. Актуализация знаний.
Учитель физики концентрирует внимание учащихся на необходимости знаний математического аппарата и математического анализа при решении задач повышенного уровня сложности, необходимых при поступления в ВУЗ.
III. Подготовка учащихся к работе по теме урока.
1. Вопросы (учитель математики):
- Сформулируйте определение производной.
- Сформулируйте правила вычисления производных.
- В чем состоит геометрический смысл производной?
- В чем состоит механический смысл производной?
- Объясните, что такое интеграл.
- В чем заключается геометрический смысл интеграла?
- Приведите примеры применения интеграла.
2. Работа с таблицей. Приложение 1.
Обобщить все ответы и записать таблицу в тетрадь.
3. Математический диктант. Приложение 2.
4. Индивидуальная работа.
Во время математического диктанта
- вызываются два человека для построения графиков функций
и
,
- от каждой группы выходят к доске по одному ученику (с высокими РУВ), отвечают на вопросы математического диктанта на “скрытой” доске.
5. Самооценка за математический диктант.
IV. Основная часть урока.
Учащимся предлагаются разноуровневые задания по группам (уровень сложности заданий в группах дифференцирован и индивидуализирован, т.е. уровень сложности в каждой группе определяется относительно своих возможностей).
Задания для учащихся со средними реальными учебными возможностями и средней мотивацией к учебному процессу.
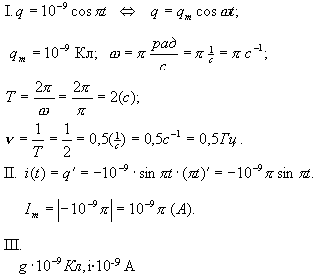
По уравнению зависимости q = 10-9 cos100
t найти:- Максимальный заряд (qm), период колебаний (T), частоту (v), циклическую частоту (w).
- Записать зависимость силы тока от времени (i(t)), определить амплитуду силы тока (Im).
- Построить графики функций q(t), I(t).
Решение:


Задания для учащихся со средними реальными учебными возможностями и высокой мотивацией к учебному процессу.
По уравнению зависимости смещения x = 10-2 sin
t при колебательном движении тела массой 200 г найти:- Амплитуду колебаний (хm), период колебаний (Т), частоту (v), циклическую частот зависимости V(t),
- Записать уравнение зависимости скорости от времени, определить максимальную скорость, найти максимальную кинетическую и максимальную потенциальную энергию тела.
- Построить графики зависимости x(t) и V(t), найти сдвиг фаз.
Решение:

I.
.II.
.
Задания для учащихся с высокими реальными учебными возможностями и высокой мотивацией к учебному процессу.
По уравнению зависимости скорости колебательного процесса от времени V = 6,28 sin
t найти:- Максимальную скорость (Vm), период (T), частоту (v), циклическую частоту (w), максимальные кинетическую энергию.
- Максимальные кинетическую и потенциальную энергии тела, полную энергию системы, построить график в V(t).
- Записать уравнение x(t), определить амплитуду колебаний (xm), построить график x(t), найти разность фаз между колебаниями скорости и смещения.
Решение:
.I.

II.
III.
.
.
Учащиеся выполняют задания по группам. Представитель от каждой группы выносит свой вариант решения на доску.
Учитель математики оказывает помощь и производит корректировку работы учащихся II и III группы (средний и высокий РУВ).
Учитель физики – помогает учащимся I и II групп (средней уровень РУВ, низкая мотивация и средний уровень РУВ, высокая мотивация).
После выполнения заданий учащимися (коллективно на местах и индивидуально у доски) идет защита вариантов своего решения и его анализа.
Учителя математики и физики дают рецензию работы каждой группы.
V. Итог урока.
Учителя благодарят учеников, оценивают работу учащихся у доски, предлагают каждому ученику оценить свою работу на уроке и работу учителя (обратная связь).
VI. Домашнее задание (индивидуализировано и дифференцировано).
Продумать и провести экспериментальное задание по колебательному процессу, дать анализ его характеристик, записать уравнение наблюдаемого колебательного процесса, опираясь на полученные знания на уроке.
