Разработка метода анализа напряженно деформированного состояния многослойных композиционных материалов и конструкций с учетом температурных, силовых и технологических воздействий
| Вид материала | Автореферат |
- Автореферат диссертации на соискание ученой степени, 243.47kb.
- Мониторинг напряженно-деформированного состояния несущих конструкций высотных зданий, 107.31kb.
- Левачков Василий Васильевич исследование, 142.51kb.
- Обязательный курс (Магистратура, специальность «Строительство») Объем учебной нагрузки:, 29.27kb.
- Определение напряженно-деформированного состояния подземных магистральных нефтепроводов, 40.6kb.
- Проекты российских технологических платформ, 1338.04kb.
- Проекты российских технологических платформ, 1336.99kb.
- Программа научной конференции «геомеханика в горном деле», 112.96kb.
- Нэж «Проблемы недвижимости», выпуск 4, 1999, 505.88kb.
- Удк 001(06) Инновационные проекты, студенческие идеи, проекты, предложения, 24.41kb.
На правах рукописи
Биткина Елена Владимировна
РАЗРАБОТКА МЕТОДА АНАЛИЗА НАПРЯЖЕННО – ДЕФОРМИРОВАННОГО СОСТОЯНИЯ МНОГОСЛОЙНЫХ КОМПОЗИЦИОННЫХ МАТЕРИАЛОВ И КОНСТРУКЦИЙ С УЧЕТОМ ТЕМПЕРАТУРНЫХ, СИЛОВЫХ И ТЕХНОЛОГИЧЕСКИХ ВОЗДЕЙСТВИЙ
Специальность 01.02.04 − Механика деформируемого твердого тела
Автореферат
диссертации на соискание ученой степени
кандидата технических наук
Самара - 2009
Работа выполнена на кафедре «Механика» Государственного образовательного учреждения высшего профессионального образования «Самарский государственный технический университет».
Научный руководитель: доктор технических наук, профессор
Клебанов Яков Мордухович
Официальные оппоненты: доктор технических наук, профессор,
Сеницкий Юрий Эдуардович
кандидат технических наук,
доцент
Мехеда Виллий Андреевич
Ведущая организация: ФГУП ГНПРКЦ «ЦСКБ-Прогресс» (г. Самара)
Защита диссертации состоится « 16 » декабря 2009 года в 16 – 00 часов на заседании диссертационного совета Д 212.217.02 ГОУ ВПО Самарский государственный технический университет по адресу: 443010, г. Самара, ул. Галактионовская, 141, ауд. 28.
Отзывы по данной работе в двух экземплярах, заверенные печатью, просим направлять по адресу: Россия, 443100, Самара, ул. Молодогвардейская 244, Главный корпус на имя ученого секретаря диссертационного совета Д 212.217.02; факс: (846) 278-44-00.
С диссертацией можно ознакомиться в библиотеке Самарского государственного технического университета (ул. Первомайская, 18)
Автореферат разослан « 10 » ноября 2009 г.
Ученый секретарь
диссертационного совета
Д 212.217.02.
д.т.н., профессор Денисенко А.Ф.
ОБЩАЯ ХАРАКТЕРИСТИКА РАБОТЫ
Актуальность темы. Композиционные материалы (КМ) находят все более широкое применение в различных отраслях техники, что объясняется широким спектром свойств, выгодно отличающих их от традиционных материалов и сплавов: высокая удельная прочность, жаростойкость, усталостная и длительная прочность и т.д.
Данный факт объясняет необходимость исследований, направленных на создание новых конструкций из композитов. Методам механики деформируемого твердого тела в совокупности этих исследований принадлежит одно из главных мест. Действительно, три основных проблемы – механика собственно композита (определение физико-механических свойств и задачи синтеза); методы расчета конструкций и их элементов на прочность, устойчивость, долговечность и задачи оптимизации; технология создания композиционных материалов и конструкций из них – решаются преимущественно методами механики. Аналогичные задачи возникают и при создании инженерных сооружений из традиционных материалов, однако удельный вес и значимость решения задач механики деформирования в каждой из перечисленных проблем применительно к композитам существенно выше.
Работы по созданию методов исследования напряженно-деформированного состояния (НДС) КМ и внедрению этих материалов в различные конструкции ведутся в настоящее время достаточно широко. Однако, вопросам анализа влияния анизотропии термомеханических свойств, остаточных температурных напряжений и деформаций неоднородных слоистых конструкций, предварительного натяжения армирующих волокон, асимметрии свойств структуры пакета композиционного материала по толщине и ряда других факторов на НДС композита не уделено должного внимания. В качестве примера отметим, что в реальных конструкциях из композиционных материалов «случайная» анизотропия материала, связанная с технологическими погрешностями и дефектами чередующихся слоёв, проявляется в условиях эксплуатации как отклонение от расчетной теоретической формы.
Таким образом, задача теоретических исследований заключается не только и не столько в том, чтобы определить механические свойства данного композиционного материала, а в том, чтобы на основе этих исследований сконструировать композит с наперед заданными деформационными и прочностными характеристиками. Сформулированная в таком виде задача является достаточно сложной и требует проведения дополнительных исследований и разработок в этой области.
Цель работы. Разработка метода анализа напряженно-деформированного состояния многослойных композиционных материалов и конструкций с учетом температурных, силовых и конструктивно-технологических факторов – угла разориентации слоев КМ, натяжения слоев препрега, степени армирования.
Достижение этой цели требует комплексного подхода, поскольку получение наивысших эксплуатационных характеристик конструкций, изготовленных из композиционных материалов, находится в прямой зависимости от технологии, конструктивных параметров и условий внешнего нагружения. В этой связи в диссертации решаются следующие основные задачи:
1) разработка математической модели процесса деформирования многослойных композиционных материалов и изготовленных из них конструкций, параметрический анализ конструктивно-технологических факторов;
2) анализ и синтез структуры композиционного материала конструкции с учётом технологических воздействий по критериям жесткости, прочности, размерной стабильности;
3) проведение экспериментальных исследований по определению величин механических характеристик и сравнение полученных результатов с теоретическими для проверки адекватности разработанного метода;
4) разработка рекомендаций по созданию формостабильных композитных конструкций.
Научная новизна работы. Создан метод анализа НДС многослойных композиционных материалов и конструкций на основе математической модели, позволяющей решать связанную задачу, не разделяя ее на плоскую и изгиб. Система дифференциальных уравнений сведена к одному уравнению восьмого порядка. Задача решается аналитически в рамках классической теории упругости пластин и оболочек. С помощью данной новой математической модели впервые определены коэффициенты линейного температурного расширения с целью получения однооснотермонейтральных структур, т.е. многослойных композиционных материалов, для которых выполняется условие αx=0 или αy=0 и при изменении температуры не происходит изменения линейных и угловых размеров либо вдоль оси x, либо вдоль оси y, а также напряженно-деформированное состояние многослойных панелей с несимметричной структурой пакета КМ по толщине, работающих в условиях силовых и температурных воздействий с учетом технологических погрешностей и при различных условиях закрепления краев.
На защиту выносятся:
- метод анализа НДС многослойных композиционных материалов и конструкций на основе математической модели, позволяющей учитывать влияние температурных, силовых и технологических воздействий, возникающих как в процессе эксплуатации конструкций, так и на начальном этапе изготовления;
- результаты анализа влияния угла разориентации слоев на термо-механические характеристики композита;
- результаты анализа влияния технологического натяжения волокон КМ на формоизменение композитных панелей в зависимости от изменения объемного содержания исходных компонентов в структуре КМ с учетом и без учета угла разориентации;
- результаты анализа влияния последовательности укладки слоев композита с одновременным изменением угла разориентации в первых трех слоях на формоизменение слоистых композитных панелей в зависимости от объемного содержания исходных компонентов в структуре КМ;
- результаты анализа влияния изменения процентного содержания волокна в первых двух слоях на формоизменение композитных панелей;
- результаты анализа влияния угла разориентации на формоизменение композитных панелей в зависимости от объемного содержания исходных компонентов в структуре КМ;
- результаты анализа влияния угла разориентации и степени армирования КМ на распределение технологических остаточных напряжений в слоистых тонкостенных композитных панелях;
- результаты анализа влияния технологического натяжения, режима отверждения и свойств материала на распределение технологических остаточных напряжений в слоистых тонкостенных композитных панелях;
- экспериментальные результаты определения величины формоизменения слоистых пластин в зависимости от изменения угла ориентации и натяжения волокон и сравнение их с полученными теоретическими результатами;
- экспериментальные результаты определения величины механических характеристик слоистых пластин – продольного и поперечного модулей упругостей – в зависимости от изменения угла ориентации и сравнение их с полученными теоретическими результатами.
Практическая значимость и реализация результатов работы.
Разработанный алгоритм и компьютерная программа позволяют проводить параметрический анализ начального напряженно-деформированного состояния многослойных панелей из волокнистых материалов, формирующегося при их изготовлении, и определять величины технологических остаточных деформаций и напряжений, которые могут, в отдельных случаях приводить к разрушению слоев еще в процессе изготовления без приложения какого-либо нагружения. Разработанный метод позволяет решать проблему интегральной оценки технологических остаточных деформаций и напряжений в композитных конструкциях. А именно, предложенный метод анализа напряженно-деформированного состояния композитов, формирующегося при их изготовлении, позволяет определять суммарные остаточные деформации и напряжения и, кроме того начальное напряженно-деформированное состояние в композите, образующееся под воздействием таких основных технологических факторов как уровень натяжения препрега, степень армирования и т.д. Использование данного метода позволяет не только оценивать величину вышеупомянутых деформаций и напряжений, но и направленно регулировать это технологическими методами, в зависимости от вида внешнего нагружения, а также, определять термо-механические характеристики композита в зависимости от степени армирования и величины угла разориентации слоев композиционного материала.
Исследование влияния объемного содержание волокна и матрицы в КМ с целью получения оптимальных физико-механических характеристик монослоя и параметрический анализ углов укладки слоев в пакете для проектирования оптимальной структуры композита были выполнены на ОАО «Пластик» (г. Сызрань) в рамках международной программы «Спектр – Радиоастрон» как часть работы по теме: «Отработка конструктивно-технологических решений для создания центрального зеркала для космического радиотелескопа КРТ».
Результаты влияния углов разориентации в слоях композита на величину коэффициента линейного температурного расширения (КЛТР) и оценка технологических остаточных напряжений и деформаций фрагментов панелей, которые вызываются анизотропией механических и теплофизических свойств материала, неоднородностью структуры, взаимодействием с формующей технологической оснасткой позволили провести сравнительный анализ технологичности различных вариантов конструкции в рамках выполнения работы на ОАО «Пластик» (г. Сызрань) по теме: «Изготовление образцов оребренных и вафельных панелей из композиционных материалов».
Апробация диссертации. Основные положения работы доложены и обсуждены на XXV и XXVIII Самарских областных студенческих научных конференциях (г. Самара, 1999, 2002); V Всероссийской студенческой конференции "Королевские чтения" (Самара, 1999); XXIII Международной конференции и выставке «Композиционные материалы в промышленности» (г. Ялта, 2003); XXIV Международной конференции и выставке «Композиционные материалы в промышленности» (г. Ялта, 2004); XXVIII Международной конференции и выставке «Композиционные материалы в промышленности» (г. Ялта, 2008); XXV Международной конференции и выставке «Композиционные материалы в промышленности» (г. Ялта, 2005); V Всероссийской научной конференции с международным участием «Математическое моделирование и краевые задачи» (г. Самара, 2008); Отраслевой научно-технической конференции, посвященной 25-летию Ульяновского научно-технологического центра филиал ФГУП ВИАМ (г. Ульяновск, 2008); Научном семинаре кафедры «Механика» ГОУ ВПО «Самарский государственный технический университет» (руководитель, д.т.н., профессор Клебанов Я.М.), 2009; Научном семинаре «Механика и прикладная математика» кафедры «Прикладная математика и информатика» ГОУ ВПО «Самарский государственный технический университет» (руководитель, д.ф.-м.н., профессор Радченко В.П.), 2009.
Публикации. По теме диссертации опубликовано 9 работ, список которых приведён в конце автореферата, в том числе одна научная работа в издании, входящем в перечень журналов рекомендованных ВАК.
Структура и объем диссертации. Диссертация изложена на 162 страницах, содержит 5 таблиц, 77 рисунков. Состоит из введения, 4 глав, заключения, списка литературы, приложения.
ОСНОВНОЕ СОДЕРЖАНИЕ РАБОТЫ
Во введении выполнен анализ состояния вопроса, даны краткое обоснование актуальности работы, ее общая характеристика, сформулированы цель и задачи исследований.
Глава 1 содержит литературный обзор, в котором приведен анализ работ по существующим вариантам теории слоистых пластин и оболочек, методы решения и исследования пластин и оболочек из композиционных материалов, рассматривается влияние технологических остаточных напряжений на несущую способность композитных конструкций.
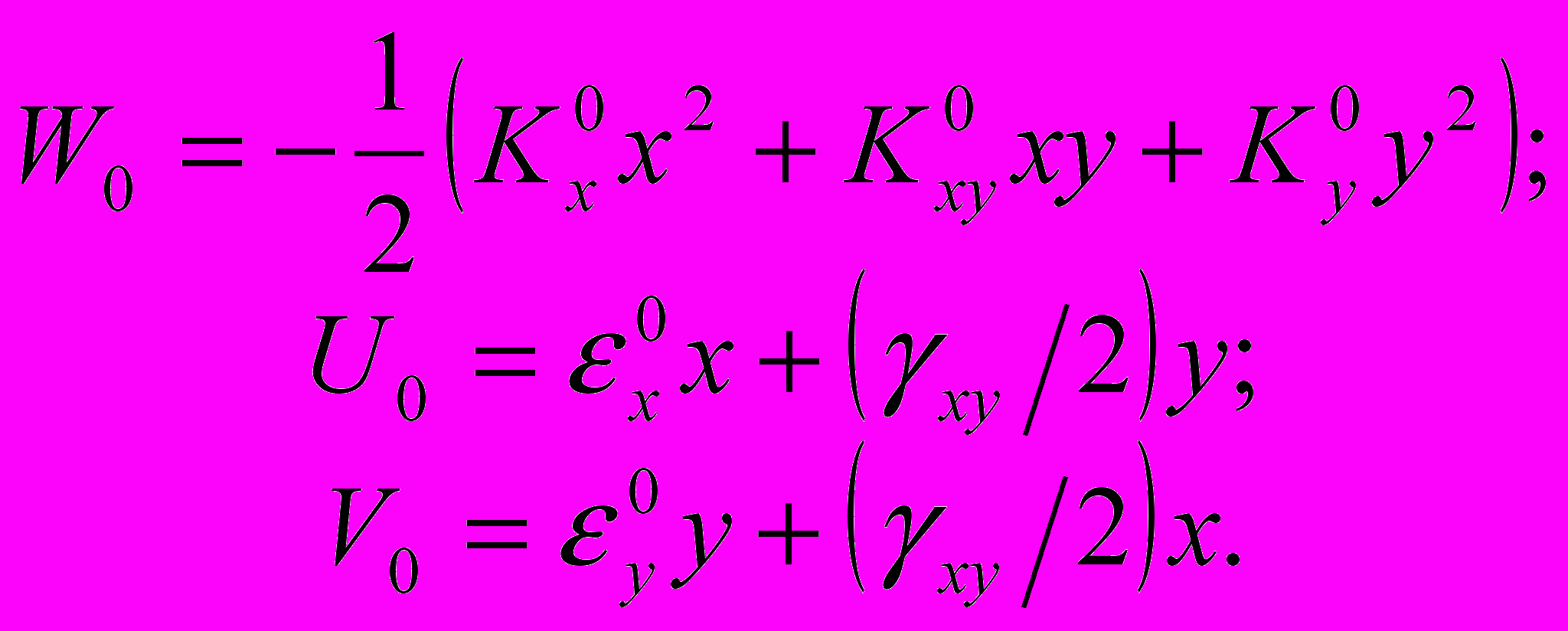
Глава 2 посвящена разработке метода анализа НДС многослойных композиционных материалов и конструкций на основе математической модели, позволяющей учитывать влияние температурных, силовых и технологических воздействий, возникающих как в процессе эксплуатации конструкций, так и на начальном этапе изготовления. В рамках анизотропной модели, пользуясь технической теорией тонких пластинок, рассмотрен расчет многослойной панели, обладающей анизотропией вследствие асимметрии свойств структуры пакета по толщине и находящейся под действием произвольного поперечного давления q(x,y), температурного поля Т и технологического натяжения KНВ. Препреги предварительно натянуты, после отверждения натяжение снято. Так как структура слоистого элемента несимметрична, при последующей реализации гипотез о нормальном элементе в расчетной схеме теряется смысл срединной поверхности. Расчетная модель слоистого композитного элемента основывается на решении граничной задачи в перемещениях с использованием гипотезы Кирхгофа, когда растяжение и изгиб слоистого элемента не разделяются. Система дифференциальных уравнений равновесия в операторной форме имеет вид:
;
; (1)
;где U0, V0 и W – функции перемещений в плоскости приведения; Lij (i,j =1, 2, 3) – линейные дифференциальные операторы.
(2)
- деформации в плоскости приведения;
- кривизны панели.Компоненты деформированного состояния нейтральной оси (срединной поверхности)
,
под воздействием силовых температурных факторов и силовых факторов, связанных с натяжением волокон, определяются из уравнения:
(3)где
,
,
- обобщенные матрицы жесткости многослойной панели с учетом температуры и натяжения волокон;
,
- «температурные» усилия и моменты;
,
- усилия и моменты от натяжения волокон.Матрицы жесткости слоистого элемента представляются выражениями:
(4)где F(k), S(k) и J(k) – соответственно погонная площадь, статический момент и момент инерции k-го слоя соответственно;
- жесткость k-го слоя;
- коэффициент температурного расширения k-го слоя;
- деформация натяжения k-го слоя;
- изменение температуры.В свою очередь, компоненты матрицы жесткости k-го слоя
определяются через технические константы упругости:
(5)где Е1 – модуль упругости в направлении слоя, Е2 – модуль упругости перпендикулярно слою;
,
- коэффициенты Пуассона,
- модуль сдвига,
– коэффициенты взаимного влияния.Система (1) сводится к одному неоднородному линейному дифференциальному уравнению в частных производных восьмого порядка относительно некоторой потенциальной функции Ф(x, y), через которую выражаются все расчетные параметры проектирования:
(6)где
- обобщенная функция перемещений восьмого порядка в операторном виде;
(i,j = 0, 1…8) – коэффициенты, определяемые через обобщенные жесткости; a8-i (i = 0, 1…8) – длина панели; bj (j = 0, 1…8) – ширина панели, q – поперечное давление.Решение уравнения (6) ищется при граничных условиях для y = 0 и y = 1:
(7)в виде тригонометрического ряда
(8)где
подлежит определению.С учетом технологических воздействий (температуры отверждения, натяжения препрегов, степени армирования слоя и др.) и вида функции Ф(x, y) внутренние силовые факторы
,
от воздействия температуры и технологического натяжения определяются выражениями:
(9)При формулировании математической модели гипотеза Кирхгофа распространена на все тело анизотропной среды в рамках связанных плоской задачи и изгиба пластин. Разрешающим уравнением является линейное дифференциальное уравнение восьмого порядка в частных производных относительно обобщенной функции перемещений, в котором пропадают коэффициенты, стоящие при нечетных производных, если структура композиционного материала ортотропна. Задача решена в перемещениях методом одинарных тригонометрических рядов.
Таким образом, построена математическая модель НДС слоистой композитной панели и получено в общем виде решение для расчёта её НДС под воздействием равномерно-распределённой поперечной нагрузки с учётом воздействия температурных, силовых и технологических факторов с различными симметричными условиями закрепления краёв пластинки.
Для оценки прочности многослойной панели из композиционного материала определяются относительные эквивалентные напряжения, для расчета которых использовался критерий прочности в форме Гольденблата-Копнова.
Для реализации полученной зависимости был предложен алгоритм расчета на ЭВМ, который позволяет проводить анализ НДС многослойной панели с несимметричной структурой КМ по толщине с учётом степени армирования слоя, углов ориентации слоев и технологического натяжения волокон и находящейся в условиях силового и температурного воздействия.
В главе 3 проводится параметрический анализ конструктивно - технологических факторов и синтез структуры композиционного материала конструкции с учетом воздействий по критериям деформативности и несущей способности. Приводятся результаты анализа влияния угла разориентации слоя на термо-механические характеристики композита; результаты анализа влияния технологического натяжения волокон КМ на формоизменение композитных панелей в зависимости от изменения объемного содержания исходных компонентов в структуре КМ с учетом и без учета угла разориентации; результаты анализа влияния последовательности укладки слоев композита с одновременным изменением угла разориентации в первых трех слоях на формоизменение слоистых композитных панелей в зависимости от объемного содержания исходных компонентов в структуре КМ; результаты анализа влияния изменения процентного содержания волокна, в первых двух слоях, на формоизменение композитных панелей; результаты анализа влияния угла разориентации на формоизменение композитных панелей в зависимости от объемного содержания исходных компонентов в структуре КМ; результаты анализа влияния угла разориентации и степени армирования КМ на распределение технологических остаточных напряжений в слоистых тонкостенных композитных панелях; результаты анализа влияния технологического натяжения, режима отверждения и свойств материала на распределение технологических остаточных напряжений в слоистых тонкостенных композитных панелях.
Результаты данных исследований для композитов с различной структурой, получены с использованием разработанного пакета прикладных программ и представлены в виде соответствующих зависимостей. Некоторые важные результаты представлены на рис. 1 – 8.
Отклонение от заданного угла армирования может привести к необратимым изменениям свойств композита и, как следствие, к непредсказуемым последствиям во время эксплуатации изделий из КМ. Одной из задач данной работы является анализ влияния угла разориентации в том числе и на термомеханические свойства композита.
Результаты данного исследования для композитов со структурой (0/45/-45/90/90/-45/45/0)0 – (здесь 0, 45, -45, 90, 90, -45, 45, 0 – значение угла между направлением волокон каждого слоя и осью х в градусах. Здесь знак «–» говорит об отсчете угла против часовой стрелки), (0/90/0/90/90/0/90/0)0, (0/0/60/-60/-60/60/0/0)0 и (0/30/-30/90/90/-30/30/0)0 в зависимости от погрешности Δφ воспроизведения углов укладки косых и продольно-поперечных слоев с использованием разработанного пакета прикладных программ представлены в виде кривых на графиках рис. 1, 2. Изменение угла разориентации в косых слоях для данных схем армирования варьировалось от 10 до 70.

Р и с. 1 Графики изменения величины коэффициента температурного расширения αx для разных схем армирования в зависимости от угла разориентации слоя.

Р и с. 2 Графики изменения величины продольного модуля упругости Ex для разных схем армирования в зависимости от угла разориентации слоя.
На основании полученных результатов исследования были сделаны следующие выводы.
Угол ориентации волокон не должен отклоняться от заданного значения более чем на 30, а в отдельных случаях – более чем на 10. Это необходимо для получения максимальной жесткости конструкции, поскольку даже небольшое отклонение угла ориентации от заданного значения приводит к довольно резкому ее снижению. Из сравнительного анализа разных схем армирования было установлено, что наиболее чувствительными к изменению угла разориентации оказался коэффициент температурного расширения (рис. 1), который влияет на возникновение остаточных макронапряжений в композите, которые в свою очередь инициируют возникновение межслойных трещин. Следующей характеристикой, которая была нестабильна к изменению угла укладки слоя, оказался коэффициент Пуассона. Рост величины этого параметра приводит к возникновению кромочных эффектов. То же самое можно сказать и о влиянии других параметров (рис. 2), точнее их роста, на стабильность всей конструкции в целом. Таким образом, нельзя недооценивать влияние угла разориентации на термомеханические характеристики композита, стабильность которых отвечает за монолитность размеростостабильных конструкций из КМ.
Учитывая, что особенности формования изделий из волокнистых композитов позволяют использовать предварительное натяжение арматуры для повышения характеристик формостабильности и несущей способности слоистых композитных высокоточных конструкций технологическими методами, представляется целесообразным проектировать и изготавливать такие конструкции технологически-напряженными, осуществляя их изготовление с расчетным уровнем технологического натяжения.
Для изготовления слоистых композитных панелей с минимальным короблением необходимо использовать только симметричные по толщине слоистые структуры. Однако на практике это не всегда возможно и в результате геометрия изготавливаемых элементов конструкции может отличаться от заданной вследствие неуравновешенности технологических остаточных напряжений после того, как элемент конструкции будет освобожден от ограничений технологической формы. Очевидно, что величину коробления можно компенсировать использованием технологического натяжения слоев при изготовлении панелей.
Кроме того, варьируя уровнем предварительного натяжения
и степенью армирования слоя, можно получить нулевые значения кривизн
,
и
для укладки с учетом угла разориентации (рис. 3, 4). Проведенные исследования показали, что технологическое натяжение слоев при изготовлении слоистых элементов конструкции может быть эффективно использовано для уменьшения или исключения коробления при изготовлении тонкостенных формостабильных конструкций из композитных материалов.
Р и с. 3 График изменения кривизны Kx для укладки (0/0/53/-53/-60/60/0/0)0
в зависимости от изменения степени армирования слоя КМ и с учетом натяжения волокон

Р и с. 4 График изменения кривизны Kx для укладки (0/93/3/90/90/0/90/0)0
в зависимости от изменения степени армирования слоя КМ и с учетом натяжения волокон
Было определено, что величина прогиба W, характеризующая коробление композитной панели, как для пакета с продольно-поперечной укладкой, так и пакета, содержащего продольно-поперечные и косые слои, непосредственно связаны с последовательностью укладки этих слоев, характеризующей асимметрию в свойствах материала композитной панели. Следует также отметить, что уровень асимметрии свойств материала слоистой пластины проявляется в величинах компонент матрицы жесткости
.На рис. 3 показано изменение кривизны
в зависимости от уровня технологического натяжения
и степени армирования слоя
для укладки (0/0/53/-53/-60/60/0/0)0. Как видно из графика, для данной укладки существуют вполне определенные значения комбинации величины технологического натяжения и уровня степени армирования, в которых кривизна
обращается в нуль, причем, проходя через нулевые значения, кривизна меняют знак на противоположный, вызывая прогиб панели W. Кривизна
, возрастая по абсолютной величине, пересекает нулевую плоскость, образуя линии нулевых значений кривизн, что означает отсутствие коробления у слоистой пластины. Из графиков видно, что наибольшие по абсолютному значению величины
соответствуют степени армирования слоя
=82% и уровню технологического натяжения
=0,8, а также для
=51% и
=0,2.Анализ слоистых пластин со схемой укладки слоев (0/93/3/90/90/0/90/0)0 (рис. 4) приводит к получению в основном таких же качественных результатов.
Анализ влияния изменения процентного содержания волокна на формоизменение композитных панелей дает возможность установить определенные зависимости между технологическими параметрами изготовления и внешнего (эксплуатационного) нагружения конструкции, а также позволяет оптимизировать весь процесс создания композитной конструкции, включая проектирование однонаправленного композита, проектирование элемента конструкции из условия внешнего нагружения и технологический процесс изготовления.
Реальная структура каждого слоя композита является гетерогенной средой, которая образуется за счет компонентов КМ, оказывающих существенное влияние на формоизменение композитных панелей. Учет неоднородности структуры композитных слоев в слоистых элементах конструкции, или структурный анализ, позволяет более полно и точно анализировать процессы деформирования и разрушения волокнистых композитов. Таким образом, было проведено исследование влияния изменения процентного содержания волокна на формоизменение композитных панелей.
На рис. 5, 6 представлено изменение кривизн
,
и
от изменения процентного содержания волокна для укладок (0/90/0/90/90/0/90/0)0 и (0/45/-45/90/90/-45/45/0)0. За начальный уровень была принята величина объемного содержания волокна
= 60%, которая принимала значения 53%, 55%, 57%, 59%, 61%, 63%, 65% и 67%.
Р и с. 5 Графики изменения кривизны Kx, Ky и Kxy для укладки (0/45/-45/90/90/-45/45/0)0 в зависимости от изменения процентного содержания волокна в композите
Проведенный анализ укладки (0/45/-45/90/90/-45/45/0)0 (рис. 5) показал, что минимальные значения
,
и
соответствуют величинам
= 59% и
= 61%, уменьшение же и увеличение процентного содержания волокна приводит к росту величин данных кривизн по абсолютному значению. Максимальное значение кривизна
принимает при
= 63%, где происходит существенный скачок этой величины,
– при
= 53%,
– при
= 67%.Для укладки (0/90/0/90/90/0/90/0)0 (рис. 6) была выявлена аналогичная закономерность для значения кривизны
, которая принимает максимальное значение также при степени армирования
= 53%. Величина
принимает минимальные значения при
= 59%,
= 61% и
= 67%, следует отметить что изменение данной величины также отмечено скачком на уровне
= 67%, при котором значение кривизны
самое минимальное. Значение
для данной схемы армирования равно нулю (
=0).
Р и с. 6 Графики изменения кривизны Kx, Ky и Kxy для укладки (0/90/0/90/90/0/90/0)0 в зависимости от изменения процентного содержания волокна в композите
Данный анализ дает возможность установить определенные зависимости между технологическими параметрами изготовления и внешнего (эксплуатационного) нагружения конструкции, а также позволяет оптимизировать весь процесс создания композитной конструкции, включая проектирование однонаправленного композита, проектирование элемента конструкции из условия внешнего нагружения и технологический процесс изготовления.
Для слоистых элементов конструкции, состоящих в общем случае из слоев с различными термоупругими характеристиками и расположенными несимметрично относительно срединной поверхности, матрица жесткостей Bij не равна нулю и задача расчета остаточных напряжений не разделяется на плоскую и изгиб.
В общем случае это означает, что растяжение таких пластин приводит к дополнительному изгибу, а изгиб вызывает дополнительное растяжение. Это одна из существенных особенностей анизотропных слоистых элементов конструкции, которая говорит о том, что связь между изгибом и растяжением уменьшает эффективную жесткость пластины. Анализ показывает, что неучтенные дополнительные напряжения могут вызывать ошибку между фактическим и расчетным уровнями до 30%.
При проектировании слоистых панелей и других элементов конструкции важно учитывать степень армирования и ориентацию слоев, существенно влияющих не только на несущую способность конструкции, но и на образование и распределение в слоях остаточных напряжений и деформаций. Для оценки несущей способности слоистых элементов конструкции под воздействием суммарных остаточных напряжений
в каждом слое необходимо знать характеристики прочности слоев, из которых состоит элемент.Прочностью слоя волокнистого композита при нагружении считается то предельное напряжение, которое вызывает разрушение (разделение) слоя или при котором достигается его предел пропорциональности.
Расчет на прочность слоистых композитов заключается в последовательной оценке прочности составляющих его слоев, находящихся в плоском напряженном состоянии. При этом используются различные феноменологические теории и критерии прочности, которые должны в той или иной степени учитывать особенности поведения этих материалов.
В данной работе для слоя однонаправленного волокнистого композита используется тензорно-инвариантный критерий Гольденблата – Копнова.
Учитывая важность данной проблемы, был проведен анализ изменения остаточных напряжений для композитов со структурой (0/45/-45/90/90/-45/45/0)0, (0/90/0/90/90/0/90/0)0, (0/0/60/-60/-60/60/0/0)0 и (0/30/-30/90/90/-30/30/0)0 в зависимости от угла разориентации и степени армирования слоя. Изменение угла разориентации в косых слоях для данных схем армирования варьировалось от 10 до 70, а изменение степени армирования слоя – от 51% до 82%.
Результаты распределения остаточных эквивалентных напряжений для композитов с упомянутыми выше схемами укладок в зависимости от угла разориентации при степени армирования слоя
= 60% приведены на рис. 7, 8.
Р и с. 7 Распределение остаточных технологических эквивалентных напряжений в зависимости от угла разориентации (Δφ = 00) при степени армирования (VB = 60%) восьмислойной углепластиковой панели с укладкой (0/0/60/-60/-60/60/0/0)0

Р и с. 8 Распределение остаточных технологических эквивалентных напряжений в зависимости от угла разориентации (Δφ = 70) при степени армирования (VB = 60%) восьмислойной углепластиковой панели с укладкой (0/0/53/-53/-60/60/0/0)0
Из анализа эпюр распределения остаточных напряжений в слоях композита с укладкой (0/0/60/-60/-60/60/0/0)0 видно, что изменение угла разориентации слоя больше чем на 30 приводит к уменьшению величины остаточных напряжений до 20%. Дальнейшее же увеличение значения угла разориентации создает ситуацию, когда остаточные напряжения начинают возвращаться к своему первоначальному значению, и даже увеличиваться до 2% от тех значений, которые соответствовали «идеальной» (при нулевом угле разориентации) укладке. Если говорить о качественной картине распределения остаточных напряжений, то из эпюр видно, что их значения увеличиваются от периферии к центру. Рост величины угла разориентации в данной укладке приводит к неравномерному распределению напряжений по слоям, т.е. здесь можно наблюдать «отклонение» от первоначального (для «идеальной» схемы армирования) закона распределения напряжений. Однако общие тенденции все же сохраняются.
Таким образом, анализ оценки влияния технологического натяжения слоев с учетом степени армирования слоя на уровень остаточных напряжений в слоистых панелях, приведенный выше, позволяет устанавливать величины натяжения, обеспечивающие монолитность структуры слоистых элементов конструкции при их изготовлении.
Разработанный метод и созданная компьютерная программа позволили проводить различные работы исследовательского характера, в частности на предприятии ОАО «Пластик» (г. Сызрань).
Так в рамках работы по теме «Отработка конструктивно-технологических решений для создания центрального зеркала для космического радиотелескопа КРТ», выполненной на ОАО «Пластик», проводился анализ влияния объемного содержание волокна и матрицы в КМ с целью получения оптимальных физико-механических характеристик монослоя и параметрический анализ углов укладки слоев в пакете для проектирования оптимальной структуры композита. Это исследование позволило выяснить, что содержание наполнителя в композите VB = 60% позволяет получить удовлетворительные свойства монослоя углепластика. А введение слоев с углами укладок (0/90/0/45)0 для ряда исследуемых структур углепластика позволяет снизить не только коробление при изготовлении, но и удовлетворить требованиям технического задания по деформациям в процессе эксплуатации.
В рамках выполнения работы на ОАО «Пластик» по теме: «Изготовление образцов оребренных и вафельных панелей из композиционных материалов» были получены результаты влияния углов разориентации в слоях композита на величину коэффициента линейного температурного расширения (КЛТР) и оценка технологических остаточных напряжений и деформаций различных фрагментов панелей, которые вызываются анизотропией механических и теплофизических свойств материала, неоднородностью структуры, взаимодействием с формующей технологической оснасткой позволили провести сравнительный анализ различных вариантов конструкции по технологичности. В результате проведенного анализа был сделан выбор в пользу конструкций интегрального типа, которые по сравнению с трехслойными конструкциями позволяют увеличить прочность на 30 ÷ 40%, а устойчивость до 70%.
В четвертой главе рассматриваются вопросы экспериментальной проверки данных, полученных с помощью разработанной программы.
Для проверки правильности расчёта формоизменения проведён эксперимент, в ходе которого были изготовлены восьмислойные пластины из углепластика с укладками (0/45/-45/90/90/-45/45/0)0, (0/46/-46/90/90/-45/45/0)0, (0/48/-48/90/90/-45/45/0)0, (0/40/-40/90/90/-45/45/0)0, (0/90/0/90/90/0/90/0)0, (0/91/1/90/90/0/90/0)0, (0/93/3/90/90/0/90/0)0, (0/0/60/-60/-60/60/0/0)0, (0/0/53/-53/-60/60/0/0)0, (0/24/-24/90/90/-30/30/0)0, (0/27/-27/90/90/-30/30/0)0, (0/29/-29/90/90/-30/30/0)0 и (0/30/-30/90/90/-30/30/0)0.
Проверка теоретических деформационных характеристик волокнистых композитов с учетом угла разориентации и натяжения волокон при изготовлении элементов конструкции проводилась на данных образцах, изготовленных прессованием из препрега на основе углеленты ЛУ – П – 01 и эпоксифенольного связующего ЭНФБ с объемным содержанием волокон 60%. Проводилось измерение прогибов испытуемых образцов. Результаты для рассмотренных точек измерения показали хорошую согласованность между экспериментальными и расчетными данными, которые находятся в интервале расхождения результатов 5 ÷ 10%.
Также проводились испытания на растяжение. Данные испытания на растяжение образцов из углепластика с упомянутыми выше схемами армирования проводились согласно ГОСТ 25601 – 80 на машине 1958У-10-1.
Проведенные испытания на растяжение позволили определить величины продольного и поперечного модулей упругости в зависимости от изменения угла разориентации слоя композита.
Сопоставление полученных расчетных результатов с экспериментальными данными подтверждает правильность используемой математической модели и метода расчета, т.к. при качественном совпадении изгибных форм количественные расхождения для прогибов W не превышают 5 ÷ 10 %, а количественные расхождения экспериментальных и расчетных модулей упругости не превосходят 3 ÷ 5%.
ОСНОВНЫЕ ВЫВОДЫ
1. Разработан метод анализа НДС многослойных композиционных материалов и конструкций на основе математической модели, позволяющей учитывать влияние температурных, силовых и технологических воздействий, возникающих как в процессе эксплуатации конструкций, так и на начальном этапе изготовления.
2. Предложен алгоритм расчета на ЭВМ и создана компьютерная программа, которые позволяют проводить анализ НДС многослойной панели с несимметричной структурой КМ по толщине с учётом степени армирования слоя, углов ориентации слоев и технологического натяжения волокон и находящейся в условиях силового и температурного воздействия.
3. Получены результаты анализа влияния:
- технологического натяжения волокон КМ на формоизменение композитных панелей в зависимости от изменения объемного содержания исходных компонентов в структуре КМ с учетом и без учета угла разориентации;
- последовательности укладки слоев композита с одновременным изменением угла разориентации в первых трех слоях на формоизменение слоистых композитных панелей в зависимости от объемного содержания исходных компонентов в структуре КМ;
- изменения процентного содержания волокна, в первых двух слоях, на формоизменение композитных панелей;
- угла разориентации на формоизменение композитных панелей в зависимости от объемного содержания исходных компонентов в структуре КМ;
- угла разориентации и степени армирования КМ на распределение технологических остаточных напряжений в слоистых тонкостенных композитных панелях;
- технологического натяжения, режима отверждения и свойств материала на распределение технологических остаточных напряжений в слоистых тонкостенных композитных панелях.
4. Получены экспериментальные значения параметров формоизменения слоистых пластин в зависимости от изменения угла ориентации и натяжения волокон и экспериментальные значения величин механических характеристик слоистых пластин в зависимости от изменения угла ориентации. Сопоставление полученных расчетных результатов с экспериментальными данными подтвердило правильность используемой математической модели и метода расчета.
5. С использованием разработанного метода и компьютерной программы были решены важные практические задачи:
- выбор структуры пакета композита оптимальной с точки зрения объемного содержания исходных компонентов и угла разориентации слоев при работе над проектом «Отработка конструктивно-технологических решений для создания центрального зеркала для космического радиотелескопа КРТ»;
- проведение сравнительного анализа различных вариантов конструкции по технологичности в рамках выполнения работы по теме: «Изготовление образцов оребренных и вафельных панелей из композиционных материалов». Были получены результаты влияния углов разориентации в слоях композита на величину коэффициента линейного температурного расширения (КЛТР) и проведена оценка технологических остаточных напряжений и деформаций фрагментов панелей, которые вызываются анизотропией механических и теплофизических свойств материала, неоднородностью структуры, взаимодействием с формующей технологической оснасткой.
ОСНОВНЫЕ МАТЕРИАЛЫ ДИССЕРТАЦИИ ОПУБЛИКОВАННЫЕ
В ИЗДАНИЯХ, ОПРЕДЕЛЕННЫХ ВАК
1) Клебанов Я. М., Давыдов А. Н., Биткина Е. В. Методика расчета напряженно-деформированного состояния композиционных материалов // Известия Самарского научного центра Российской академии наук. Специальный выпуск: Четверть века изысканий и экспериментов по созданию уникальных технологий и материалов для авиастроения УНТЦ – ФГУП – ВИАМ. Т. 1. 2008. – С. 91 – 95.
СПИСОК ДРУГИХ ПУБЛИКАЦИЙ ПО ТЕМЕ ДИССЕРТАЦИИ
2) Бляхман Р. И., Биткина Е. В. Влияние термоупругой анизотропии на размерную стабильность параболических антенн из углепластика. // XXV Самарская областная студенческая научная конференция: тез. докл. – Самар. гос. аэрокосм. ун-т им. С. П. Королева. – Самара, 1999. – С. 98.
3) Бляхман Р. И., Биткина Е. В. К решению задачи прочности многослойной пластины из композиционного материала несимметричного строения. // V Королевские чтения : тез. докл. – Самар. гос. аэрокосм. ун-т им. С. П. Королева. – Самара, 1999. – С. 20.
4) Бляхман Р. И., Биткина Е. В. Макромодели анализа размерной стабильности и прочности слоистых композитных конструкций с учетом остаточных технологических напряжений и натяжения волокон. // XXVIII Самарская областная студенческая научная конференция: тез. докл. – Самар. гос. аэрокосм. ун-т им. С. П. Королева. – Самара, 2002. – С. 161 – 162.
5) Молодцов Г. А., Симонов В. Ф., Биткин В. Е., Урмансов Ф. Ф., Князев А. Ф., Владимирова М. А., Биткина Е. В. Проектирование типовых размеростабильных космических конструкций интегрального типа из композиционных материалов. // Композиционные материалы в промышленности: Материалы XXIII международной конференции и выставки, Ялта - Киев: УИЦ "Наука. Техника. Технология", 2003. – С. 174 – 175.
6) Биткина Е. В., Биткин В. Е. Анализ влияния технологических факторов на формообразование элементов размеростабильных конструкций из КМ. // Композиционные материалы в промышленности: Материалы XXIV международной конференции и выставки, Ялта - Киев: УИЦ "Наука. Техника. Технология", 2004. – С. 244.
7) Симонов В. Ф., Биткина Е. В., Князев А. Ф., Биткин В. Е. Анализ НДС слоистых композитных панелей несимметричной структуры по толщине с учетом технологических факторов. // Композиционные материалы в промышленности: Материалы XXV международной конференции и выставки, Ялта - Киев: УИЦ "Наука. Техника. Технология", 2005. – С. 440 - 441.
8) Клебанов Я. М., Давыдов А. Н., Биткина Е. В. Циклическая несущая способность композиционных материалов. // Композиционные материалы в промышленности: Материалы XXVIII международной конференции и выставки, Ялта - Киев: УИЦ "Наука. Техника. Технология", 2008. – С. 464 – 465.
9) Биткина Е. В. Исследование упруго-пластических свойств волокнистых стеклопластиков. // Математическое моделирование и краевые задачи. Труды пятой Всероссийской научной конференции с международным участием. Ч. 1: Математические модели механики, прочности и надежности элементов конструкций. Самара: СамГТУ, 2008. – С. 59 – 62.
Автореферат отпечатан с разрешения диссертационного совета Д212.217.02 ГОУ ВПО Самарский государственный технический университет
(протокол № 9 от « 9 » ноября 2009 г.)
Заказ № 133 Тираж 100 экз.
Отпечатано на ризографе.
Филиал ГОУВПО Самарский государственный технический университет в г. Сызрани
446001 г. Сызрань ул. Советская, 45
