Президента Республики Беларусь А. Г. Руденко Коллектив авторов: Н. С. Березина, А. А. Бержанин, М. В. Ильин, Н. Г. Липницкая, > А. Е. Мацевило, С. Н. Пинчук, Е. И. Широкая, Н. С. Щекин Под общей редакцией С. Н. Князева методические рекомендации
| Вид материала | Методические рекомендации |
| 1. Общие положения о резерве руководящих кадров 2. Формирование резерва руководящих кадров Структурные подразделения по работе с кадрами |
- Методические рекомендации к лабораторно-практическим занятиям по общей химии Федеральное, 1679.63kb.
- Президента Республики Беларусь, 9 постановлений Совета Министров Республики Беларусь,, 245.33kb.
- Совета Министров Республики Беларусь от 31 октября 2001 г. № 1592 «Вопросы Министерства, 1014.79kb.
- Президента Республики Беларусь, осуществляется Управлением делами Президента Республики, 415.81kb.
- Методические рекомендации Под общей редакцией С. В. Жолована, И. В. Муштавинской Санкт-Петербург, 3673.68kb.
- Президента Республики Беларусь, 33 постановления Совета Министров Республики Беларусь,, 417kb.
- Удк 657. 422. 14: 631. 115, 1304.92kb.
- Президента Республики Беларусь А. Глукашенко, изложенным в ряде его ежегодных посланий, 347.51kb.
- Постановление совета министров республики беларусь, 107.04kb.
- Программы готовых тренингов под редакцией Жанны Завьяловой Совместный проект Издательства, 1801.97kb.
1. ОБЩИЕ ПОЛОЖЕНИЯ О РЕЗЕРВЕ РУКОВОДЯЩИХ КАДРОВ
Резерв руководящих кадров - это группа перспективных работников с соответствующими деловыми и личностными качествами, специально сформированная государственным органом и иной государственной организацией, должностным лицом на основе их индивидуального отбора и комплексной оценки.
Целью создания резерва является подготовка включенных в него лиц к занятию определенных руководящих должностей.
Резерв руководящих кадров формируют Администрация Президента Республики Беларусь, Совет Министров Республики Беларусь, республиканские государственные органы, облисполкомы и Минский горисполком, иные государственные органы на должности, включенные в их кадровые реестры. Резерв формируется из числа нижестоящих руководителей и квалифицированных специалистов государственного органа (организации), а также других государственных органов (организаций). При формировании резерва целесообразно обеспечивать последовательность прохождения лицами, включенными в резерв, ступеней иерархии государственного управления.
Виды резервов руководящих кадров можно классифицировать по признаку принадлежности государственных должностей к кадровым реестрам:
резерв на руководящие должности, включенные в кадровый
реестр Главы государства Республики Беларусь;
резерв на руководящие должности, включенные в кадровый
реестр Совета Министров Республики Беларусь;
резервы на руководящие должности, включенные в кадровые реестры республиканских государственных органов;
резервы на руководящие должности, включенные в кадровые реестры облисполкомов и Минского горисполкома и иных государственных органов (организаций).
Отдельно следует рассматривать такой вид резерва, как перспективный кадровый резерв, формируемый из числа молодежи - студентов высших учебных заведений и специалистов в возрасте до 31 года, имеющих лидерские и организаторские качества, способных к управленческой деятельности в государственных органах.
Резерв руководящих кадров может формироваться:
• на конкретную руководящую должность;
• на группу однородных должностей или должностей одного
уровня управления, в том числе в различных органах управления и
учреждениях.
В случае необходимости государственным органом (организацией), кроме резерва на конкретные руководящие должности, может формироваться специальная группа резерва для отбора кандидатов на любую вакантную должность.
Количественный состав резерва устанавливается исходя из наличия кандидатов на конкретные руководящие должности. Рекомендуется иметь в составе резерва на замещение должностей руководителей государственных органов (организаций) и их заместителей, как правило, не менее двух кандидатур.
Возраст лиц, включаемых в состав резерва для занятия следующих должностей, как правило, не должен превышать:
заместителей председателей горисполкомов (кроме Минского), райисполкомов, глав администраций районов в городах - 35 лет;
председателей горисполкомов (кроме Минского), райисполкомов, глав администраций районов в городах, заместителей председателей облисполкомов и Минского горисполкома - 40 лет;
заместителей министров, председателей государственных
комитетов, комитетов при Совете Министров Республики Беларусь - 45 лет;
министров, председателей государственных комитетов, комитетов при Совете Министров Республики Беларусь, облисполкомов и
Минского горисполкома, руководителей государственных организаций,
подчиненных Совету Министров Республики Беларусь — 50 лет.
Общее организационно-методическое руководство и координацию работы на уровне республики с резервом руководящих кадров государственных органов и иных государственных организаций осуществляет главное управление кадровой политики Администрации Президента Республики Беларусь.
Общее руководство работой с резервом руководящих кадров в государственном органе (организации) осуществляет руководитель этого органа (организации).
Текущая работа с резервом выполняется структурным подразделением государственного органа (организации) по работе с кадрами и охватывает следующие направления:
комплексное планирование работы с резервом;
организация и проведение оценочных процедур;
конкурсный отбор кандидатур для зачисления в резерв;
подготовка предложений о зачислении в резерв, об исключении из резерва, о выдвижении лиц, состоящих в резерве, на новую
должность,
координация и контроль выполнения планов работы с резервом;
рассмотрение и контроль выполнения индивидуальных планов подготовки лиц, состоящих в резерве;
организация переподготовки, повышения квалификации, стажировки лиц, состоящих в резерве;
формирование и ведение базы данных резерва и всех документов, отражающих процесс и результаты подготовки лиц, состоящих в резерве,
методическая помощь структурным подразделениям по работе с кадрами нижестоящих государственных органов (организаций).
2. ФОРМИРОВАНИЕ РЕЗЕРВА РУКОВОДЯЩИХ КАДРОВ
Формирование резерва производится на основе соблюдения следующих принципов:
объективности оценки деловых и личностных качеств кандидатов на руководящие должности,
коллегиальности рассмотрения вопросов зачисления в резерв;
недопущения дискриминации по признакам пола, национальности и вероисповедования;
ответственности руководителей государственных органов (организаций) за наличие резерва и его качественный уровень.
Источниками резерва руководящих кадров государственных органов (организаций) могут быть
главные и ведущие специалисты структурных подразделений государственных органов (организаций),
руководители государственных организаций, их заместители;
молодые специалисты, обладающие лидерскими качествами и успешно прошедшие стажировку,
государственные служащие, уволенные в результате ликвидации государственного органа, сокращения численности или штата работников
Формирование резерва предусматривает' выявление потребности в резерве, выдвижение в резерв; отбор кандидатов, зачисление в резерв
(рис 1).
Выявление потребности в резерве руководящих кадров предполагает оценку:
возможных изменений структуры аппарата управления;
степени обеспеченности резервом кадрового реестра руководящих должностей;
фактической численности подготовленного на данный момент резерва;
выбытия из состава резерва отдельных работников (по разным причинам).
Источники
формирования резерва
- лица, состоящие на государственной службе;
- лица, не состоящие на государственной службе;
- лица, состоящие в перспективном кадровом резерве
Методы отбора
- мнение коллектива;
- изучение рекомендаций;
- собеседование;
- анкетирование;
- тестирование;
- экспертная оценка.
Определение текущей и перспективной потребности государственных органов (организаций) в руководящих кадрах
Формирование требований к личностным качествам кандидатов с учетом функций органов государственного управления
Формирование списков кандидатов для выдвижения в резерв
Отбор кандидатов для зачисления в резерв
Зачисление в резерв
- лица, рекомендованные конкурсной комиссией для зачисления;
- государственные служащие, уволенные в результате ликвидации государственного органа, сокращения численности работников или штата
Утверждение резерва государственным органом (организаций), в кадровом реестр которого включены соответствующие должности


Рис. 1. Формирование резерва руководящих кадров
Выдвижение кандидатов в резерв осуществляют руководители структурных подразделений государственных органов (организаций). При этом в конкурсную комиссию на кандидата в состав резерва кадровой службой государственного органа (организации) представляются анкетные данные, копии документов об образовании, о переподготовке и повышении квалификации, характеристики с места работы.
Анализ данных на лицо, рекомендуемое в состав резерва, включает в себя: изучение анкетных данных и других сведений о кандидатах, оценку их личностных качеств, результатов трудовой деятельности, интервью (беседу) с кандидатами с целью выявления интересующих сведений (стремлений, потребностей, мотивов поведения).
Основными критериями для зачисления в резерв руководящих кадров являются:
уровень квалификации и управленческой подготовки, в том числе наличие высшего профильного образования;
положительные результаты работы в занимаемой должности;
деловые и личностные качества кандидата, его способности к предстоящей работе;
выводы аттестационной комиссии по итогам последней аттестации;
рекомендации, полученные по результатам диагностики личностных качеств, собеседования, анализа документов и отзывов о кандидате непосредственных руководителей и подчиненных;
возраст кандидата и состояние его здоровья.
В соответствии с действующими нормативными документами для отбора кандидатов в кадровый резерв в государственных органах (организациях) создаются конкурсные комиссии из числа руководящих работников государственного органа (организации), высококвалифицированных специалистов. Численный состав конкурсной комиссии должен быть не менее 5 человек. Председателем конкурсной комиссии назначается заместитель руководителя государственного органа (организации). Заседания конкурсной комиссии проводятся по мере необходимости обновления резерва и при наличии не менее двух третей ее состава (Приложение 1).
После изучения документов и собеседования с кандидатом конкурсная комиссия может принять одно из следующих решений:
рекомендовать для зачисления в резерв на должность (указывается конкретная руководящая должность);
рекомендовать для зачисления в специальную группу резерва;
• не соответствует требованиям, предъявляемым к должности, для занятия которой он может быть зачислен в резерв.
Конкурсная комиссия принимает решение открытым голосованием. Оно считается принятым, если за него проголосовало не менее половины присутствующих на заседании членов комиссии. Решение конкурсной комиссии, оформленное в виде протокола, вместе с представленными на кандидатов документами передается в десятидневный срок в кадровую службу государственного органа (организации).
Руководитель государственного органа (организации) на основании выводов конкурсной комиссии принимает решение о зачислении кандидата в резерв.
Список лиц, включенных в резерв (Приложение 2), а также план работы с резервом утверждается руководителем соответствующего государственного органа (организации). Сведения о зачислении в резерв вносятся в личное дело кандидата по месту его работы.
Резерв руководящих кадров должен обновляться по мере необходимости и ежегодно (до 30 марта) пересматриваться. Кадровая служба государственного органа (организации) анализирует его состояние и вносит предложения по его обновлению.
Срок нахождения в резерве определяется практической целесообразностью.
Учет резерва осуществляется путем ведения банка данных (список, электронная база данных). Характеристика системы электронного учета лиц, состоящих в резерве на руководящие должности, приведена в разделе 7.
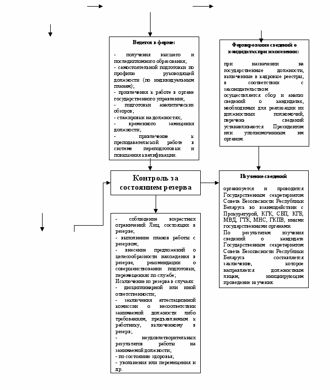
Вопросы отбора кандидатов в резерв, зачисления в резерв, исключения из резерва, а также результаты контроля за состоянием резерва рассматриваются в государственном органе (организации) на коллегиальной основе (рис. 2).
Решение о зачислении в резерв должно приниматься при участии кандидата в этот резерв и его согласии.
Зачисленный в резерв кандидат имеет право на:
первоочередное направление на переподготовку, повышение квалификации и стажировку;
исполнение в установленном порядке служебных обязанностей временно отсутствующих вышестоящих должностных лиц, а также руководящих работников, должности которых являются вакантными.
Включение в резерв не является безусловным основанием для назначения кандидата на планируемую к замещению руководящую должность. Однако при прочих равных условиях с другими претендентами на конкретную должность лица, состоящие в резерве, обладают преимущественным правом на занятие этой должности.

Подготовка резерва
Принятие решения о повышении в должности
Формирование резерва
Осуществляют:
- Администрация Президента Республики Беларусь – на должности включенные в кадровый реестр Главы государства Республики Беларусь;
- Совет Министров Республики Беларусь – на должности, включенные в кадровый реестр Совета Министров Республики Беларусь;
республиканские государственные органы
- на должности, включенные в их кадровые реестры;
облисполкомы и Минский горисполком
- на должности, включенные в кадровые реестры облисполкомов и Минского горисполкома;
районные и городские исполнительные комитеты
- на должности, включенные в кадровый реестр райисполкомов, горисполкомов;
администрации районов в городах
- на должности, включенные в кадровый реестр администраций и т.д.
Структурные подразделения по работе с кадрами:
- осуществляет комплексное планирование по работе с резервом
- организует проведение оценочных процедур и отбор кандидатов;
- вносит предложения о зачислении в резерв, выдвижении, исключении;
- утверждает индивидуальные планы подготовки лиц, состоящих в резерве;
- обеспечивает повышение квалификации лиц, состоящих в резерве;
- осуществляет учет документов, отражающих процесс и результаты подготовки лиц, состоящих в резерве, формирует и ведет соответствующую базу данных, в т.ч. электронную;
- организует социологические, психологические и другие исследования, направленные на повышение эффективности работы с резервом.
Рис. 2. Работа с резервом
