Б. В. Евтеев внутреняялогистик а
| Вид материала | Документы |
- Б. В. Евтеев кандидат физико математических наук наук, доцент, 666.97kb.
- Первый канал, новости экономики, 18. 07. 2008, Евтеев, 06:, 8732.19kb.
Б И Б Л И О Т Е К А П Р Е Д П Р И Н И М А Т Е Л Я
Образовательный центр «ЗНАНИЕ»
Б.В. Евтеев
В Н У Т Р Е Н Я Я Л О Г И С Т И К А:
У П Р А В Л Е Н И Е З А П А С А М И
П Р И Н Е З А В И С И М О М С П Р О С Е
В ПРАКТИКЕ МАЛОГО БИЗНЕСА
ПРАВИТЕЛЬСТВО МОСКВЫ
ДЕПАРТАМЕНТ ПОДДЕРЖКИ И РАЗВИТИЯ
МАЛОГО ПРЕДПРИНИМАТЕЛЬСТВА
МОСКОВСКИЙ ФОНД ПОДГОТОВКИ КАДРОВ
2004 г
Б.В. Евтеев – кандидат физико – математических наук наук, доцент
«Внутренняя логистика: управление запасами при независимом спросе» М., МСЭУ, с
Подготовлено при содействии Московского фонда подготовки кадров для слушателей курса «Логистика» предпринимателей, руководителей и специалистов малых предприятий.
.
Б.В. Евтеев. 2004
Издательство МСЭУ. 2004
Тираж 100 экз.
ВВЕДЕНИЕ
Для осуществления непрерывности производства или функционирования бизнеса требуется поддерживать определенный уровень запаса ресурсов того или иного вида. Избыточные запасы также как и их недостаток оказывают дестабилизирующее влияние на производственный или бизнес-процесс. Как отмечено в ([10]) «Излишние запасы являются тормозом на пути научно-технического прогресса. Переход на новый вид продукции обычно сдерживается требованием выработки всех имеемых запасов или дорогостоящим списанием их. Все эти проблемы обострились в связи с ускорением научно-технического прогресса, диверсификацией спроса и индивидуализацией производства, сокращением сроков морального старения техники. Возросли сложность решаемых задач и цена ошибочных решений».
Проблема управления запасами, равно как и методы ее решения имеет давнюю историю. К настоящему времени накопилось огромное количество работ как практического, так и теоретического характера. Более того «Сегодня по управлению запасами только на английском языке публикуется свыше 100 журнальных статей, монографии, учебники, труды конференций. Обсуждение проблем часто идет в более широком контексте (производство, логистика, транспортные аспекты). Разумеется, существует отставание практики от теории (и наоборот), но применение данной теории уже в течение 80 лет возможно и оправдано»( [10]).
Немаловажным моментом при принятии решений является не только их теоретическая обоснованность (см., например,[10], [11]), но и наличие соответствующей модели реальной ситуации.
При разработке сложных экономических систем можно использовать многочисленные пакеты прикладных программ, которые позволяют реализовывать различные математические модели реальных экономических процессов. Как правило, освоение указанных выше пакетов прикладных программ требует не только значительных временных, но и финансовых затрат.
В ряде работ, излагаются вопросы моделирования экономических систем с использованием тех или иных языков программирования, включая и объектно-ориентированные (см., например, [2]). Однако, с одной стороны, далеко не все желающие воспользоваться возможностями компьютеров обладают соответствующими навыками программирования, а с другой стороны эффективное решение многих задач предполагает использование компьютеров.
Учитывая сказанное выше, для решения задач моделирования предлагается воспользоваться теми программными средствами, которые доступны достаточно широкому кругу лиц с одной стороны и в то же время обладают достаточными возможностями для решения нетривиальных задач с другой стороны.
Поэтому в качестве программного средства, которое используется для моделирования систем управления запасами, рассматривается процессор электронных таблиц MS EXCEL.
В качестве моделируемых объектов выбраны склад и объект, называемый “магазин-склад”, различие между которыми, в частности, в том, что при функционировании второго необходимо учитывать так называемый отложенный спрос (неудовлетворенный спрос).
В различных системах управления запасами существенными характеристиками являются момент подачи заказа и его объем. Поэтому в дальнейшем рассмотрим два вида систем управления запасами. В первой системе управления запасами зафиксирован размер заказа, а во второй – интервал времени между заказами ([9]).
Рассмотрение именно этих систем объясняется еще и тем обстоятельством, что многие другие системы, например, система управления запасами с установленной периодичностью пополнения запаса до постоянного уровня или система управления запасами “минимум - максимум”, являются в определенном смысле производными упомянутых выше систем.
В заключение отметим, что излагаемый далее материал имеет компьютерную поддержку в виде файлов MS EXCEL, поэтому там, где это необходимо, в дальнейшем будем ссылаться на необходимую для изложения материала информацию, содержащуюся в них, например, описание рабочих листов, используемые макросы и т.д.
1. ПРОВЕДЕНИЕ ABC-АНАЛИЗА и XYZ-АНАЛИЗА
Процессы управления в логистике, как правило, связаны с достаточно большим количеством объектов. При этом далеко не все из них оказывают существенное влияние на эффективность управления этими процессами. Так, например, для достижения максимального объема выручки от реализации продукции или прибыли от реализации продукции обычно необходимо эффективно управлять не всем ассортиментом продукции, а сравнительно небольшой его частью. В связи с этим, прежде чем рассматривать конкретные системы управления запасами, остановимся на методах группировки всего ассортимента продукции с целью его ранжирования по тем или иным критериям. Точнее, речь пойдет о проведении ABC- анализа и XYZ – анализа.
Известная закономерность, которую хотя и называют по-разному, например, правило Парето или правило “большого пальца”, имеет вполне определенный смысл: лишь сравнительно небольшая часть управляемых объектов, порядка 20% от общего количества, вносит основной вклад, порядка 80%, в конечный результат.
Таким образом, целесообразно направлять большие финансовые и другие ресурсы для их использования в управлении именно этой сравнительно небольшой частью объектов. С этой целью проводится , так называемый АВС – анализ, суть которого заключается в том , чтобы разбить множество всех объектов на три группы А,В и С в зависимости от их вклада в конечный результат.
В группу А обычно включают совокупность объектов, вклад которых составляет порядка 80%, в группу В – порядка 15%, и ,наконец , в группу С – порядка 5% ([3]).Что касается объема ассортимента, попадающего в соответствующую группу, то он составляет для группы А – 15%, для группы В – 35%, а для группы С –50% от общего объема ([8]).
Далее проводится XYZ – анализ, суть которого заключается в том, чтобы определить степень отклонения некоторой исследуемой величины от ее среднего значения и группировать объекты, которая она характеризует, в зависимости от величины коэффициента вариации.
В основе проведения XYZ – анализа лежит нахождение
-коэффициентов вариации спроса по каждой позиции всего ассортимента, где i – номер позиции. В результате проведения XYZ – анализа весь ассортимент разбивается на три группы X,Y и Z, каждая из которых определяется соответствующим уровнем значения коэффициента вариации:- X – 55% общего объема ассортимента, при
≤ 10%;
- Y– 32% общего объема ассортимента, при 10% <
≤ 25%;
- Z– 13% общего объема ассортимента, при 25% <
([8]).
Таким образом, группа X состоит из товаров, на которые имеется достаточно стабильный спрос, группа Y представлена товарами со средними возможностями прогнозирования спроса и, наконец, группа Z состоит из товаров, прогнозирование спроса на которые весьма проблематично.
Результаты АВС– анализа и XYZ – анализа используются для построения матрицы, состоящей из трех строк и трех столбцов, которая называется матрицей АВС- XYZ. Элементами этой матрицы являются множества таких позиций из всего ассортимента товаров, которые попадают в одну и туже группу в результате как ABC –анализа так и XYZ – анализа.
Строки этой таблицы соответствуют группам А, В и С , а столбцы – X, Y и Z соответственно. При этом в ячейку таблицы, соответствующей фиксированной строке и столбцу записываются все номера позиций ассортимента, которые принадлежат соответствующим группам, на которые разбиты все элементы в результате АВС и XYZ – анализа. Таким образом, например, в первую строку и первый столбец записываются все элементы, которые принадлежат одновременно и группе А и группе X. Кстати, элементы именно этой ячейки таблицы заслуживают наибольшего внимания менеджеров.
| ГРУППЫ | X | Y | Z |
| А | | | |
| В | | | |
| С | | | |
Рис.1.1. Иллюстрация распределения всего ассортимента по зонам
1.1. ABC-анализ
Учитывая сказанное выше, например, для минимизации объема грузоперемещений на складе интернет-торговли для части ассортимента, пользующегося повышенным спросом, выделяются «горячие» линии и места для его размещения, которые характеризуются наиболее удобным доступом к товару и как можно близким расположением к зоне комплектации.
Оставшаяся часть ассортимента размещается в «теплой» и «холодной» зонах с более затруднительным доступом к товару или требующей большего объема грузоперемещений до зоны комплектации ([8]).
Приведем, согласно ([8]), разбивку всего ассортимента по зонам:
- «горячая» зона – удобство использования складских транспортных механизмов и близость к зоне комплектации; включает позиции ассортимента принадлежащие одновременно группам А и X, группам А и Y и группам B и X;
- «теплая» зона – достаточное удобство использования транспортных механизмов и небольшое грузоперемещение до зоны комплектации; включает позиции ассортимента принадлежащие одновременно группам A и Z, группам B и Y и группам C и X;
- «холодная» зона – места с неудобным доступом к товару и неудачно расположенные к зоне комплектации; включает позиции ассортимента принадлежащие одновременно группам B и Z, группам C и Y и группам C и Z.
Таблица 1.1.
Исходные данные для АВС - анализа и XYZ – анализа

На рис. 1.1 дано наглядное представление распределения всего ассортимента по указанным выше зонам
В качестве характеристик товаров в дальнейшем рассматриваются данные общих объемов их реализации в течение того или иного периода времени, а также их средние значения. Отметим, что все последующие рассуждения и результаты остаются практически без изменений во многих других случаях, например, если вместо средних значений реализации рассматривать объемы запасов на складе для соответствующих позиций ассортимента товаров.
Примером проведения АВС – анализа являются результаты, приведенные в табл. 1.2. и табл. 1.3. Кроме этого, дается графическая иллюстрация результатов этого анализа, представленная на рис. 1.1.
Таблица 1.2.
Результаты обработки исходной информации

В табл. 1.1. приводятся исходные данные, которые используются для проведения АВС – анализа. В столбце А указывается порядковый номер соответствующей позиции ассортимента продукции, а в столбце В приведены данные среднего объема реализации этой продукции. Данные остальных столбцов будут использоваться в дальнейшем при проведении XYZ – анализа, а для АВС – анализа они не используются.
Процедура проведения АВС – анализа заключается в расположении позиций данного ассортимента в порядке убывания их средних объемов реализации, вычислении долей этих позиций в общем среднем объеме реализации, нахождении доли соответствующей группы позиций ассортимента нарастающим итогом и отнесении позиции к той или иной группе в зависимости от суммарной величины средних объемов реализации продукции.
Результаты проведения АВС – анализа приведены в столбцах G – I табл. 1.3.
Таблица 1.3.
Результаты ABC-анализа

Сделаем необходимые пояснения к этим результатам. В столбцах E и F приводятся номера позиций ассортимента и соответствующие им средние значения объемов реализации, в порядке их убывания, по этим позициям. В столбце G приводятся соответствующие данные в процентном исчислении к общему среднему объему реализации. В столбце H представлен суммарная доля от общего объема всех предыдущих и текущей позиции, порядок которых определен в столбце E.
Точнее, в ячейку G4 введена формула:
=F4/СУММ($F$4:$F$53)
Остальные ячейки этого столбца, начиная с H4, заполняются в результате копирования этой формулы.

Рис. 1.2. Графическая иллюстрация результатов АВС - анализа
Что касается столбцов H и I, то они заполняются посредством копирования вниз следующих формул из ячеек H4 и I4 соответственно:
=СУММ($H$3:H3)
=ЕСЛИ(I3<=0,8;"А";ЕСЛИ(I3<=0,95;"B";"C"))
Результаты проведения АВС – анализа представлены в столбце I, где указывается группа, к которой принадлежит соответствующая позиция ассортимента продукции.
Наряду с АВС – анализом можно отметить еще один подход к группировке объектов управления в зависимости от степени отклонения некоторых параметров этих объектов от “средних” значений. Так, например, можно анализировать величину отклонения спроса на товары каждой позиции всего ассортимента в течение некоторого периода времени от его среднего значения за тот же период времени.
Такой анализ называют XYZ- анализом, к изложению которого мы переходим
1.2. XYZ - анализ.
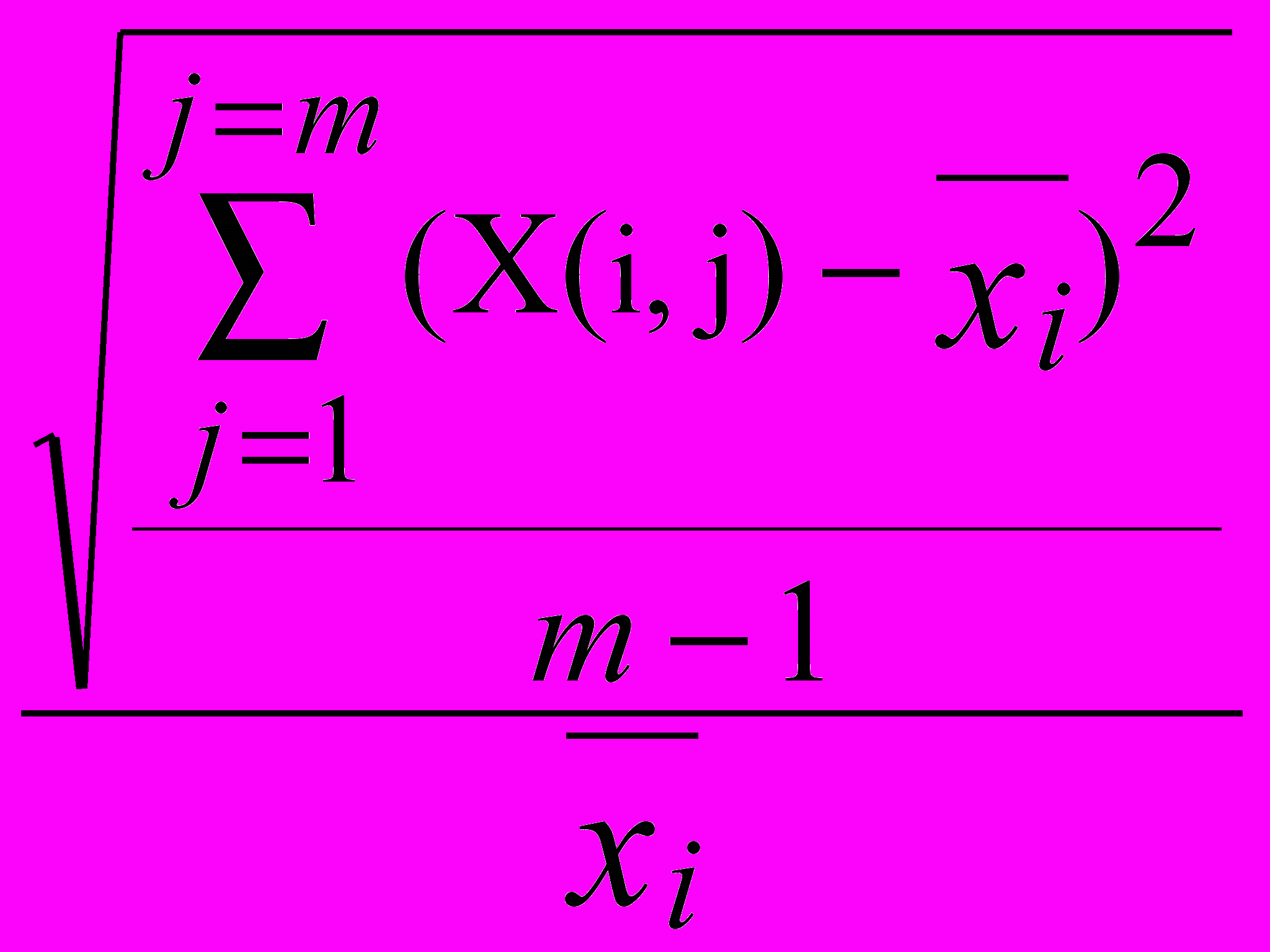
В качестве меры отклонения рассматриваемых нами в дальнейшем случайных величин, каковыми будут являться объемы реализации товаров по каждой позиции всего ассортимента, можно рассматривать коэффициент вариации, который используется в качестве показателя относительного разброса значений параметра от его среднего значения .
Напомним его определение, рассмотрев следующий пример. Пусть N видов товаров реализуются в течение m периодов времени. В качестве периода времени можно рассмотреть, например, месяц.
Обозначим через X(i,j) величину спроса i-го товара в j-ом периоде,
где i =
, j=
. Далее, пусть
- среднее значение спроса i–го товара в течение всех периодов, т.е.
=

Тогда коэффициент вариации спроса i-го товара
вычисляется по формуле:
=
.Отметим, что, в отличие от [6], нами используется несмещенная оценка стандартного отклонения при вычислении коэффициента вариации, в которой в знаменателе подкоренного выражения стоит m – 1, а не m, как в [6]. Это объясняется тем, что для величины спроса X(i,j) неизвестно её математическое ожидание, поэтому при вычислении коэффициента вариации используется его оценка
, а не само математическое ожидание. Таблица 1.4.
Результаты XYZ –анализа

Далее, весь ассортимент разбивается на группы X,Y,Z в зависимости от значения коэффициента вариации. В группs X, Y и Z включаются те товары, для которых 0≤
<≤a, a≤
<∞ соответственно.В табл. 1.2. приведены расчетные данные XYZ – анализа при a=15% и b=30%.
Столбцы B и D этой таблицы, начиная с четвертой строки, заполняются посредством копирования вниз формул
=СРЗНАЧ('Исходные данные'!C3:N3)
=СТАНДОТКЛОНА('Исходные данные'!C3:N3)/D4,
занесенных в ячейки B4 и D4 соответственно
Данные столбцов J, K и L табл. 1.4 представляют собой упорядоченный список позиций ассортимента по возрастанию значений коэффициента вариации с отнесением каждой позиции к группе X, Y или Z в зависимости от его величины.
Графическая иллюстрация результатов XYZ - анализа представлена на рис. 1.3.

Рис.1.3. Иллюстрация результатов XYZ – анализа
1.3. Представление ассортимента продукции в виде ABC – XYZ матрицы
В результате АВС - анализа и XYZ - анализа строится матрица, элементами которой являются совокупности тех позиций ассортимента, которые попали в одну и туже группу как в результате АВС – анализа, так и в результате XYZ – анализа.
Таким образом, весь ассортимент продукции распределяется по 9-ти группам. Каждая группа, как уже отмечалось выше, состоит из тех позиций ассортимента, которые принадлежат одной и той же группе как в результате АВС- анализа, так и в результате XYZ – анализа. Все группы помечаются парой букв, первая из которых указывает на принадлежность к соответствующей группе в результате АВС – анализа, а вторая – в результате XYZ- анализа. Результат такой группировки представлен в табл. 1.5.
Таблица 1.5.
Группировка всего ассортимента в результате
ABC-анализа и XYZ- анализа

В табл. 1.6 представлены результаты проведения АВС- анализа и XYZ – анализа в более удобной и наглядной форме.
Для формирования результатов анализа в виде представленном в
табл. 1.6 можно воспользоваться макросами REZ_ABC, MATR_ABC_XYZ и Cls.
С помощью макроса REZ_ABC на основе результатов ABC – анализа и XYZ - анализа формируются столбцы V и W.
В ячейку X4 занесена формула
=ЕСЛИ(D4<0,15;"X";ЕСЛИ(D4<=0,3;"Y";"Z")),
которая скопирована в следующие за ней вниз ячейки этого столбца.
С помощью макроса MATR_ABC_XYZ формируются столбцы X – AG, начиная с четвертой строки.
Для обновления результатов можно воспользоваться макросом Cls, который очищает заполненные ранее столбцы V, W и X – AG.
Таблица 1.6.
Результаты ABC-анализа и XYZ- анализа, ABC-XYZ матрица

РЕЗЮМЕ.
В силу отмеченных выше закономерностей (правило Парето) в этой главе уделено внимание распределению всего ассортимента продукции по группам, образованным в результате проведения ABC – анализа.
Принадлежность к той или иной группе зависит от вклада каждого объекта и всей группы в целом в конечный результат. В итоге весь ассортимент разбивается на три группы в зависимости от величины вклада каждой из них в конечный результат, чем заканчивается этап, связанный с проведением ABC – анализа.
В данной главе в качестве примера проведения АВС – анализа рассмотрено разбиение всего ассортимента продукции на три группы, которые обозначены буквами А, В и С, в зависимости от объема реализации каждой позиции ассортимента и всей группы в целом, которой она принадлежит, посредством упорядочения всего ассортимента продукции в порядке убывания объемов реализации и последовательного включения каждой позиции в соответствующую группу до момента достижения определенного общего объема всей совокупности ассортимента составляющего данную группу. В рассмотренных примерах заданы следующие уровни: группа А – 80%; группа В – 15% и група С – 5% от общего объема реализации соответственно.
После проведения АВС – анализа проведен XYZ – анализ, суть которого состоит в группировке всего ассортимента продукции в зависимости от относительной величины отклонения выручки по каждой позиции ассортимента этой группы от его среднего значения, которая называется коэффициентом вариации.
Смысл рассмотренной характеристики в том, что она связана со стабильностью (предсказуемостью) спроса на продукцию по каждой товарной позиции
В результате XYZ – анализа весь ассортимент продукции разбивается на три группы. Принадлежность к той или иной группе определяется величиной коэффициента вариации.
В рассмотренных примерах уровень коэффициента вариации задается следующим образом: группа X –до 15%; группа Y– до 30% и группа Z – свыше 30%.
В результате проведения АВС – анализа и XYZ – анализа, сформирована ABC – XYZ матрица, элементы которой все позиции ассортимента, попадающие в одну и ту же группу как при проведении АВС – анализа, так и при проведении XYZ – анализа. Смысл данной группировки в том , чтобы разбить весь ассортимент на три зоны : «горячую», «теплую» и «холодную».
Принадлежность к той или иной зоне определяет соответствующий режим работы с данной позицией ассортимента продукции. Так, например, принадлежность позиции к «горячей» зоне предполагает удобство использования складских транспортных механизмов, близость к зоне комплектации, повышенное внимание менеджеров в плане учета остатков продукции и т.д.
2. МОДЕЛИРОВАНИЕ СИСТЕМ УПРАВЛЕНИЯ ЗАПАСАМИ С ФИКСИРОВАННЫМ ОБЪЕМОМ ЗАКАЗА И ФИКСИРОВАННЫМ ИНТЕРВАЛОМ ВРЕМЕНИ МЕЖДУ ПОСТАВКАМИ
Многообразие систем управления запасами объясняется в частности тем, что в некоторых случаях удобно выставлять заказы в заранее известные моменты времени, например, в начале месяца, а размер заказа при этом несущественен и может меняться в случае необходимости. В других случаях важно заранее определиться с размером поставляемых заказов, а иногда необходимо минимизировать и их количество, если стоимость каждого заказа достаточно велика и т. д.
Прежде чем рассматривать различные модели управления запасами, решим задачу нахождения оптимального объема партии поставки, который актуален, в частности, при моделировании систем с фиксированным размером заказа.
2.1. Модель EOQ
Одна из первоочередных задач – определение оптимального размера заказа.
На его величину оказывают противоположное влияние издержки хранения и издержки подачи заказов.
Сделаем несколько замечаний по поводу аналитического решения задачи. Как известно суммарные издержки содержания запасов складываются из следующих компонентов:
-суммарная стоимость поданных заказов;
-стоимость самих заказанных товаров;
-стоимость хранения заказанных товаров.
Для количественной оценки всех этих компонентов введем следующие обозначения:
S– затраты на содержание запасов;
V– потребность в товарах;
C– стоимость подачи одного заказа;
E – затраты на содержание единицы товара на складе;
Q – объем заказа дополнительной партии товаров.
Для нахождения оптимального размера текущих запасов можно использовать известную «Модель экономически обоснованного размера заказа»(Economic ordering quantity – EOQ model) ([1]).
В результате получается следующее соотношение, характеризующее затраты по поддержанию запасов:

Нахождение минимального значения функции затрат S на содержание запасов в зависимости от объема запасов Q осуществляется стандартными методами математического анализа. В результате получается известная формула оптимального размера заказа
:
При моделировании систем управления запасами приходится находить текущие значения объемов запасов в определенные моменты времени, например, либо на начало рабочего дня, либо на момент его окончания. В дальнейшем мы ограничимся именно этими случаями, при этом единицей измерения времени будет день. Кроме этого, обычно требуется некоторое время, чтобы поступившая партия товара на склад могла отпускаться со склада. Будем предполагать, что для этого требуется не более одного дня. Сказанное выше влияет на величину объема запаса после выполнения заказов: объем запаса возрастает на величину партии поставки без учета дневного потребления, либо с учетом дневного потребления товаров.
2.2. Модель управления запасами с фиксированным размером заказа
Теперь перейдем к рассмотрению модели системы управления запасами с фиксированным размером заказа ([9]). При этом случай функционирования системы без задержек в поставках рассматривается как частный случай системы с задержками в поставках.
Дадим краткое описание функционирования системы. Так как излишки запасов товаров на складе влекут за собой дополнительные затраты, связанные с их хранением, то желательно, чтобы максимальный объем запасов не превосходил некоторого уровня. Его называют максимальным желательным уровнем запаса.
По мере расходования товаров со склада, как только величина запаса впервые станет меньше или равна некоторому значению, которое обычно называют пороговым, выставляется заявка для пополнения запаса. В связи с
Таблица 2.1.
Расчетные формулы для определения параметров системы

тем, что заявка может быть выполнена с задержкой, необходимо предусмотреть возможность удовлетворения ежедневного спроса на время задержки. В случае большого количества задержек возможно отсутствие товаров на складе в течение некоторого периода времени.
Таблица 2.2.
Расчет параметров системы

В связи с этим возникают два случая дальнейшего удовлетворения спроса: без учета неудовлетворенного спроса в течение всего времени отсутствия товаров на складе и с его учетом.
Таблица 2.3.
Реализация модели “магазин-склад”


Рис.2.1. Первая реализация модели “магазин-склад”
Первая модель характеризуется упущенной выгодой из-за отсутствия товаров на складе, а вторая – штрафными санкциями.

Рис.2.2. Иллюстрация реализации модели в течение года
Расчетные формулы и значения параметров системы приведены в табл. 2.1. и табл. 2.2.
В табл. 2.3. приведены результаты моделирования работы системы управления запасами в течение ее периода функционирования.
Таблица 2.4.
Многократная реализации модели и результаты
обработки статистического ряда

2.3. Модель управления запасами с фиксированным интервалом времени между заказами.
Теперь перейдем к рассмотрению системы управления запасами с фиксированным интервалом времени между запасами. В этом случае величина партии поставки не является постоянной, а определяется в зависимости от объема запаса в момент выставления заявки. Кроме этого, интервал времени между заказами является фиксированной величиной и не зависит от уровня запаса. Входные и расчетные параметры этой системы управления запасами определяются так же, как и в предыдущем случае, за исключением порогового уровня, который отсутствует, а вместо него появляется интервал времени между заказами. Для его расчета обычно используется оптимальный размер заказа:
I = N*ОРЗ/S ,
где I - интервал времени между заказами;
N - число рабочих дней в рассматриваемом периоде;
ОРЗ - оптимальный размер заказа;
S - потребность.
Как уже отмечалось выше, размер заказа не является постоянной величиной , а определяется в зависимости от уровня запаса на момент выставления заявки таким образом, чтобы поступивший заказ пополнил объем запасов до максимального желательного уровня:
РЗ = МЖЗ – ТЗ + ОП ,
где РЗ - размер заказа
МЖЗ - максимальный желательный запас
ТЗ - текущий запас
ОП - ожидаемое потребление за время поставки.
Таблица 2.5.
Реализация модели

Если не происходит задержки поставки дополнительной партии, то запас пополняется при достижении гарантийного уровня, при этом объем запаса достигает максимального желательного уровня. В случае наличия сбоя в

Рис. 2.3. Графическая иллюстрация функционирования модели без задержек в поставках
поставке используется гарантийный запас, причем уровень запаса после выполнения поставки будет меньше максимального желательного уровня,

Рис. 2.4. Графическая иллюстрация функционирования модели с задержками в поставках
который , например, будет достигнут в случае выполнения очередной заявки без задержки.

Рис. 2.5. Графическая иллюстрация функционирования модели с задержками в поставках в течение более длительного периода времени
Отметим некоторые особенности связанные с рассмотренными выше моделями. Прежде всего, они характеризуются тем, что объем партии поставки товаров, определяется согласно модели EOQ. Этим определяется его зависимость только от общего объема потребности в товарах в течение определенного периода, от стоимости хранения единицы товара на складе и от стоимости подачи заказа.
Таким образом, например, максимальный желательный запас, который определяется ожидаемым дневным потреблением, временем задержки поставки и объемом партии поставки, по существу не зависит от времени поставки. В то же время, пороговый уровень запаса полностью определяется гарантийным уровнем запаса и ожидаемым потреблением за время поставки. Поэтому , в зависимости от значений внешних параметров системы, например, времени поставки и потребности в товарах, могут возникать ситуации достаточно частого дефицита товаров на складе, а также случаи несогласованных значений расчетных параметров системы.
В связи с этим, в качестве иллюстрации, приводятся расчетные данные представленные в табл. 2.6. Они получены при тех же внешних параметрах, что и раньше, кроме потребности, которая равна 90000 ед. вместо 10000 ед.
Таблица 2.6.
Данные статистического ряда и результаты их обработки

Данные столбцов H, I, J и K табл. 2.6. представляют собой стоимость содержания товаров на складе, суммы штрафов из-за отсутствия товаров на складе, стоимость доставки партии товаров, включая стоимость оформления
заказа, и общую стоимость содержания системы соответственно для различных реализаций ее функционирования. Количество реализаций представлено в ячейке L6. В ячейках M6, N6 и O6 представлены среднее арифметическое, стандартное отклонение и коэффициент вариации статистического ряда данных, представленных в столбце K, соответственно.
Таблица 2.7.
Зависимость коэффициента вариации от годовой потребности

В табл. 2.7. приведены аналогичные результаты для изменения значений потребности в диапазоне от 100 ед. до 100000 ед. Данные табл. 2.7. указывают на достаточно широкий диапазон изменения значений годовой. потребности, в котором система работает стабильно.
РЕЗЮМЕ.
Излишки запасов также как и их недостаточное количество, отрицательным образом сказываются на показателях, характеризующих качество работы системы управления запасами.
В связи с этим возникают вопросы, связанные с оптимизацией размера партии поставляемых товаров для пополнения общих запасов. Поэтому, прежде всего, была рассмотрена модель EOQ и приведена формула для расчета оптимального, согласно указанной выше модели, размера партии пополнения общих запасов. В дальнейшем этот объем партии поставки товаров используется для определения параметров рассмотренных моделей
В различных системах управления запасами существенными характеристиками являются моменты подачи заказов и их объемы. Поэтому рассмотрены два вида систем управления запасами. В первой системе управления запасами зафиксирован размер заказа, а во второй – интервал времени между заказами
3. МОДЕЛИРОВАНИЕ СИСТЕМ “СКЛАД” И “МАГАЗИН-СКЛАД” СО СЛУЧАЙНЫМ СПРОСОМ И СЛУЧАЙНЫМ ВРЕМЕНЕМ ЗАДЕРЖКИ ПОСТАВКИ.
Дадим краткое описание функционирования склада и системы “магазин-склад” на конкретных примерах. Начнем со второй, так как она включает в себя функционирование склада.
Итак, реализация определенного вида товара, например, крупногабаритной бытовой техники или автомобилей осуществляется следующим образом. Покупатель в магазине оплачивает товар, после чего получает его на складе. При этом если оплаченный товар отсутствует на складе, покупателю выплачивается неустойка. В связи с этим перед предпринимателем возникает задача определения оптимального количества товаров, хранящихся на складе, так как помимо выплаты неустойки в связи с отсутствием товара необходимо нести расходы, связанные с хранением и доставкой товаров. Решение этой задачи усложняется тем, что некоторые параметры, например, спрос или время поставки товаров на склад являются случайными величинами (на первом этапе мы их рассматриваем как постоянные величины).
Один из путей решения задачи – моделирование функционирования системы в течение некоторого периода времени. Одно из возможных приложений результатов моделирования - определить для конкретной реализации необходимые затраты по содержанию системы. Получив достаточное количество реализаций, можно определить значения некоторых параметров системы, например, объем партии поставки товара на склад и уровень запаса товаров на складе, при котором оформляется заявка на поставку дополнительной партии товара на склад, на основе критериев теории эффективности [2].
Моделирование работы склада отдельно связано с тем, что, он функционирует несколько иначе, в частности, нет затрат связанных с неустойкой и, следовательно, нет необходимости учитывать отложенный спрос, так как в случае отсутствия товара на складе нет и его реализации.
Таким образом, один из ключевых моментов решения поставленной задачи оптимизации – моделирование работы склада или системы “магазин-склад”.
Таблица 1.
Результаты моделирования систем

Приведем результаты моделирования, описанных выше ситуаций, но прежде перечислим исходные данные, которые необходимо задавать. К ним относятся:
- уровень запаса товара на складе;
- средний ежедневный спрос товара;
- стандартное отклонение ежедневного спроса;
- объем партии поставки товара на склад;
- уровень запаса, при котором оформляется заявка на поставку дополнительной партии товара на склад;
- среднее время поставки дополнительной партии товара на склад;
- стандартное отклонение времени поставки товара на склад;
- период функционирования склада.
Сделаем несколько пояснений к представленным ниже результатам. Объем запаса на складе фиксируется на начало каждого дня. До тех пор, пока не выполнена поданная заявка на поставку, следующая заявка не подается. Колонка индикатора подачи заявки используется для указания момента поставки.
В табл. 1. приведены результаты моделирования работы “склада” и системы “магазин-склад”.
В диапазоне A1..H2 приведены исходные данные, о которых говорилось выше. Далее, в столбце A в ячейках A6..A35 указывается временной диапазон, в течение которого моделируется работа склада. В данном случае это тридцать рабочих дней.
В столбцах F-H приведены расчетные формулы для вычисления объема запаса, индикатора подачи заявки и объема спроса соответственно.
Расчетные формулы приведены в строке формул и соответствуют ячейкам, выделенным курсором. Данные для остальных ячеек столбца получаются в результате копирования указанных формул в соответствующие ячейки, расположенные с седьмой по тридцать пятую строку включительно.
Несколько иначе заполняются ячейки, стоящие в шестой строке. Далее, приводятся формулы, введенные в ячейки B6,C6,D6,F6,G6, H6 соответственно:
B6 = A2;
C6=ЕСЛИ(B6-ЦЕЛОЕ($B$2-C$2*N103)<=$D$2;
ЦЕЛОЕ($F$2+$G$2*N104);0);
D6 = ЦЕЛОЕ($B$2+$C$2*N102);
F6 = A2;
G6=ЕСЛИ(F6-ЦЕЛОЕ($B$2-$C$2*N103)<=$D$2;
ЦЕЛОЕ($F$2+$G$2*N104);0);
H6 = ЦЕЛОЕ($B$2+$C$2*N40).
Для изображения уровня запаса на графиках реализации работы склада в течение некоторого периода, при котором оформляется заявка на поставку дополнительной партии товара на склад, величина которого заносится в ячейку H2, используются данные ячейки D2. Для этой цели они копируются в диапазон ячеек E6..E35.
Результаты моделирования приведены на рис. 3.1 - рис. 3. Здесь изображены одна реализация работы системы “склад” и две реализации работы системы “магазин-склад” в течение тридцати рабочих дней.

Рис.1. Реализация работы модели “склад”
Для реализаций системы “магазин-склад” каждая следующая получается после предыдущей нажатием клавиши F9.
Отметим, что данные, приведенные в табл.1. можно использовать для исследования не только стохастических моделей, но и моделей, у которых все входные параметры являются постоянными величинами. Для этого ячейки, содержащие значения стандартных отклонений случайных величин заполняются нулями. При этом ячейки D2 и C2 содержат значения ежедневного спроса и времени поставки дополнительной партии товара.

Рис.2. Первая реализация работы модели “магазин-склад”
в соответствующих ячейках столбца N с использованием встроенной функции СЛЧИС.
В табл. 1.. представлены также исходные данные и расчетные данные для модели “магазин-склад”. Формулы в столбцах B и C получены обобщением соответствующих формул в столбцах F и G.
На рис. 2. и рис. 3. приведены две реализации работы системы “магазин-склад” в течение 30-ти рабочих дней. Как уже отмечалось выше, каждая последующая реализация получена после предыдущей нажатием клавиши F9.
На всех приведенных графиках указан один и тот же уровень запаса, при котором оформляется заявка на поставку дополнительной партии товара на склад. Данные для его изображения на графиках берутся из диапазона ячеек E6..E35.
Для многократной реализации функционирования систем “склад ” и “ магазин-склад ” с подсчетом затрат на их содержание и расчетом среднего и коэффициента вариации можно воспользоваться макросом Cost1.
В табл. 2. и табл. 3. приведены данные по затратам на содержание соответствующих систем “склад ” и “ магазин-склад ”, которые получены в результате обработки статистических рядов в количестве 1000 членов, состоящих из величин затрат на содержание соответствующих систем.

Рис.3. Вторая реализация работы модели “магазин-склад”
Для формирования табл. 2. и табл. 3. можно воспользоваться макросом Cost2.
В рассмотренных моделях объем партии поставки товаров на склад является постоянной величиной, не зависящей от количества оставшихся на складе товаров. В плане обобщения рассмотренных моделей можно предусмотреть возможность изменения указанной величины по тому или иному критерию. Например, можно смоделировать ситуацию, когда значение партии поставки является независимой случайной величиной с нормальным законом распределения, или представляет собой случайную величину, зависящую от количества товаров на складе в момент подачи заявки на поставку дополнительной партии товара и величины предполагаемого спроса в течение определенного периода времени и т.д.
В связи с анализом функционирования моделируемых объектов возникает задача оптимизации количества хранящихся на складе товаров. Решение этой задачи усложняется тем, что некоторые параметры, например, спрос или время поставки товаров на склад, являются случайными величинами. Этим обстоятельством объясняется, в частности, выбор алгоритмических статистических моделей.
Один из путей решения задачи – моделирование функционирования системы в течение некоторого периода времени. Цель моделирования – оп-
Таблица 2.
Результаты статистической обработки для модели “склад”

ределить для конкретной реализации необходимые затраты на содержание системы. Получающиеся при этом различные реализации функционирования
той или иной системы дают возможность определить оптимальные значения параметров системы, используя различные методы, включая методы математической статистики.
«Имитационное моделирование – воспроизведение процессов, происходящих в системе, путем имитации случайных величин, от которых зависят эти процессы (с помощью датчика случайных или псевдослучайных чисел). Чем больше количество реализаций случайного процесса получено в результате моделирования, тем полнее будет статистический материал, обрабатываемый обычными методами математической статистики. Алгоритм имитационного моделирования зависит от того, какие характеристики исследуются. Имитационное моделирование используется как для анализа, так и для оптимизации и синтеза систем. Имитационная модель предназначена для анализа воздействия на какую-либо систему изменений в ее структуре и (или) внешних условий функционирования(ретроспективный анализ или определение спектра допустимых сценариев будущего развития – вариантных или альтернативных прогнозов)» ([8]).
Таблица 3.
Результаты статистической обработки для модели “магазин-склад”

В заключение еще раз отметим, что предлагаемые алгоритмические статистические модели систем управления запасами реализованы средствами
процессора электронных таблиц MS EXCEL. Выбор для моделирования данного приложения объясняется не только его широким распространением и использованием в учебном процессе, а и достаточно большими возможностями для моделирования экономических систем.
РЕЗЮМЕ
Ситуация моделирования систем управления запасами в рассмотренном разделе отличается от ситуации предыдущего раздела меньшим количеством рассчитываемых характеристик.
Некоторые из основных характеристик системы управления, таким образом, переходят из разряда так называемых эндогенных переменных, т.е. внутренних переменных системы, в разряд экзогенных переменных, т.е. внешних, автономных, в определенной степени независимых от системы.
В качестве примера рассмотрены две характеристики системы:
- объем партии поставки для пополнения запасов;
- уровень запаса для подачи заявки
Возможность моделировать работу системы управления запасами многократно предоставляет нам необходимый объем статистической информации для принятия обоснованных решений с точки зрения математической статистики.
Теоретическое обоснование тех или иных результатов, как правило, связано с достаточно жесткими ограничениями на некоторые заранее неизвестные величины, значения которых носят случайный характер. Поэтому возникает задача описания этой случайной величины с помощью того или иного закона распределения случайных величин, что, в свою очередь, бывает весьма затруднительно в ряде ситуаций.
ЗАКЛЮЧЕНИЕ
Хотя начала такой области человеческих знаний как «логистика» уходят в древние времена, тем не менее, справедливо отмечено, что «Фундаментальные принципы новой научной дисциплины – логистики сформировались в начале 1970-х годов, тогда же начали применять их на практике первые предприятия и компании. Сегодня логистиков готовят в вузах, ими становятся специалисты по компьютерным технологиям, освоившие новую специальность в процессе работы на предприятии.» ([8]).
Таким образом, современные достижения компьютерных и информационных технологий находят все большее применение в различных областях человеческой деятельности. Результаты, представленные в данной работе являются тому подтверждением.
При проведении АВС – анализа и XYZ – анализа приходится подчас иметь дело не с одним десятком, а то и сотней позиций ассортимента продукции. Эффективная оперативная обработка такого объема информации вряд ли возможна без использования компьютерных технологий.
Что касается имитационного моделирования различных систем управления запасами, то в этом случае компьютер просто незаменим.
В качестве инструментария выбрано приложение MS EXCEL, которое с одной стороны, в силу своей доступности и простоты в использовании, применяется довольно широким кругом различных пользователей, а с другой стороны, возможностями для решения задач различной сложности, как вычислительной, так и логической. В подтверждение вышесказанного достаточно упомянуть встроенный язык программирования VBA, которым, в случае необходимости, могут воспользоваться пользователи, имеющие для этого достаточные навыки в программировании.
ЛИТЕРАТУРА
1.Бланк И.А. Финансовый менеджмент: Учебный курс.– К.: Ника-Центр, Эльга, 2001.- 528с.
2. Варфоломеев В.И. Алгоритмическое моделирование элементов экономических систем.- М.: Финансы и статистика, 2000.
3.Гаджинский А.М. Практикум по логистике.—2-е изд., перераб. и доп.—М.: издательско-торговый центр “Маркетинг”, 2001.
4.Евтеев Б.В., Евтеев Е.Б. Моделирование систем управления запасами в MS EXCEL. Сборник научных работ. Выпуск 4. [По материалам 4-й научной конференции профессоров и преподавателей Института экономики и предпринимательства., 4 апреля 2001г.].- с. 148-156. — М.: ИНЭП, 2001.
5.Евтеев Б.В. Моделирование систем управления запасами. XV Международные Плехановские чтения ,тез. докл. — М.: РЭА им Г.В. Плеханова. — 2002. , с. 197.
- Евтеев Б.В., Коршунов В.А. Решение задач логистики средствами Excel. Современные аспекты экономики—СПб, №3 (16), 2002, с. 15-25.
7.Евтеев Б.В. Реализация ABC и XYZ – анализа и моделирование основных систем управления запасами в EXCEL. Сборник научных работ. Выпуск 6. [По материалам 6-й научной конференции профессоров и преподавателей Института экономики и предпринимательства., 4-9 апреля 2003г.].- с. 161-174. — М.: ИНЭП, 2003.
8.Интегрированная логистика накопительно-распределительных комплексов (склады, транспортные узлы, терминалы ): Учебник для транспортных вузов. / Под общ.ред. Л.Б.Миротина. – М.: Издательство «Экзамен», 2003.– 448 с.
9.Логистика: Учебник / Под ред. Б.А. Аникина.—2-е изд., перераб. и доп.— М.: ИНФРА-М, 1999.
10.Рыжиков Ю.И. Теория очередей и управление запасами. – СПб: Питер, 2001.– 384 с.
11.Таха, Хемди, А. Введение в исследование операций, 6-е издание.: Пер. с англ. – М.: Издательский дом «Вильямс», 2001. – 912 с.
СОДЕРЖАНИЕ
ВВЕДЕНИЕ
1. ПРОВЕДЕНИЕ ABC-АНАЛИЗА И XYZ-АНЛИЗА
- ABC-анализ
- XYZ-анализ
- Представление ассортимента продукции в виде ABC – XYZ матрицы
- МОДЕЛИРОВАНИЕ СИСТЕМ УПРАВЛЕНИЯ ЗАПАСАМИ С ФИКСИРОВАННЫМ ОБЪЕМОМ ЗАКАЗА И ФИКСИРОВАННЫМ ИНТЕРВАЛОМ ВРЕМЕНИ МЕЖДУ ПОСТАВКАМИ
- Модель EOQ
- Модель управления запасами с фиксированным размером заказа
- Модель управления запасами с фиксированным интервалом времени между заказами
- Модель EOQ
- МОДЕЛИРОВАНИЕ СИСТЕМ «СКЛАД» И «МАГАЗИН-СКЛАД» СО СЛУЧАЙНЫМ СПРОСОМ И СЛУЧАЙНЫМ ВРЕМЕНЕМ ЗАДЕРЖКИ ПОСТАВКИ
ЗАКЛЮЧЕНИЕ
ЛИТЕРАТУРА
ДЛЯ ЗАМЕТОК
ДЛЯ ЗАМЕТОК


