Про затвердження Правил будови І безпечної експлуатації вантажопідіймальних кранів Наказ Державного комітету України з промислової безпеки, охорони праці та гірничого нагляду від 18 червня 2007 року n 132 Зареєстровано в Міністерстві юстиції України
| Вид материала | Документы |
- Про затвердження Правил будови І безпечної експлуатації вантажопідіймальних кранів, 3784kb.
- Про затвердження Правил будови І безпечної експлуатації ліфтів Наказ Державного комітету, 1356.28kb.
- Про затвердження Правил будови І безпечної експлуатації навантажувачів, 1888.54kb.
- Правила безпечної експлуатації насосних станцій водогосподарських систем, 624.01kb.
- Про затвердження Правил охорони праці під час виконання робіт на висоті, 1333.25kb.
- Преамбула із змінами, внесеними згідно з наказом Державного комітету України з промислової, 692.39kb.
- Правових актів з охорони праці, затвердженого наказом Державного комітету України, 14.35kb.
- Про затвердження Вимог до спеціалізованих та експертних організацій, передбачених постановою, 132.61kb.
- Правила з безпечної експлуатації систем вентиляції у хімічних виробництвах, 948.29kb.
- План роботи управління Державного комітету України з промислової безпеки, охорони праці, 884.25kb.
| Додаток 1 до пункту 4.1.2 Правил будови і безпечної експлуатації вантажопідіймальних кранів |
Визначення групи класифікації (режиму роботи) вантажопідіймальних кранів і механізмів у цілому
1. Група класифікації (режиму роботи) кранів у цілому визначається за табл. 1.1 - залежно від класу використання (U0 - U9), що характеризується величиною максимального числа циклів за заданий термін служби, та режиму навантаження (Q1-Q4).
1.1. Режим навантаження крана характеризується величиною коефіцієнта розподілу навантажень Kp, що визначається за формулою
| , |
де Ci - середня кількість робочих циклів з частинним рівнем маси вантажу Pi;
CT - сумарне число робочих циклів за весь термін служби крана:
| , |
Pi - значення мас окремих вантажів (рівні навантаження) при типовому використанні крана;
Pmax - маса найбільшого вантажу (номінальний вантаж), який дозволяється піднімати краном;
m = 3.
2. Група класифікації (режиму роботи) механізмів у цілому визначається за табл. 1.2 залежно від класу використання механізму (T0 - T9), що характеризується загальною тривалістю використання механізму (у годинах), та режимом навантаження (L1 - L4).
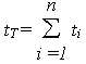
2.1. Режим навантаження механізму характеризується величиною коефіцієнта розподілу навантаження Km, що визначається за формулою
| , |
де ti - середня тривалість використання механізму при частинних рівнях навантаження Pi;
tT - загальна тривалість при всіх частинних рівнях навантаження:
| ; |
Pi - значення частинних навантажень (рівні навантажень), характерних для застосування даного механізму;
Pmax - значення найбільшого навантаження, що прикладається до механізму;
m = 3.
Таблиця 1.1. Групи класифікації (режиму роботи) кранів у цілому
| Режим навантаження | Коефіцієнт навантаження Kp | Характерис- тика вантажів, що підій- маються кранами | Клас використання | |||||||||
| нерегулярне використання | регулярне викорис- тання за легких умов | регулярне викорис- тання з перервами | регулярне інтен- сивне викорис- тання | інтенсивне використання | ||||||||
| U0 | U1 | U2 | U3 | U4 | U5 | U6 | U7 | U8 | U9 | |||
| Максимальна кількість робочих циклів | ||||||||||||
| 1,6 · 104 | 3,2 · 104 | 6,3 · 104 | 1,25 · 105 | 2,5 · 105 | 5 · 105 | 1 · 106 | 2 · 106 | 4 · 106 | Понад 4 · 106 | |||
| Q1 - легкий | 0,125 | легкі - регулярно, а номінальні - зрідка | | | А1 | А2 | А3 | А4 | А5 | А6 | А7 | А8 |
| Q2 - середній | 0,25 | середні -регулярно, а номінальні - досить часто | | А1 | А2 | А3 | А4 | А5 | А6 | А7 | А8 | |
| Q3 - важкий | 0,5 | важкі - регулярно, а номінальні - часто | А1 | А2 | А3 | А4 | А5 | А6 | А7 | А8 | | |
| Q4 - дуже важкий | 1,0 | близькі до номінальних - регулярно | А2 | А3 | А4 | А5 | А6 | А7 | А8 | | | |
Таблиця 1.2. Групи класифікації (режиму роботи) механізмів у цілому
| Режим навантаження | Номінальний коефіцієнт навантаження Kм | Характеристика дій навантажень, яких зазнають механізми | Клас використання механізмів | |||||||||
| нерегулярне використання | регулярне використання за легких умов | регулярне використання з перервами | регулярне інтенсивне використання | інтенсивне використання | ||||||||
| T0 | T1 | T2 | T3 | T4 | T5 | T6 | T7 | T8 | T9 | |||
| Загальна тривалість використання, годин | ||||||||||||
| 200 | 400 | 800 | 1600 | 3200 | 6300 | 12500 | 25000 | 50000 | 100000 | |||
| L1 - легкий | 0,125 | малі регулярно, а найбільші - зрідка | | | M1 | M2 | M3 | M4 | M5 | M6 | M7 | M8 |
| L2 - середній | 0,250 | помірні - регулярно, а найбільші - досить часто | | M1 | M2 | M3 | M4 | M5 | M6 | M7 | M8 | |
| L3 - важкий | 0,5 | великі - регулярно, а найбільші - часто | M1 | M2 | M3 | M4 | M5 | M6 | M7 | M8 | | |
| L4 - дуже важкий | 1,0 | найбільші - регулярно | M2 | M3 | M4 | M5 | M6 | M7 | M8 | | | |
| Начальник управління організації державного нагляду в металургії, машинобудуванні, енергетиці, будівництві та котлонагляду Держгірпромнагляду | В. І. Іванченко |
| Додаток 2 до пункту 4.19.8 Правил будови і безпечної експлуатації вантажопідіймальних кранів |
Граничні відхилення рейкових колій від проектного положення
Таблиця 2.1. Граничні відхилення рейкових колій для опорних кранів
| Відхилення | Графічне зображення відхилення | Крани | ||||
| мостові | баштові | козлові, напівкозлові | портальні | переванта- жувачі | ||
| Різниця позначок головок рейок в одному поперечному перерізі P1, мм (S - розмір колії, м) | | 40 | 45 - 60 (для S = 4,5 - 6 м) | 40 | 40 | 50 |
| Різниця позначок рейок на сусідніх колонах P2, мм | | 10 | | | | |
| Звуження або розширення рейкової колії (відхилення величини прогону S у плані) P3, мм | | 15 | 10 | 15 | 15 | 20 |
| Взаємне зміщення торців рейок, що стикуються, у плані та за висотою P4, мм | | 2 | 3 | 2 | 2 | 2 |
| Зазори у стиках рейок P5 (при температурі 0° C і довжині рейки 12,5 м), мм | | 6 | 6 | 6 | 6 | 6 |
| Відхилення рейки від горизонтальності (різниця висотних позначок головок рейок) на довжині 10 м рейкової колії P6, мм | | - | 40 | 30 | 20 | 30 |
| Відхилення рейки від прямолінійності на ділянці 10 м: | | | | | | |
| з жорсткими ходовими рамами; | 20 | 20 | 20 | 20 | 20 | |
| з балансирними візками | 25 | 25 | 25 | 25 | 25 |
Примітки:
1. Під час експлуатації слід дотримуватися зазначених граничних величин відхилень. Допуски на укладення повинні бути вказані в проектній документації на рейкову колію.
2. Вимірювання відхилень P1 і P3 здійснюють на всій ділянці можливого руху крана через інтервали не більше 6 м.
3. У разі зміни температури на кожні 10° C допуск на зазор P5 змінюють на 1,5 мм. Наприклад, при температурі плюс 20° C зазор між рейками має бути 3 мм, а при температурі мінус 10° C - 7,5 мм.
4. Відхилення для рейкових колій козлових кранів прогоном 30 м і більше визначають за нормами для перевантажувачів.
Таблиця 2.2. Граничні відхилення рейкових колій підвісних вантажопідіймальних машин
| Вантажопідіймальна машина | Відхилення | |||||||
| | | ||||||
| Різниця позначок нижньої їздової полиці на суміжних опорах (уздовж колії), мм | Різниця позначок нижніх їздових полиць сусідніх балок у прогонах в одному поперечному перерізі, мм | Зміщення перерізу балки від поздовжньої розподільної осі колії, мм | ||||||
| на опорах | у прогоні | |||||||
| під час монтажу | під час експлуатації | під час монтажу | під час експлуатації | під час монтажу | під час експлуатації | під час монтажу | під час експлуатації | |
| Талі ручні та електричні, однорейкові візки | 1/1500 L | 1/1000 L | - | - | - | - | - | - |
| Підвісні крани | 6 | 10 | 10 | 15 | ± 3 | ± 4 | ||
| Те саме зі стиковими замками | 2 | 3 | 2 | 3 | ± 3 | ± 4 |
| Начальник управління організації державного нагляду в металургії, машинобудуванні, енергетиці, будівництві та котлонагляду Держгірпромнагляду | В. І. Іванченко |
| Додаток 3 до пункту 4.19.8 Правил будови і безпечної експлуатації вантажопідіймальних кранів |
Критерії бракування рейкових колій
| Таблиця 3.1. |
| Найменування колії | Пошкодження та дефекти |
| Рейкова колія опорних вантажопідіймальних кранів | 1. У рейках: тріщини будь-яких розмірів; сколення головки або підошви; вертикальне, горизонтальне або наведене (вертикальне плюс половина горизонтального) спрацювання головки рейки більше 15 % величини відповідного розміру неспрацьованого профілю. 2. У залізобетонних шпалах: сколення бетону до появи арматури, а також інше сколення бетону на ділянці завдовжки більше 250 мм; суцільні, що оперізують, або поздовжні тріщини довжиною більше 100 мм з розкриттям більше 0,3 мм. 3. У дерев'яних напівшпалах: злам, поперечні тріщини завглибшки більше 50 мм і завдовжки більше 200 мм; поверхнева трухлявина розміром більше 20 мм під накладками та більше 60 мм на інших поверхнях. 4. Відхилення рейкових колій у плані і профілі, значення яких перевищують зазначені у додатку 2 цих Правил |
| Рейкова колія підвісних вантажопідіймальних кранів і машин | 1. Тріщини та сколення будь-яких розмірів. 2. Зменшення ширини полиці рейки внаслідок спрацювання - B 0,05B (рисунок 3.1). 3. Зменшення товщини полиці рейки внаслідок спрацювання - 0,2 з одночасним відгином полиці f1 0,15. 4. Відгин полиці рейки f1 0,25 з одночасним спрацюванням полиці 0,1 |
