Книга посвящена анализу производственных инвестиций (долгосрочных капиталовложений в производственный процесс) и прежде всего измерению их эффективности, сравнению производственных проектов и ряду смежных проблем.
| Вид материала | Книга |
- Конспект лекций по дисциплинам «Технология рэс» специальности 210201, 2303.43kb.
- Лившиц Вениамин Наумович «Особенности оценки эффективности производственных инвестиционных, 381.16kb.
- Планирование производственных запасов и определение потребности предприятия, 53.58kb.
- Инструкция по расчету и анализу технологического расхода электрической энергии на передачу, 383.13kb.
- Ммаэ-2 Теория и практика построения производственных функций, 207.53kb.
- Ированной образовательной программе повышения квалификации «Оценка экономической эффективности, 46.83kb.
- Отчет о проведении производственных испытаний эффективности биопрепарата фитоспорин-м, 64.89kb.
- Понятие, классификация и оценка материально-производственных запасов понятие материально-производственных, 106.29kb.
- Методическое пособие и регламент проведения проектных сессий по рассмотрению, анализу, 256.49kb.
- И. В. Суслина национальный исследовательский ядерный университет «мифи» проблемы корректной, 7.45kb.
§ 2.3. Нелинейные методы без начисления процентов на суммы амортизации
К нелинейным относится ряд методов начисления амортизации, что обеспечивает большую гибкость в отношении учета конкретных условий производственной деятельности. Эти методы можно разделить на две подгруппы: без учета начисления процентов на суммы амортизации и с их учетом, иначе говоря, с учетом фактора времени и без него.
К первой подгруппе отнесем следующие методы:
а) с постоянной долей списания остаточной балансовой стоимости (constant percent depreciation);
б) метод сумм порядковых чисел (sum of digits method);
в) табличный метод.
Ко второй (они рассмотрены в § 2.4) относятся методы:
г) накопленного резерва (sinking fund);
д) аннуитетов (annuity method).
Обсудим их в той последовательности, в которой они были перечислены.
а) Постоянная доля списания балансовой стоимости
Согласно этому методу (далее для краткости назовем его методом постоянных долей) на каждом шаге во времени списывается постоянная доля балансовой стоимости оборудования, т. е.
Bt = Bt-1(1-r), (2.8)
или
Bt=P(1-r)t, (2.9)
где r — доля сокращения балансовой стоимости за каждый амортизационный период.
Амортизационные суммы рассчитываются следующим образом:
Dt = Bt-1 х r. (2.10)
Задача, следовательно, сводится к определению доли r, если она первоначально не задана, а установлен размер ликвидационной стоимости L. Для ее решения рассуждаем так. Балансовая стоимость за весь период эксплуатации оборудования сокращается с величины Р до L. Отсюда справедливо соотношение:
L = P(1-r)n. (2.11)
Если величина ликвидационной стоимости известна, то на основе (2.11) находим:
. (2.12)Очевидно, что в случае, когда L = 0 (полный износ), данный метод расчета r применить нельзя.
Если r задано, a L заранее не определено, то расчетная сумма остаточной стоимости на конец последнего года находится как разность:
L = Bn-Dn.
Иногда метод постоянной доли комбинируется с линейным методом: в первые годы применяется постоянная доля списания, затем суммы амортизации определяются линейным методом. Этим достигается ускоренное списание в начале срока эксплуатации оборудования. Так, если за первые т лет предусматривается списать М % первоначальной балансовой стоимости оборудования, то в эти годы списывается по 100 r %. Причем

В оставшиеся (п - т) лет суммы амортизации составят:

Иллюстрация расчета по данному методу приведена в примере 2.
б) Метод сумм порядковых чисел
Этот метод (далее для краткости назовем его методом сумм), так же как и предыдущий, нацелен на ускорение процесса амортизации. Доли списания стоимости оборудования здесь уменьшаются с каждым шагом во времени. Соответственно сокращаются абсолютные суммы износа. Для определения долей списания поступают следующим образом. Последовательным годам службы оборудования приписывают порядковые номера: t = 1, 2, ..., п. Сумма этих номеров, обозначим ее Q, принимается за основу для расчета долей списания11. Известно, что
(2.13)Доли списания амортизируемой стоимости оборудования (т. е. первоначальной балансовой стоимости за вычетом ликвидационной стоимости) последовательно определяются как j/Q, где j — номер года начисления износа в обратном порядке, т. е. с конца срока. Например, при пятилетнем сроке j = 5, 4, 3, 2, 1. В общем виде можно записать:
j = n - t + l.
Таким образом, для первого года доля списания амортизируемой стоимости равна n/Q, для второго — (п - l)/Q и т. д. Для последнего года эта доля составляет 1/Q . По определению, можно записать:
(2.14)Так, для первого года получим:

Балансовая стоимость на конец года t (после очередного списания) последовательно определяется как
(2.15)Возможен и другой способ определения этой величины:

После некоторых преобразований последнего выражения получим12
(2.16)ПРИМЕР 2
Для иллюстрации двух последних методов вернемся к данным примера 1. Для метода с постоянной долей списания находим по формуле (2.12)

Таким образом, каждый раз списывается 47,47% от остаточной стоимости оборудования. В свою очередь, для метода сумм находим

Последовательно начисляем износ в размере
и т. д. от амортизируемой стоимости. Суммы амортизации и динамика балансовой стоимости для обоих методов показаны в таблице.Найдем балансовую стоимость на конец третьего года без построения таблицы. Для этого используем формулу (2.16). Получим

| t | Постоянные доли | Метод сумм | ||
| Dt | Bt | Dt | Bt | |
| 0 | — | 100,00 | — | 100,00 |
| 1 | 47,47 | 52,53 | 32,00 | 68,00 |
| 2 | 24,94 | 27,59 | 25,60 | 42,40 |
| 3 | 13,10 | 14,49 | 19,20 | 23,20 |
| 4 | 6,88 | 7,61 | 12,80 | 10,40 |
| 5 | 3,61 | 4,00 | 6,40 | 4,00 |
| Итого | 96,00 | — | 96,00 | — |
в) Табличный метод
В ряде стран государственные органы регламентируют ускоренное списание износа. Причем предлагаемая методика часто не связана с сокращением общего срока амортизации. Она заключается в разработке специальных таблиц долей списания первоначальной балансовой стоимости. Приведем соответствующие данные для США13. Например, при пятнадцатилетнем сроке амортизации предусматривались следующие доли списания от первоначальной амортизируемой стоимости: для первых пяти лет 12, 10, 9, 8, 7%, далее четыре года по 6% и затем шесть лет по 5%. Размер ликвидационной стоимости во внимание не принимается.
Сравнение результатов начисления износа различными методами. Как следует из сказанного выше, различные методы начисления износа в разной степени ускоряют амортизацию. В связи с этим возникает проблема сравнения результатов. На рис. 2.3 показана сравнительная динамика балансовой стоимости оборудования (кривая а характеризует метод постоянных долей, б — метод сумм, в — линейный метод). Как видим, второй из сравниваемых методов ближе к равномерному списанию, чем первый.

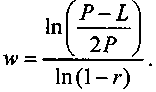
В качестве аналитического измерителя степени равномерности списания можно предложить срок, в течение которого амортизируется половина стоимости оборудования. Назовем такой срок медианным (рис. 2.4). Медианный срок можно подсчитать относительно первоначальной балансовой стоимости оборудования или относительно его амортизируемой стоимости. Впрочем, различие будет небольшим. Чем меньше эта величина, тем скорее протекает процесс амортизации. Обозначим медианный срок через w. В некоторых случаях для его расчета удается найти простое аналитическое выражение. Например, для линейной модели получим:

а без учета ликвидационной стоимости w = n/2.
Для метода долей величину w находим из равенства

В силу чего

Для метода сумм величину w проще найти интерполяцией данных, характеризующих изменение балансовой стоимости.
ПРИМЕР 3
По данным примера 2 для метода постоянных долей получим:

Для метода сумм применим интерполяцию. Находим размеры балансовой стоимости на конец первого и второго года: В1 = 68,0 (что >50% стоимости) и В2 = 42,4 (что < 50 %). Таким образом, 50% первоначальной стоимости приходится на второй год. С помощью линейной интерполяции находим

При равномерном начислении амортизации w = 0,5 x 5 x (l00/96) = 2,6.
Приближенно (без учета ликвидационной стоимости) w = n/2 = 2,5 года.
Таким образом, самое быстрое списание при одинаковом общем сроке амортизации достигается с помощью метода постоянных долей.
Что касается замедленной амортизации, необходимость в которой крайне редко возникает на практике, то такое условие проще всего реализовать табличным методом или с помощью метода накопленного резерва, о котором речь пойдет ниже.
