Перечень лабораторных работ по курсу «Языки и среды программирования. Часть 2»
| Вид материала | Лабораторная работа |
СодержаниеВарианты лабораторной работы. Задание к лабораторной работе №5 Варианты лабораторной работы. Варианты лабораторной работы. |
- Лекция Языки и системы программирования. Структура данных, 436.98kb.
- Методические указания по выполнению лабораторных работ для студентов экономических, 2033.72kb.
- Выписка из рабочей программы и методические указания к выполнению лабораторных работ, 347.39kb.
- Языки программированиЯ и инструментальные среды, 182.26kb.
- Выписка из рабочей программы и методические указания к выполнению лабораторных работ, 344.11kb.
- Пособие по выполнению лабораторных работ Гомель 2004, 414.35kb.
- Рабочей программы учебной дисциплины языки программирования Уровень основной образовательной, 47.91kb.
- Существуют различные классификации языков программирования, 174.02kb.
- Лекция 3 Инструментальное по. Классификация языков программирования, 90.16kb.
- А. Е. Александрович московский инженерно-физический институт (государственный университет), 24kb.
Перечень лабораторных работ по курсу
«Языки и среды программирования. Часть 2»
Лабораторная работа №4. Программирование и численный расчёт определённых интегралов для решения задач химической технологии.
Лабораторная работа №5. Программирование и численное решение дифференциальных уравнений и систем дифференциальных уравнений в задачах химической технологии.
Лабораторная работа №6. Программирование методов оптимизации функции одной и нескольких переменных для решения задач химической технологии.
Варианты заданий к лабораторной работе №4
Вариант задания 4.1. Удельная теплоёмкость вещества определяется выражением:
(ккал/(кг град.)),где t – температура в градусах Цельсия; Q – количество теплоты, ккал; A, B – эмпирические константы, характерные для заданного вещества. Разработать программу расчёта количества теплоты, необходимого для нагрева заданной массы вещества от начальной до требуемой температуры, с использованием одного из методов численного расчёта определённых интегралов.
Вариант задания 4.2. Химико-технологический процесс протекает в реакторе идеального смешения периодического действия по заданной схеме с указанными значениями константы скорости и порядка реакций. Разработать программу расчёта времени пребывания реакционной массы в реакторе, необходимого для достижения заданной степени превращения исходного вещества, с использованием одного из методов численного расчёта определённых интегралов.
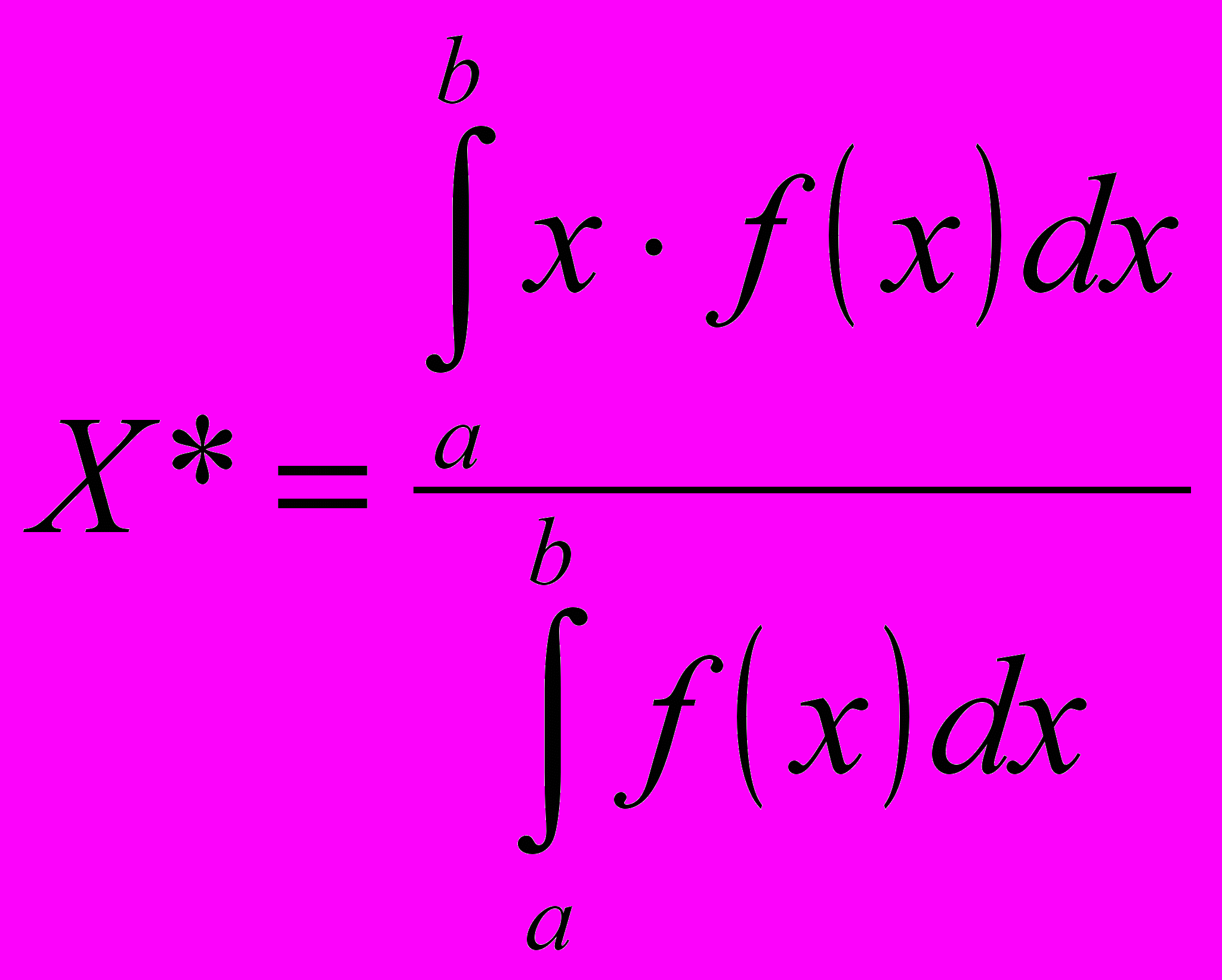
Вариант задания 4.3. Найти численное значение величины X* с использованием следующего расчётного соотношения:
.Параметры a, b и коэффициенты функциональной зависимости задаются пользователем программы. Предусмотреть возможность графической визуализации функции f(x).
Варианты схемы реакций к заданию 4.2.
1.

2.

3.

4.

5.

6.

Варианты методов решения задачи к заданиям 4.1 и 4.2.
1. Метод средних прямоугольников.
2. Метод трапеций.
3. Метод парабол.
Варианты функциональной зависимости к заданию 4.3.
1.
.2.
.3.
.4.
.5.
.Общие требования к выполнению лабораторной работы №4
Отчёт по лабораторной работе выполняется на листах белой бумаги формата А4 в печатном или рукописном виде. Обязательна нумерация страниц. Титульная страница не нумеруется, однако учитывается при счёте страниц. Отчёт содержит следующие части.
1. Титульный лист.
2. Содержание.
3. Цель работы, задачи, задание.
Целью данной работы является овладение навыками использования численных методов вычисления определённых интегралов для решения прикладных задач химии и химической технологии с использованием интегрированной среды разработки Delphi.
Для достижения поставленной цели необходимо решить следующие задачи:
– спроектировать интерфейс программного приложения для решения поставленной задачи;
– разработать алгоритм расчёта значения определённого интеграла;
– с использованием интегрированной среды Delphi разработать программное приложение, предназначенное для решения прикладной задачи, связанной с необходимостью вычисления определённых интегралов;
– провести исследование влияния параметров настройки вычислительного метода на точность решения поставленной задачи.
4. Задание.
Варианты лабораторной работы.
-
№№
вариантов
Вариант задания
Вариант метода
Вариант схемы
Вариант функции
1
4.1
1
–
–
2
4.1
2
–
–
3
4.1
3
–
–
4
4.2
1
1
–
5
4.2
1
2
–
6
4.2
1
3
–
7
4.2
2
1
–
8
4.2
2
2
–
9
4.2
2
3
–
10
4.2
3
1
–
11
4.2
3
2
–
12
4.2
3
3
–
13
4.3
1
–
1
14
4.3
1
–
2
15
4.3
1
–
3
16
4.3
1
–
4
17
4.3
1
–
5
18
4.3
2
–
1
19
4.3
2
–
2
20
4.3
2
–
3
21
4.3
2
–
4
22
4.3
2
–
5
23
4.3
3
–
1
24
4.3
3
–
2
25
4.3
3
–
3
26
4.3
3
–
4
27
4.3
3
–
5
5. Теоретическая часть:
– описание предметной области выполняемой работы: для чего предназначена программа, насколько она актуальна, кем и где может быть использована, какие модели расчёта, формулы, уравнения или системы дифференциальных уравнений используются в работе;
– иллюстрированное описание методов вычислительной математики, использованных в работе для получения конечного результата;
– описание назначения языковых единиц (команд, операторов, стандартных процедур и функций), используемых при написании программы.
6. Практическая часть:
– блок-схема основной процедуры, реализующей численный метод расчёта значения определённого интеграла;
– разработка и описание интерфейса пользователя: структура интерфейса, признаки и их выражение применительно к разработанной программе;
– руководство пользователя по работе с программой;
– технические характеристики разработанной программы: количество используемой оперативной памяти и места на жёстком диске исполняемого приложения, включая необходимые библиотеки и другие файлы; объём программного кода; использование дополнительных ресурсов, компонентов, технических средств;
– программные и технических требования к компьютеру (минимальные и тестовые) для функционирования разработанного программного обеспечения;
– примеры машинного расчёта и ручного расчёта, подтверждающего правильность работы программы.
7. Исследовательская часть:
– расчёт тестового примера при заведомо большом количестве разбиений (10000) исходного интервала интегрирования;
– расчёт тестового примера при 10, 20, 50, 100, 200, 500, 1000 разбиениях исходного интервала интегрирования, расчёт относительных ошибок для каждого количества разбиений;
– построение и анализ графических зависимостей результата расчёта и относительной ошибки расчёта от количества разбиений в логарифмической шкале;
– выводы по результатам исследования, насколько точен использованный метод решения задачи, каким образом можно повысить точность решения.
8. Выводы по проделанной работе: выполнена ли поставленная цель, решены ли задачи, какая программа разработана, каковы её достоинства и недостатки, как можно устранить недостатки, как можно улучшить программу в целом.
9. Библиографический список.
Приводятся правильно оформленные ссылки на конкретные книги, журналы, статьи и другие публикации и документы.
10. Приложение с распечаткой программного кода.
Задание к лабораторной работе №5
Химическое превращение протекает по заданной схеме с указанными значениями констант скоростей и порядков реакций. Разработать программу, моделирующую динамику изменения концентрации исходного вещества, основного и побочного продуктов, с использованием одного из методов численного решения дифференциальных уравнений.
Варианты схемы реакций к заданию (см. лабораторную работу №4).
Варианты методов решения задачи.
1. Метод Эйлера.
2. Модифицированный метод Эйлера.
3. Метод Эйлера-Коши.
4. Метод Рунге-Кутты 4-го порядка.
Общие требования к выполнению лабораторной работы №5
Отчёт по лабораторной работе выполняется на листах белой бумаги формата А4 в печатном или рукописном виде. Обязательна нумерация страниц. Титульная страница не нумеруется, однако учитывается при счёте страниц. Отчёт содержит следующие части.
1. Титульный лист.
2. Содержание.
3. Цель работы, задачи, задание.
Целью данной работы является овладение навыками использования численных методов решения дифференциальных уравнений и систем дифференциальных уравнений с использованием интегрированной среды разработки Delphi.
Для достижения поставленной цели необходимо решить следующие задачи:
– спроектировать интерфейс программного приложения для решения поставленной задачи;
– разработать алгоритм решения дифференциального уравнения или системы дифференциальных уравнений;
– с использованием интегрированной среды разработки Delphi разработать программное приложение, предназначенное для решения дифференциального уравнения или системы дифференциальных уравнений; результаты работы программы представлять в табличной и графической формах;
– провести исследование влияния параметров настройки вычислительного метода на точность решения поставленной задачи.
4. Задание.
Варианты лабораторной работы.
-
№№
вариантов
Вариант метода
Вариант схемы
1
1
2
2
1
4
3
1
5
4
1
6
5
2
2
6
2
4
7
2
5
8
2
6
9
3
2
10
3
4
11
3
5
12
3
6
13
4
2
14
4
4
15
4
5
16
4
6
5. Теоретическая часть:
– описание предметной области выполняемой работы: для чего предназначена программа, насколько она актуальна, кем и где может быть использована, какие модели расчёта, формулы, уравнения или системы дифференциальных уравнений используются в работе;
– иллюстрированное описание методов вычислительной математики, использованных в работе для получения результатов;
– описание языковых единиц (команд, операторов, стандартных процедур и функций), используемых при написании программы.
6. Практическая часть:
– блок-схема основной процедуры, реализующей численный метод решения дифференциального уравнения или системы дифференциальных уравнений;
– разработка и описание интерфейса пользователя: структура интерфейса, признаки и их выражение применительно к разработанной программе;
– руководство пользователя по работе с программой;
– технические характеристики разработанной программы: количество используемой оперативной памяти и места на жёстком диске исполняемого приложения, включая необходимые библиотеки и другие файлы; объём программного кода; использование дополнительных ресурсов, компонентов, технических средств;
– программные и технических требования к компьютеру (минимальные и тестовые) для функционирования разработанного программного обеспечения;
– примеры машинного расчёта и ручного расчёта, подтверждающего правильность работы программы.
7. Исследовательская часть:
– расчёт конечной концентрации каждого из веществ по исходным данным тестового примера при заведомо большом количестве точек решения (10000);
– расчёт конечной концентрации каждого из веществ по исходным данным тестового примера при 10, 20, 50, 100, 200, 500, 1000 точках решения, расчёт относительных ошибок для каждого количества точек решения;
– построение и анализ графических зависимостей конечных концентраций и относительной ошибки расчёта от количества точек решения в логарифмической шкале;
– выводы по результатам исследования, насколько точен использованный метод решения задачи, каким образом можно повысить точность решения.
8. Выводы по проделанной работе: выполнена ли поставленная цель, решены ли задачи, какая программа разработана, каковы её достоинства и недостатки, как можно устранить недостатки, как можно улучшить программу в целом.
9. Библиографический список.
Приводятся правильно оформленные ссылки на конкретные книги, журналы, статьи и другие публикации и документы.
10. Приложение с распечаткой программного кода.
Варианты заданий к лабораторной работе №6
Вариант задания 6.1. Известная экспериментальная зависимость величины y от переменной x имеет следующий вид:
. Для заданного варианта значений параметров ai определить, при каких значениях переменной x величина y имеет максимальное и минимальное значения на отрезке [–10, 10]. Разработать программу с использованием заданного метода оптимизации функции одной переменной.Вариант задания 6.2. Химико-технологический процесс протекает в каскаде из нескольких реакторов идеального смешения по заданной схеме с указанными значениями константы скорости и порядка реакций. Разработать программу расчёта времени пребывания реакционной массы в каждом реакторе, необходимого для достижения заданной степени превращения исходного вещества, из условия минимума суммы времён пребывания в обоих реакторах с использованием заданного метода оптимизации функции одной или нескольких переменных.
Вариант задания 6.3. В заданной последовательности n теплообменных аппаратов (см. рис.) осуществляется процесс нагрева основного потока от температуры T0 до температуры Tn (градусы Цельсия) противотоком, последовательно проходящим через все теплообменные аппараты и охлаждающимся от температуры tn до температуры t0 (градусы Цельсия). Известны коэффициенты теплопередачи и расход передаваемой теплоты для каждого аппарата. Разработать программу расчёта площадей поверхностей теплообмена каждого аппарата, исходя из условия минимизации их суммы, с использованием заданного метода оптимизации функции нескольких переменных.

Вариант задания 6.4. В результате проведённого эксперимента получена выборка экспериментальных данных, состоящая из n пар значений. Для известного вида функциональной зависимости величины y от переменной x определить m неизвестных коэффициентов зависимости ai, используя заданный критерий оптимальности, учитывающий отклонения расчётных значений от экспериментальных. Разработать программу с использованием заданного метода оптимизации функции нескольких переменных.
Варианты параметров экспериментальной зависимости к заданию 6.1.
| Параметр | Варианты | ||||
| 1 | 2 | 3 | 4 | 5 | |
| a0 | 4,52 | 1,81 | 3,17 | –1,96 | 0,22 |
| a1 | –1,96 | –4,10 | 3,41 | 2,99 | 3,12 |
| a2 | 0,38 | 0,23 | –0,23 | –0,46 | –0,59 |
| a3 | –1,67 | –1,54 | 1,85 | 3,42 | 0,31 |
| a4 | –0,32 | –0,36 | –0,37 | –0,29 | –0,55 |
Варианты критерия к заданию 6.4.
1.
.2.
.Варианты экспериментальной зависимости к заданию 6.4.
1.
.2.
.3.
.4.
.5.
.Варианты выборок экспериментальных данных к заданию 6.4.
| x | y1 | y2 | y3 | y4 | y5 | x | y6 | y7 | y8 | y9 | y10 |
| –10 | 0,521 | –14,459 | –4,447 | –46,450 | 1,888 | –9 | 0,902 | –9,670 | –13,695 | 4,920 | 18,253 |
| –7 | 1,170 | –0,972 | –18,730 | 50,960 | 72,096 | –8 | 1,092 | –5,086 | –18,187 | 35,870 | 52,079 |
| –5 | 1,166 | 4,903 | –13,115 | 49,400 | 53,152 | –6 | 1,184 | 2,424 | –16,577 | 54,270 | 69,608 |
| –3 | 1,094 | 6,733 | –6,827 | 27,120 | 23,011 | –1 | 1,020 | 4,701 | –4,680 | 3,320 | 10,758 |
| –2 | 1,055 | 6,131 | –5,235 | 14,510 | 16,073 | 0 | 0,990 | 2,670 | –4,650 | –5,250 | 4,210 |
| 1 | 0,964 | 0,299 | –4,430 | –10,480 | –3,833 | 2 | 0,943 | –2,151 | –3,329 | –12,130 | –12,001 |
| 5 | 0,900 | –8,063 | 7,380 | –0,400 | –31,608 | 3 | 0,925 | –4,453 | –0,911 | –10,440 | –19,147 |
| 6 | 0,891 | –9,324 | 11,717 | 5,070 | –38,825 | 4 | 0,911 | –6,448 | 2,831 | –6,130 | –25,352 |
| 9 | 0,875 | –12,530 | 9,180 | –4,080 | –64,050 | 7 | 0,884 | –10,348 | 14,450 | 8,120 | –47,108 |
| 10 | 0,871 | –14,201 | –1,038 | –26,050 | –71,442 | 8 | 0,879 | –11,334 | 14,056 | 6,110 | –55,797 |
Варианты методов решения задачи.
1. Метод локализации экстремума.
2. Метод золотого сечения.
3. Метод чисел Фибоначчи.
4. Метод поочерёдного изменения переменных.
5. Метод сканирования.
6. Симплексный метод.
7. Метод Нелдера-Мида (модифицированный симплексный метод).
8. Метод градиента.
9. Метод релаксации.
10. Метод наискорейшего спуска.
11. Метод случайных направлений.
12. Метод случайных направлений с обратным шагом.
13. Метод спуска с «наказанием случайностью».
Общие требования к выполнению лабораторной работы №6
Отчёт по лабораторной работе выполняется на листах белой бумаги формата А4 в печатном или рукописном виде. Обязательна нумерация страниц. Титульная страница не нумеруется, однако учитывается при счёте страниц. Отчёт содержит следующие части.
1. Титульный лист.
2. Содержание.
3. Цель работы, задачи, задание.
Целью данной работы является овладение навыками использования численных методов оптимизации функций одной и нескольких переменных для решения прикладных задач с использованием интегрированной среды разработки Delphi.
Для достижения поставленной цели необходимо решить следующие задачи:
– сформулировать постановку задачи оптимизации функции одной или нескольких переменных согласно заданному варианту задания;
– спроектировать интерфейс программного приложения для решения поставленной задачи;
– разработать алгоритм оптимизации целевой функции одной или нескольких переменных;
– с использованием интегрированной среды разработки Delphi разработать программное приложение, предназначенное для решения поставленных задач оптимизации функции одной или нескольких переменных; промежуточные результаты вычислений выводить на экран для проверки работы метода оптимизации; в процессе выполнения вычислений предусмотреть возможность определения количества раз расчёта значения критерия оптимальности;
– провести исследование влияния выбора начального приближения, шага поиска, заданной точности на скорость решения поставленной задачи.
4. Задание.
Варианты лабораторной работы.
| №№ вариантов | Вариант задания | Вариант метода | Вариант параметров | Кол-во аппаратов | Вариант схемы | Вариант зависимости | Вариант критерия | Вариант выборки |
| 1 | 6.1 | 2 | 1 | | | | | |
| 2 | 6.1 | 3 | 2 | | | | | |
| 3 | 6.1 | 1 | 3 | | | | | |
| 4 | 6.1 | 2 | 4 | | | | | |
| 5 | 6.1 | 3 | 5 | | | | | |
| 6 | 6.2 | 1 | | 2 | 3 | | | |
| 7 | 6.2 | 3 | | 2 | 1 | | | |
| 8 | 6.2 | 2 | | 2 | 3 | | | |
| 9 | 6.2 | 4 | | 3 | 1 | | | |
| 10 | 6.2 | 4 | | 3 | 3 | | | |
| 11 | 6.3 | 13 | | 2 | | | | |
| 12 | 6.3 | 12 | | 3 | | | | |
| 13 | 6.3 | 4 | | 4 | | | | |
| 14 | 6.4 | 4 | | | | 1 | 1 | 1 |
| 15 | 6.4 | 5 | | | | 2 | 1 | 2 |
| 16 | 6.4 | 6 | | | | 3 | 1 | 3 |
| 17 | 6.4 | 7 | | | | 4 | 1 | 4 |
| 18 | 6.4 | 8 | | | | 5 | 1 | 5 |
| 19 | 6.4 | 9 | | | | 1 | 2 | 6 |
| 20 | 6.4 | 10 | | | | 2 | 2 | 7 |
| 21 | 6.4 | 11 | | | | 3 | 2 | 8 |
| 22 | 6.4 | 12 | | | | 4 | 2 | 9 |
| 23 | 6.4 | 13 | | | | 5 | 2 | 10 |
5. Теоретическая часть:
– описание предметной области выполняемой работы: для чего предназначена программа, насколько она актуальна, кем и где может быть использована, какие модели расчёта, формулы, уравнения или системы уравнений, ограничения используются в работе; привести рисунок-схему с указанием порядка расположения технологического оборудования и направлений потоков (если есть);
– иллюстрированное описание методов вычислительной математики, использованных в работе для получения результатов;
– описание языковых единиц (команд, операторов, стандартных процедур и функций), используемых при написании программы.
6. Практическая часть:
– блок-схема основных процедур, реализующих численные методы оптимизации функции одной или нескольких переменных, а также других численных методов, если они использовались;
– разработка и описание интерфейса пользователя: структура интерфейса, признаки и их выражение применительно к разработанной программе;
– руководство пользователя по работе с программой;
– технические характеристики разработанной программы: количество используемой оперативной памяти и места на жёстком диске исполняемого приложения, включая необходимые библиотеки и другие файлы; объём программного кода; использование дополнительных ресурсов, компонентов, технических средств;
– программные и технических требования к компьютеру (минимальные и тестовые) для функционирования разработанного программного обеспечения;
– примеры машинного расчёта и ручного расчёта, подтверждающего правильность работы программы.
7. Исследовательская часть:
– определить количество раз, которое рассчитывается значение критерия оптимальности для примера машинного расчёта, представленного в практической части;
– с использованием разработанной программы выполнить не менее 5 раз расчёт оптимального значения для примера, представленного в практической части, при других начальных приближениях (если численный метод предусматривает использование начального приближения); результаты свести в таблицу, содержащую информацию о начальном приближении и количестве расчётов значения критерия оптимальности; представить промежуточные выводы;
– с использованием разработанной программы выполнить не менее 5 раз расчёт оптимального значения для примера, представленного в практической части, при другом начальном шаге поиска (если численный метод предусматривает использование начального приближения); результаты свести в таблицу, содержащую информацию о выбранном начальном шаге и количестве расчётов значения критерия оптимальности; представить графически зависимость количества расчётов значения критерия оптимальности от выбранного начального шага поиска; представить промежуточные выводы;
– с использованием разработанной программы выполнить не менее 5 раз расчёт оптимального значения для примера, представленного в практической части, при другой заданной точности поиска; результаты свести в таблицу, содержащую информацию о выбранной точности и количестве расчётов значения критерия оптимальности; представить графически зависимость количества расчётов значения критерия оптимальности от выбранной точности; представить промежуточные выводы;
– выводы по результатам исследования в целом, рекомендации по выбору начального приближения, шага поиска, точности решения, рекомендации по повышению точности и скорости решения задачи.
8. Выводы по проделанной работе: выполнена ли поставленная цель, решены ли задачи, какая программа разработана, каковы её достоинства и недостатки, как можно устранить недостатки, как можно улучшить программу в целом.
9. Библиографический список.
Приводятся правильно оформленные ссылки на конкретные книги, журналы, статьи и другие публикации и документы.
10. Приложение с распечаткой программного кода.
