Эффекты эйнштейна и шапиро в контексте экспериметальных исследований
| Вид материала | Документы |
Содержание4.6 Эффект эйнштейна в поле керра Т - средний, относительно земного наблюдателя, период вращения Солнца вокруг собственной оси. Солнце является медленно вращающим 4.7 Что дальше? |
- Автор(ы): Шапиро М., Год, 4188.71kb.
- А. В. Брушлинского и научного сотрудника А. З. Шапиро, 1854.41kb.
- К. В. Айгон М.: Институт Общегуманитарных Исследований. Серия. Современная психология:, 2103.15kb.
- Специальная теория относительности (сто) покоится на двух китах: оптике и механике,, 544.46kb.
- Книга содержит анализ теории относительности и творчества Эйнштейна другими великими, 174.63kb.
- Фонд перспективных исследований и инициатив, 815.29kb.
- Сс-системы и соответственно повреждающие эффекты стресс-реакции, в механизме устойчивости, 19.64kb.
- «Методология изучения диаспор: теория и практика», 62.12kb.
- Необыкновенные приключения феминизма в россии, 415.51kb.
- Любой космический комплекс несет на себе следующие эффекты: Коммерческий или финансовый, 11.44kb.
. (1.54)Подставляя в (1.50) символы Кристоффеля (1.53) и учитывая равенство дифференциалов (1.47), получаем выражение для расчета :
, (1.55)интегрирование которого согласно (1.3) в пределах x1 от - до + позволяет определить искомое отклонение лучей :
. (1.56)Выделяя в (1.56) величину k (1.12) и сравнивая получающееся выражение с (1.37), убеждаемся, что абсолютное значение A отклонения луча, касающегося края Солнца и рассматриваемого как траекторию частиц - фотонов, вычисляется по формуле:
. (1.57)Оно составляет при этом 1,75 ", и совпадает с аналогичным значением, вычисленным (1.37) на основании уравнения (1.20) эйконала в гравитационном поле и волновых представлений о свете.
Подобное совпадение обусловлено тем, что выражение для волнового вектора (1.16) является аналогом выражения
, (1.58)связывающего энергию Е и импульс p частицы. При этом распространение плоской волны с частотой и волновым вектором k (1.16) аналогично движению в направлении k со скоростью c света потока частиц, обладающих энергией Е и импульсом р (1.58), а также нулевой массой m, о чем свидетельствует аналогия между уравнением (1.20) эйконала в гравитационном поле и уравнением (1.26) Гамильтона - Якоби.
4.6 ЭФФЕКТ ЭЙНШТЕЙНА В ПОЛЕ КЕРРА
Более строго геометрия пространства - времени вращающегося гравитирующего объекта описывается метрикой Керра, которую принято записывать в пространственных сферических координатах r; ; и в масштабе скоростей с единицей, равной скорости с света.

, (4.54)где
. (4.55)Использование метрики Керра позволяет учесть влияние вращения Солнца на отклонение луча. Данное вращение учитывается моментом импульса Солнца I'.
Уравнение светового луча в модели, свойства пространства - времени которой определяются метрикой Керра, как и ранее получается путем решения уравнения Гамильтона - Якоби:
, (4.56)однако, в анализируемом случае для более удобного разделения переменных в его решение по сравнению с формой (1.27) добавляется член S ( ):
, (4.57)где Iz - компонента орбитального момента импульса частицы, направленная вдоль оси симметрии гравитационного поля.
Уравнения Гамильтона - Якоби сводятся к двум дифференциальным уравнениям, позволяющим вычислить Sr(r) и S ( ):
; (4.58)
, (4.59)где параметр разделения К - новая произвольная постоянная. Компоненты 4 - импульса частицы рассчитываются по формуле:
. (4.60)Подставляя (4.57) в (4.60) с учетом вычисленных на основании (4.58) - (4.59) величин Sr(r) и S ( ), получаем:

; (4.61)
; (4.62)
; (4.63)
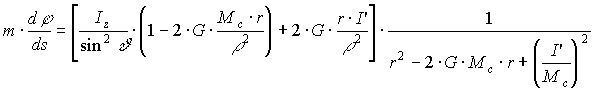
. (4.64)Уравнения (4.61) - (4.64) представляют собой первые интегралы уравнений движения частицы. Для световых лучей в правых частях этих уравнений по аналогии с процедурой перехода от (1.27) к (1.28) следует положить m = 0, а вместо E0 следует писать частоту 0. Соответственно, в левых частях уравнений вместо производных m (d / ds) необходимо использовать производные d / d по меняющемуся вдоль лучей параметру . Этот параметр связан с четырехмерным волновым вектором k (1.16) - (1.17) выражением:
, (4.65)посредством которого уравнение геодезической линии (1.39), задающее траекторию движения находящейся в гравитационном поле частицы, преобразуется в уравнение
, (4.66)определяющее траекторию распространения находящегося в гравитационном поле волнового вектора.
В отличие от рассмотренной выше модели с метрикой Шварцшильда, уравнения (4.61) - (4.64) допускают движение в одной плоскости лишь в том случае, если эта плоскость является экваториальной, т.е. при = /2. Данное свойство соответствует результатам описанного в предыдущем разделе анализа экспериментальных данных. Приравнивая в (4.64) d /ds=0 и выражая К через E0 и Iz:
, (4.67)получаем систему уравнений, определяющих форму светового луча, распространяющегося в экваториальной плоскости вращающейся массы:
; (4.68)
; (4.69)
. (4.70)Процедура решения системы (4.68) - (4.70) относительно отклонения луча, распространяющегося в экваториальной плоскости и являющегося чисто радиальным, достаточно сложна, поэтому подробно на ней останавливаться не будем. Укажем лишь окончательный результат, приведенный к обычному масштабу скоростей (c = 3 108 м с-1 ):

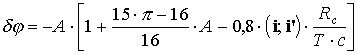
, (4.71)Непосредственное интегрирование (4.71) для случая касания Солнца лучом дает следующее значение отклонения:
. (4.72)где i - единичный вектор в направлении орбитального момента импульса фотонов светового луча; i' - единичный вектор в направлении вектора момента I' импульса Солнца.
Момент импульса I' Солнца рассчитывается по формуле:
, (4.72а)где Т - средний, относительно земного наблюдателя, период вращения Солнца вокруг собственной оси. Солнце является медленно вращающимся телом, т.к. величина Т составляет около 27,3 суток, или 2,36 10-6 секунд. При этом 2 Rc/T c, что количественно отражает медленность вращения Солнца. Момент j инерции Солнца, как шара, вращающегося вокруг геометрического центра, составляет:
. (4.72б)Выделяя в (4.72) величины k (1.12) и А (1.57), а также учитывая (4.72) - (4.72б) получаем, что величина составляет:
. (4.73)Искомое влияние вращения Солнца на отклонение лучей определяет вычитаемое в квадратных скобках (4.73). После подстановки в (4.73) числовых значений величин, входящих в квадратные скобки, убеждаемся, что заключенными в них вторым и третьим членами можно пренебречь в сравнении с первым - единицей:
. (4.74)Анализируемая керровская модель отклонения лучей предполагает асимметрию лучей по отношению к центральной линии, вносимую скалярным произведением (i; i').
При совпадении направлений векторов орбитального момента импульса фотона и момента мпульса Солнца скалярное произведение (i; i'), входящее в (4.72) - (4.74), положительно, что уменьшает по абсолютному значению суммарное абсолютное значение отклонения луча. Луч приобретает дополнительное смещение в сторону, противоположную центру Солнца, а звезда - в сторону центра Солнца.
При противоположности направлений векторов орбитального момента импульса фотона и момента импульса Солнца скалярное произведение (i; i') отрицательно. Следовательно, зависящий от вращения Солнца член увеличивает по абсолютному значению суммарное радиальное отклонение луча, который получает дополнительное смещение в сторону центра Солнца при смещении звезды в сторону, противоположную центру Солнца.
Заметим также, что луч, распространяющийся параллельно оси вращения Солнца помимо отклонения в радиальном направлении

(4.75)обладает также углом пространственного кручения
, (4.76)ось которого совпадает с осью вращения Солнца.
Исчезающая малость входящей в (4.74) - (4.76) керровской добавки по сравнению с эйнштейновым значением отклонения A=-1,75 " не позволяет при достигнутом уровне средств измерения осуществить экспериментальную проверку данной модели.
4.7 ЧТО ДАЛЬШЕ?
Этот вопрос обращен к читателю.
С одной стороны, результаты измерений отклонения световых и радиолучей содержат целый "букет" трудно поддающихся учету погрешностей. Поэтому существующие экспериментальные оценки отклонения не могут быть истолкованы однозначно даже в тех случаях, когда сами авторы наделяют свои оценки субпроцентным соответствием теории относительности и такими же малыми доверительными интервалами полученных результатов. С другой стороны, существующие модели луча содержат достаточно ограниченный набор параметров, характеризующих Солнце, околосолнечное космическое пространство, фотоны светового луча, а также свойства самого пространства-времени, на "фоне" которого и происходит искривление лучей звезд, распространяющихся вблизи Солнца.
Сказанное оставляет достаточно широкий простор для творчества, причем не только в плане разработки новых моделей отклонения лучей и методик экспериментов по его измерению, но и в плане построения общефизических концепций. В последнем случае уже накопленный по рассматриваемой проблеме опыт следует использовать для тестирования разрабатываемых концепций. Подобное тестирование может осуществляться путем сравнения качества соответствия имеющихся экспериментальных данных тестируемой концепции и какой-либо базовой теории, например, теории относительности.
Так, если предположить, что физическое пространство-время отличается по своим свойствам от пространства Минковского, то угол отклонения луча, касающегося края Солнца, будет отличаться от (1.57) в той мере, в какой метрика и геодезическая линия пространства-времени отличаются соответственно от метрики Шварцшильда (1.43) (либо Керра (4.54)) и римановой геодезической линии (1.48). Например, если пространство-время наделено геометрией абсолютного параллелизма (анализу которой Эйнштейн посвятил 13 своих работ), то, рассчитывая отклонение лучей, с метрикой Керра (4.54) следует проинтегрировать геодезическую линию пространства абсолютного параллелизма, имеющую согласно Г.И.Шипову вид:
, (7.1)и отличающуюся от римановой геодезической (1.48) третьим слагаемым, в котором четырехмерные коэффициенты вращения Риччи T
обусловлены кручением пространства-времени.Очевидно, только согласие экспериментальных данных с результатами подобного интегрирования, не худшее, чем с выводами теории относительности, могло бы служить аргументом в поддержку гипотезы о наделенности физического пространства-времени геометрией абсолютного параллелизма.
В заключение автор этих строк выражает благодарность таким отличающимся друг от друга по стилю своих разработок В.А.Ацюковского, автора концепции эфиродинамики, Б.Г.Лепехина, автора концепции поля пространства-времени инерции и гравитации, Г.И.Шипова и В.А.Акимова, авторов концепции физического вакуума, Г.Р.Успенского, автора концепции аномальной гравитации, принявшим заинтересовавнное участие в обсуждении проблемы отклонения лучей и отметившим ее важность для тестирования физических гипотез.
Автор также надеется на благосклонность читателя, а также на то, что при наличии дополнений, новых литературных и иных источников, обнаружении ошибок, возникновении идей или просто желания общения по данному вопросу читатель не поленится "щелкнуть" мышью по указателю E-mail, расположенному внизу на любой странице.

Содержание - Назад - E-mail
